CBSE Class 8 Mathematics Factorisation Assignment Set 09

Read and download the CBSE Class 8 Mathematics Factorisation Assignment Set 09 for the 2026-27 academic session. We have provided comprehensive Class 8 Mathematics school assignments that have important solved questions and answers for Chapter 14 Factorisation. These resources have been carefuly prepared by expert teachers as per the latest NCERT, CBSE, and KVS syllabus guidelines.

Solved Assignment for Class 8 Mathematics Chapter 14 Factorisation

Practicing these Class 8 Mathematics problems daily is must to improve your conceptual understanding and score better marks in school examinations. These printable assignments are a perfect assessment tool for Chapter 14 Factorisation, covering both basic and advanced level questions to help you get more marks in exams.

Chapter 14 Factorisation Class 8 Solved Questions and Answers

Question. The factors of x2/4 - y2/9 are ____.
(A) (x/4 + y/9) (x/4 - y/9)
(B) (x/2 + y/9) (x/2 - y/9)
(C) (x/2 + y/3) (x/2 - y/3)
(D) Both (A) and (B)
Answer : C

Question. The factors of 15x2 – 26x + 8 are ____.
(A) (3x – 4) (5x + 2)
(B) (3x – 4) (5x – 2)
(C) (3x + 4) (5x – 2)
(D) (3x + 4) (5x + 2)
Answer : B

Question. One of the factors of (p + q)2 – (a – b)2 + p + q – a + b is
(A) (p + q + a + b)
(B) (p + q – a + b)
(C) (p – q + a – b)
(D) (p – q + a + b)
Answer : B

Question. If (x2 + 3x + 5) (x2 – 3x + 5) = m2 – n2, then m =____.
(A) x2 – 3x
(B) 3x
(C) x2 + 5
(D) Both (A) and (B)
Answer : C

Question. Which of the following is the factor of 12(a2 + 7a)2 – 8(a2 + 7a)(2a – 1) – 15 (2a – 1)2 ?
(i) (2a2 + 8a + 3) (ii) (6a2 + 52a – 5)
(iii) (3a + 5)

(A) Only (i)
(B) Both (i) and (ii)
(C) Only (ii)
(D) All (i), (ii) and (iii)
Answer : B

Question. The factors of x2 – 16 are ____.
(A) (x2 + 2)(x2 – 2)
(B) (x + 4)(x – 4)
(C) (x + 2)(x – 2)
(D) Does not exist
Answer : B

Question. The factors of √3x2 + 11x + 63 are ____.
(A) (x − 3√3) (√3x + 2)
(B) (x − 3√3) (√3x − 2)
(C) (x + 3√3) (√3x − 2)
(D) (x + 3√3) (√3x + 2)
Answer : D

Question. Factorisation of xy – pq + qy – px is ____.
(A) (y – p) (x + q)
(B) (y – p) (x – q)
(C) (y + p) (x + q)
(D) (y + p) (x – q)
Answer : A

Question. The factors of x4 + y4 + x2y2 are ____.
(A) (x2 + y2)(x2 + y2 – xy)
(B) (x2 + y2)(x2 – y2)
(C) (x2 + y2 + xy) (x2 + y2 – xy)
(D) Factorisation is not possible
Answer : C

Question. For x2 + 2x + 5 to be a factor of x4 + px2 + q, the values of p and q must be ____.
(A) – 2, 5
(B) 5, 25
(C) 10, 20
(D) 6, 25
Answer : D

Question. One of the factors of 4(x + y)(3a – b) + 6 (x + y)(2b – 3a) is
(A) (2b – 3a)
(B) (3a – b)
(C) (4a – 3b)
(D) (– 3a + 4b)
Answer : D

Question. Divide (32x4y3 – 16x3y4) by (–8x2y)
(A) 4x3y2 + 2xy3
(B) 4x3y – 2xy3
(C) – 4x2y2 + 2xy3
(D) –4xy2 + 2xy3
Answer : C

Question. Factorise: (2x + 3y)2 – 5(2x + 3y) – 14.
(A) 4(2x + 3y)(x + y – 2)
(B) 4(2x + 3y)(x + y + 2)
(C) (2x – 3y + 7)(2x – 3y + 2)
(D) (2x + 3y – 7)(2x + 3y + 2)
Answer : D

Question. Simplify : −14x12y + 8x5z / 2x2
(A) x3(– 7x7y + 4z)
(B) x2(7x7y – 4z)
(C) x2(–7x6y + 2z)
(D) x3(7x7y + 4z)
Answer : A

Question. Do as directed.
(i) Factorise: x2 + 1/x2 − 3
(ii) Find the greatest common factors of 14x2y3, 21x3y2 and 35x4y5z.
(iii) Divide z(5z2 – 80) by 5z(z + 4).

""CBSE-Class-8-Mathematics-Factorisation-Assignment-Set-I

Answer : C

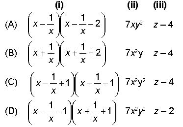
Question. Fill in the blanks.

