CBSE Class 8 Mathematics Exponents and Powers Assignments Set 02

Read and download the CBSE Class 8 Mathematics Exponents and Powers Assignments Set 02 for the 2026-27 academic session. We have provided comprehensive Class 8 Mathematics school assignments that have important solved questions and answers for Chapter 12 Exponents And Powers. These resources have been carefuly prepared by expert teachers as per the latest NCERT, CBSE, and KVS syllabus guidelines.

Solved Assignment for Class 8 Mathematics Chapter 12 Exponents And Powers

Practicing these Class 8 Mathematics problems daily is must to improve your conceptual understanding and score better marks in school examinations. These printable assignments are a perfect assessment tool for Chapter 12 Exponents And Powers, covering both basic and advanced level questions to help you get more marks in exams.

Chapter 12 Exponents And Powers Class 8 Solved Questions and Answers

Question. The value of 22001 + 21999 / 22000 - 21998, is ____.
(A) 2
(B) 10/3
(C) 21000 + 1
(D) 10
Answer : B

Question. When simplified, (x –1 + y –1)–1 is equal to ____.
(A) x + y
(B) xy/x + y
(C) x y
(D) 1/x y
Answer : B

Question. The value of x + x (xx) at x = 2 is ____.
(A) 10
(B) 16
(C) 18
(D) 36
Answer : A

Question. If ax = by = cz and b2 = ac, then y equals
(A) 2xz/x + z
(B) xz/2(x − z)
(C) xz/2(z − x)
(D) 2xz/(x − z)
Answer : A

 

Question. Find x, if (5/11)-3 x (5/11)5 = (5/11)x.
(A) 3
(B) 4
(C) 8
(D) 2
Answer : D

Question. The size of a red blood cell is 0.000007 m and the size of a plant cell is 0.00001275 m.
Find the ratio of the size of red blood cell to that of plant cell.
(A) 13 : 56
(B) 28 : 51
(C) 31 : 39
(D) 22 : 31
Answer : B

Question. Pluto is 5913000000 km away from the Sun.
Express this distance in standard form.
(A) 5.913 × 10–11
(B) 5.913 × 10–9
(C) 5.913 × 106
(D) 5.913 × 109
Answer : D

Question. Solve for y, if

""CBSE-Class-8-Mathematics-Exponents-and-Powers-Assignments-Set-B-1

(A) 1/2
(B) −19/18
(C) 3/10
(D) 12/17
Answer : B

 

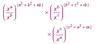
Question. Simplify :

""CBSE-Class-8-Mathematics-Exponents-and-Powers-Assignments-Set-B

(A) 1
(B) (a + b + c)3
(C) a2 + b2 + c2
(D) 0
Answer : A

Question. If (6x)6 = 623 = then find the value of x.
(A) 1
(B) √6
(C) 3√6
(D) 6√6
Answer : C

Question. Find the value of (0.000064)5/6 ÷ (0.00032)6/5 .
(A) 0.2
(B) 0.4
(C) 5
(D) 2.5
Answer : C

 

Question. The value of (7–1 – 8–1)–1 – (3–1 – 4–1)–1 is 
(A) 56
(B) 12
(C) 68
(D) 44
Answer : C

Question. When 5 × 10–3 – 2000 × 10–6 is expressed in standard form, we will get
(A) 3 × 10–2
(B) 3 × 10–3
(C) 3 × 103
(D) 3 × 102
Answer : B

Question. If 3(x – y) = 27 and 3(x + y) = 243, then x is equal to _______.
(A) 0
(B) 2
(C) 4
(D) 6
Answer : C

Question. Number of prime factors in (216)3/5 x (2500)2/5 x (300)1/5 is _______.
(A) 6
(B) 9
(C) 8
(D) None of these
Answer : D

Question. Match the following.

""CBSE-Class-8-Mathematics-Exponents-and-Powers-Assignments-Set-B-2

(A) (P) → (iii); (Q) → (i); (R) → (iv); (S) → (ii)
(B) (P) → (iv); (Q) → (i); (R) → (ii); (S) → (iii)
(C) (P) → (ii); (Q) → (iii); (R) → (iv); (S) → (i)
(D) (P) → (iii); (Q) → (i); (R) → (ii); (S) → (iv)
Answer : A

Question. If x = (3/2)2 x (2/3)-4, find the value of x–2.
(A) (4/3)12 
(B) (2/3)12 
(C) (3/2)12 
(D) (3/4)12 
Answer : B

Question. Fill in the blanks.
(i) If m2 = 272/3 × 16–3/2, then m =
(ii) If ab = 1, then 1/1+1a-1 + 1/1 + b-1 =
(iii) If x = (82/3 · 32–2/5), then x–5 =
        P          Q           R
(A) 5/4         0         10/7
(B) 1            1         5/16
(C) 3/8         1         1
(D) 7/8         0         7/8
Answer : C

Question. If  10/× 3x – 3x – 1 = 81, then the value of x is ____.
(A) 2
(B) 1
(C) 3
(D) 0
Answer : C

