CBSE Class 8 Mathematics Algebraic Expressions and Identities Assignment Set 06

Read and download the CBSE Class 8 Mathematics Algebraic Expressions and Identities Assignment Set 06 for the 2026-27 academic session. We have provided comprehensive Class 8 Mathematics school assignments that have important solved questions and answers for Chapter 9 Algebraic Expressions And Identities. These resources have been carefuly prepared by expert teachers as per the latest NCERT, CBSE, and KVS syllabus guidelines.

Solved Assignment for Class 8 Mathematics Chapter 9 Algebraic Expressions And Identities

Practicing these Class 8 Mathematics problems daily is must to improve your conceptual understanding and score better marks in school examinations. These printable assignments are a perfect assessment tool for Chapter 9 Algebraic Expressions And Identities, covering both basic and advanced level questions to help you get more marks in exams.

Chapter 9 Algebraic Expressions And Identities Class 8 Solved Questions and Answers

 

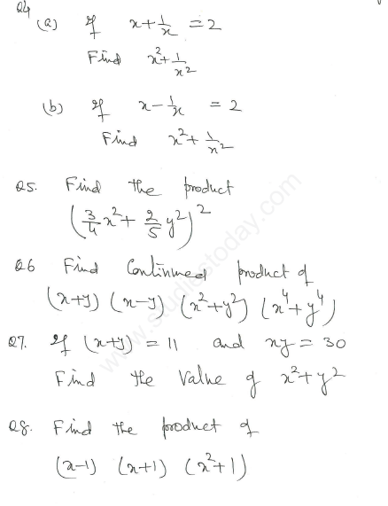
algebraicexpression_and_identities_5

algebraicexpression_and_identities_5

 

Click on link below to download CBSE Class 8 Mathematics Algebraic Expressions and Identities Assignment Set F

CBSE Class 8 Mathematics Chapter 9 Algebraic Expressions And Identities Assignment

Access the latest Chapter 9 Algebraic Expressions And Identities assignments designed as per the current CBSE syllabus for Class 8. We have included all question types, including MCQs, short answer questions, and long-form problems relating to Chapter 9 Algebraic Expressions And Identities. You can easily download these assignments in PDF format for free. Our expert teachers have carefully looked at previous year exam patterns and have made sure that these questions help you prepare properly for your upcoming school tests.

Benefits of solving Assignments for Chapter 9 Algebraic Expressions And Identities

Practicing these Class 8 Mathematics assignments has many advantages for you:

  • Better Exam Scores: Regular practice will help you to understand Chapter 9 Algebraic Expressions And Identities properly and  you will be able to answer exam questions correctly.
  • Latest Exam Pattern: All questions are aligned as per the latest CBSE sample papers and marking schemes.
  • Huge Variety of Questions: These Chapter 9 Algebraic Expressions And Identities sets include Case Studies, objective questions, and various descriptive problems with answers.
  • Time Management: Solving these Chapter 9 Algebraic Expressions And Identities test papers daily will improve your speed and accuracy.

How to solve Mathematics Chapter 9 Algebraic Expressions And Identities Assignments effectively?

  1. Read the Chapter First: Start with the NCERT book for Class 8 Mathematics before attempting the assignment.
  2. Self-Assessment: Try solving the Chapter 9 Algebraic Expressions And Identities questions by yourself and then check the solutions provided by us.
  3. Use Supporting Material: Refer to our Revision Notes and Class 8 worksheets if you get stuck on any topic.
  4. Track Mistakes: Maintain a notebook for tricky concepts and revise them using our online MCQ tests.

Best Practices for Class 8 Mathematics Preparation

For the best results, solve one assignment for Chapter 9 Algebraic Expressions And Identities on daily basis. Using a timer while practicing will further improve your problem-solving skills and prepare you for the actual CBSE exam.

Where can I download the latest CBSE Class 8 Mathematics Chapter Chapter 9 Algebraic Expressions And Identities assignments?

You can download free PDF assignments for Class 8 Mathematics Chapter Chapter 9 Algebraic Expressions And Identities from StudiesToday.com. These practice sheets have been updated for the 2026-27 session covering all concepts from latest NCERT textbook.

Do these Mathematics Chapter Chapter 9 Algebraic Expressions And Identities assignments include solved questions?

Yes, our teachers have given solutions for all questions in the Class 8 Mathematics Chapter Chapter 9 Algebraic Expressions And Identities assignments. This will help you to understand step-by-step methodology to get full marks in school tests and exams.

Are the assignments for Class 8 Mathematics Chapter Chapter 9 Algebraic Expressions And Identities based on the 2026 exam pattern?

Yes. These assignments are designed as per the latest CBSE syllabus for 2026. We have included huge variety of question formats such as MCQs, Case-study based questions and important diagram-based problems found in Chapter Chapter 9 Algebraic Expressions And Identities.

How can practicing Chapter Chapter 9 Algebraic Expressions And Identities assignments help in Mathematics preparation?

Practicing topicw wise assignments will help Class 8 students understand every sub-topic of Chapter Chapter 9 Algebraic Expressions And Identities. Daily practice will improve speed, accuracy and answering competency-based questions.

Can I download Mathematics Chapter Chapter 9 Algebraic Expressions And Identities assignments for free on mobile?

Yes, all printable assignments for Class 8 Mathematics Chapter Chapter 9 Algebraic Expressions And Identities are available for free download in mobile-friendly PDF format.