""CBSE-Class-8-Mathematics-Factorisation-Assignment-Set-I-1

Answer : D

Question. Which of the following statements is CORRECT?
(A) The factors of an expression are always either algebraic variable or algebraic expression.
(B) An irreducible factor is a factor that cannot be expressed further as a product of factors.
(C) Every binomial expression can be factorised into two monomial expression.
(D) The process of writing a given expression as the product of two or more factors is called multiplication of factors.
Answer : B

Question. Match the expression given in Column-I to one of their factors given in Column-II.
         Column-I               Column-II
P. 9x2 + 24x + 16           (i) (2x – 4)
Q. 25x2 + 30x + 9          (ii) (4x + 1)
R. 40x2 + 14x + 1          (iii) (5x + 3)
S. 4x2 – 16x + 16          (iv) (3x + 4)
(A) P → (iv); Q → (iii); R → (ii); S → (i)
(B) P → (iii); Q → (i); R → (iv); S → (ii)
(C) P → (ii); Q → (i); R → (iv); S → (iii)
(D) P → (iv); Q → (iii); R → (i); S → (ii)
Answer : A

Question. Factors of x4 – (x – z)4 are ____.
(A) (2x + z)(2x3 + z3 – 2x2)
(B) z(x + 2z)(x2 + z2 – x2)
(C) z(2x – z)(2x2 – 2xz + z2)
(D) z(x – 2z)(2z2 – 2xz + x2)
Answer : C

Question. Factorising (x – y)2 + 4xy – z2, we get
(A) (x + y + z)(x + y – z)
(B) (x – y – z)(x + y – z)
(C) (x – y + z)(x + y – z)
(D) None of these
Answer : A

 

Question. Complete it : x2 + 25x + 84 = (x + 21) × _______.
Answer : 
(x + 4)

Question. Find the product : (a – b – c) (a – b + c)
Answer : 
a2 – 2ab + b2 – c2

Question. Simplify : x2 - 13x + 40 / (x - 8)
Answer : 
x – 5

Question. Find the value of 34 – 14 using the identity x4 – y4 = (x + y) (x – y) (x2 + y2).
Answer : 
80

Question. Express as product of two linear factors. x2 – 17x + 16.
Answer : 
(x – 16) (x – 1)

Question. Find z if, (x + 4) (x – 5) – z = x(x – 1)
Answer : 
–20

Question. Factorize : x2(y + 5) –4(y + 5)
Answer : 
(y + 5) (x + 2) (x – 2)

Question. Divide 121x5y4z3 by 11x3y2z.
Answer : 
11x2y2z2

Question. Find the common factor in 7x2y + 49xy2 + 343x3y2.
Answer : 
7xy

Question. Factorize : x2 – 3x + 2.
Answer : 
(x – 2) (x – 1)

Question. Find the value of  x3y xy3/xy as a product of two factors.
Answer : (x + y) (x – y).

Question. Complete it : (x + 3) (x – 5) = x2 + ( )x + ( ).
Answer : 
–2, –15.

Question. Factorize : 16x2 + 40xy + 25y2
Answer : 
(4x + 5y)2

Question. Simplify : (1.9)2 - (1.1)2 / 3
Answer : 
0.8

Question. Find (x4 + y4) (x4 – y4) if x = 1, y = 1.
Answer : 
0

Question. Find the value of 252 – 242.
Answer : 
49

Question. Simplify : (0.87)2 - (0.13)2 / (0.87 - 0.13)
Answer : 
1

Question. Find the quotient : z(4y2 – 64) 4z(y – 4)
Answer : 
y + 4

Question. Find x and y that xy = 72, x + y = 17.
Answer : 
x = 9, y = 8.

Question. Simplify : 4m2 - 169n2 / 2m + 13n
Answer : 
2m – 13n

Question. Find the value of : (3a + b)2 – (3a – b)2.
Answer : 
12ab
 

Q 1 Factorise 2x + 4.

Q 2 Factorise 12a2b + 15ab2.

Q 3 Factorise 10x2 – 14x3 + 18x4

Q 4 Factorise 20x2y + 30axy.

Q 5 Factorise x2 + xy + 8x + 8y.

Q 6 Factorise 1 + a + ac + a2c.

Q 7 Factorise a2 + bc + ab + ac.

Q 8 Factorise x2 – 36 using identity.

Q 9 Factorise xy – pq + qy – px.

Q 10 Factorise 5a(2x – 3y) + 2b(2x - 3y).

Q 11 Factorise ax2 + by2 + bx2 + ay2.

Q 12 Factorise 8(4x + 5y)2 – 12(4x + 5y).

Q 13 Factorise using identity x2 + 10x + 25.

Q 14 Factorise using identity 4x2 + 9y2 + 12xy.

Q 15 Factorise ax2y + bxy2 + cxyz.