Question. Which of the following values are equal ?
P. 14     Q. 40
R. 04     S. 41
(A) P and Q
(B) Q and R
(C) P and R
(D) P and S
Answer : A

Question. The cell of bacteria doubles itself after every 1 hour. How many cells will there be after 8 hours?
(A) 200 times of the original
(B) 210 times of the original
(C) 28 times of the original
(D) 26 times of the original
Answer : C

19. At the end of the 20th century, the world’s population was approximately 6.125 × 109.
Express this population in usual form.
(A) 6.125 × 1010
(B) 6125000000
(C) 6125 × 105
(D) 61250000
Answer : B

Question. Weight of moon is (7.346 × 1022) kg and weight of Earth is (5.9724 × 1024) kg. What is the total weight of both in standard form?
(A) 6.04 × 1024 kg
(B) 7.08 × 1022 kg
(C) 5.98 × 1024 kg
(D) 6.44 × 1024 kg
Answer : A

Question. Simplify :

""CBSE-Class-8-Mathematics-Exponents-and-Powers-Assignments-Set-B

(A) (2/3)-4
(B) 32/3
(C) 243/16
(D) 243/32
Answer : D

Question. If a = (2–2 – 2–3), b = (2–3 – 2–4) and c =(2–4 – 2–2) then find :
(i) a3 + b3 + c3 (ii) 10 abc
           (i)                      (ii)
(A) 9/2048                 7/2048
(B) 3/1024                 5/2048
(C) –3/1024             –10/2048
(D) –9/2048             –15/1024
Answer : D

 

.CBSE Class 8 Exponents and Powers Assignments 11

CBSE Class 8 Exponents and Powers Assignments 11

 

 

Click on link below to download CBSE Class 8 Mathematics Exponents and Powers Assignments Set B

CBSE Class 8 Mathematics Chapter 12 Exponents And Powers Assignment

Access the latest Chapter 12 Exponents And Powers assignments designed as per the current CBSE syllabus for Class 8. We have included all question types, including MCQs, short answer questions, and long-form problems relating to Chapter 12 Exponents And Powers. You can easily download these assignments in PDF format for free. Our expert teachers have carefully looked at previous year exam patterns and have made sure that these questions help you prepare properly for your upcoming school tests.

Benefits of solving Assignments for Chapter 12 Exponents And Powers

Practicing these Class 8 Mathematics assignments has many advantages for you:

  • Better Exam Scores: Regular practice will help you to understand Chapter 12 Exponents And Powers properly and  you will be able to answer exam questions correctly.
  • Latest Exam Pattern: All questions are aligned as per the latest CBSE sample papers and marking schemes.
  • Huge Variety of Questions: These Chapter 12 Exponents And Powers sets include Case Studies, objective questions, and various descriptive problems with answers.
  • Time Management: Solving these Chapter 12 Exponents And Powers test papers daily will improve your speed and accuracy.

How to solve Mathematics Chapter 12 Exponents And Powers Assignments effectively?

  1. Read the Chapter First: Start with the NCERT book for Class 8 Mathematics before attempting the assignment.
  2. Self-Assessment: Try solving the Chapter 12 Exponents And Powers questions by yourself and then check the solutions provided by us.
  3. Use Supporting Material: Refer to our Revision Notes and Class 8 worksheets if you get stuck on any topic.
  4. Track Mistakes: Maintain a notebook for tricky concepts and revise them using our online MCQ tests.

Best Practices for Class 8 Mathematics Preparation

For the best results, solve one assignment for Chapter 12 Exponents And Powers on daily basis. Using a timer while practicing will further improve your problem-solving skills and prepare you for the actual CBSE exam.

Where can I download the latest CBSE Class 8 Mathematics Chapter Chapter 12 Exponents And Powers assignments?

You can download free PDF assignments for Class 8 Mathematics Chapter Chapter 12 Exponents And Powers from StudiesToday.com. These practice sheets have been updated for the 2026-27 session covering all concepts from latest NCERT textbook.

Do these Mathematics Chapter Chapter 12 Exponents And Powers assignments include solved questions?

Yes, our teachers have given solutions for all questions in the Class 8 Mathematics Chapter Chapter 12 Exponents And Powers assignments. This will help you to understand step-by-step methodology to get full marks in school tests and exams.

Are the assignments for Class 8 Mathematics Chapter Chapter 12 Exponents And Powers based on the 2026 exam pattern?

Yes. These assignments are designed as per the latest CBSE syllabus for 2026. We have included huge variety of question formats such as MCQs, Case-study based questions and important diagram-based problems found in Chapter Chapter 12 Exponents And Powers.

How can practicing Chapter Chapter 12 Exponents And Powers assignments help in Mathematics preparation?

Practicing topicw wise assignments will help Class 8 students understand every sub-topic of Chapter Chapter 12 Exponents And Powers. Daily practice will improve speed, accuracy and answering competency-based questions.

Can I download Mathematics Chapter Chapter 12 Exponents And Powers assignments for free on mobile?

Yes, all printable assignments for Class 8 Mathematics Chapter Chapter 12 Exponents And Powers are available for free download in mobile-friendly PDF format.