 CBSE Class 8 Factorisation Assignments 11

CBSE Class 8 Factorisation Assignments 11

 

 CBSE Class 8 Factorisation Assignments 10

 CBSE Class 8 Factorisation Assignments 10

 

CBSE Class 8 Factorisation Assignment 9

CBSE Class 8 Factorisation Assignment 9

 

CBSE Class 8 Factorisation Assignment 8

CBSE Class 8 Factorisation Assignment 8

 

CBSE Class 8 Factorisation Assignment 7

CBSE Class 8 Factorisation Assignment 7

 

 CBSE Class 8 Factorisation Assignment 6

CBSE Class 8 Factorisation Assignment 6

 

 CBSE Class 8 Factorisation Assignment 5

CBSE Class 8 Factorisation Assignment 5

 

CBSE Class 8 Factorisation Assignment 4

CBSE Class 8 Factorisation Assignment 4

Questions carrying 1 mark each :-

Q.1 Factorise x2 + x.

Q.2 Is it correct : 3(x-4) = 3x -4.

Questions carrying 2 marks each :-

Q.3 Factorise 9a2 - 16b2

Q.4 Factorise 24x4 + 18x3

Q.5 Factorise 2a - 32a5

Q.6 Evaluate(ax+ay+ax) a

Questions carrying 3 marks each :

Q.7 Factorise 1-a2 - 2ab - b2

Q.8 Resolve into factors : 2x2 - 3ax - 2a2

Q.9 Find the greatest common factor of - 4a3b2, 12a3b3c, 16a5bc.

Q.10 Divide (4x2-9) by (2x-3).

Q.11 Factorise (x4) - (y-z)4

Multiple Choice Questions carrying 1mark each:-

Q.12 Division is opposite of

a) Subtraction

b) Addition

c) Multiplication

d) None of these

Multiple Choice Questions carrying 1mark each:-

Q.13 Division is opposite of
a) Subtraction
b) Addition
c) Multiplication
d) None of these

CBSE Class 8 Mathematics Chapter 14 Factorisation Assignment

Access the latest Chapter 14 Factorisation assignments designed as per the current CBSE syllabus for Class 8. We have included all question types, including MCQs, short answer questions, and long-form problems relating to Chapter 14 Factorisation. You can easily download these assignments in PDF format for free. Our expert teachers have carefully looked at previous year exam patterns and have made sure that these questions help you prepare properly for your upcoming school tests.

Benefits of solving Assignments for Chapter 14 Factorisation

Practicing these Class 8 Mathematics assignments has many advantages for you:

  • Better Exam Scores: Regular practice will help you to understand Chapter 14 Factorisation properly and  you will be able to answer exam questions correctly.
  • Latest Exam Pattern: All questions are aligned as per the latest CBSE sample papers and marking schemes.
  • Huge Variety of Questions: These Chapter 14 Factorisation sets include Case Studies, objective questions, and various descriptive problems with answers.
  • Time Management: Solving these Chapter 14 Factorisation test papers daily will improve your speed and accuracy.

How to solve Mathematics Chapter 14 Factorisation Assignments effectively?

  1. Read the Chapter First: Start with the NCERT book for Class 8 Mathematics before attempting the assignment.
  2. Self-Assessment: Try solving the Chapter 14 Factorisation questions by yourself and then check the solutions provided by us.
  3. Use Supporting Material: Refer to our Revision Notes and Class 8 worksheets if you get stuck on any topic.
  4. Track Mistakes: Maintain a notebook for tricky concepts and revise them using our online MCQ tests.

Best Practices for Class 8 Mathematics Preparation

For the best results, solve one assignment for Chapter 14 Factorisation on daily basis. Using a timer while practicing will further improve your problem-solving skills and prepare you for the actual CBSE exam.

FAQs

Where can I download the latest CBSE Class 8 Mathematics Chapter Chapter 14 Factorisation assignments?

You can download free PDF assignments for Class 8 Mathematics Chapter Chapter 14 Factorisation from StudiesToday.com. These practice sheets have been updated for the 2026-27 session covering all concepts from latest NCERT textbook.

Do these Mathematics Chapter Chapter 14 Factorisation assignments include solved questions?

Yes, our teachers have given solutions for all questions in the Class 8 Mathematics Chapter Chapter 14 Factorisation assignments. This will help you to understand step-by-step methodology to get full marks in school tests and exams.

Are the assignments for Class 8 Mathematics Chapter Chapter 14 Factorisation based on the 2026 exam pattern?

Yes. These assignments are designed as per the latest CBSE syllabus for 2026. We have included huge variety of question formats such as MCQs, Case-study based questions and important diagram-based problems found in Chapter Chapter 14 Factorisation.

How can practicing Chapter Chapter 14 Factorisation assignments help in Mathematics preparation?

Practicing topicw wise assignments will help Class 8 students understand every sub-topic of Chapter Chapter 14 Factorisation. Daily practice will improve speed, accuracy and answering competency-based questions.

Can I download Mathematics Chapter Chapter 14 Factorisation assignments for free on mobile?

Yes, all printable assignments for Class 8 Mathematics Chapter Chapter 14 Factorisation are available for free download in mobile-friendly PDF format.