CBSE Class 12 Mathematics Indefinite and Definite Integrals Assignment Set 01

Read and download the CBSE Class 12 Mathematics Indefinite and Definite Integrals Assignment Set 01 for the 2026-27 academic session. We have provided comprehensive Class 12 Mathematics school assignments that have important solved questions and answers for Chapter 7 Integrals. These resources have been carefuly prepared by expert teachers as per the latest NCERT, CBSE, and KVS syllabus guidelines.

Solved Assignment for Class 12 Mathematics Chapter 7 Integrals

Practicing these Class 12 Mathematics problems daily is must to improve your conceptual understanding and score better marks in school examinations. These printable assignments are a perfect assessment tool for Chapter 7 Integrals, covering both basic and advanced level questions to help you get more marks in exams.

Chapter 7 Integrals Class 12 Solved Questions and Answers

CBSE Class 12 Mathematics Indefinite and Definite Integrals Assignment Set A.Chapter wise assignments are being given by teachers to students to make them understand the chapter concepts. Its extremely critical for all CBSE students to practice all assignments which will help them in gaining better marks in examinations. All assignments available for free download on the website are developed by the best teachers having many years of teaching experience in CBSE schools all over the country. Students, teachers and parents are advised to download the CBSE study material.

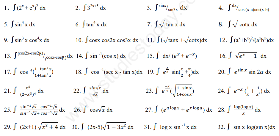
CBSE Class 12 Mathematics Indefinite and Definite Integrals Assignment Set A

Please click the below link to access CBSE Class 12 Mathematics Indefinite and Definite Integrals Assignment Set A

CBSE Class 12 Mathematics Chapter 7 Integrals Assignment

Access the latest Chapter 7 Integrals assignments designed as per the current CBSE syllabus for Class 12. We have included all question types, including MCQs, short answer questions, and long-form problems relating to Chapter 7 Integrals. You can easily download these assignments in PDF format for free. Our expert teachers have carefully looked at previous year exam patterns and have made sure that these questions help you prepare properly for your upcoming school tests.

Benefits of solving Assignments for Chapter 7 Integrals

Practicing these Class 12 Mathematics assignments has many advantages for you:

  • Better Exam Scores: Regular practice will help you to understand Chapter 7 Integrals properly and  you will be able to answer exam questions correctly.
  • Latest Exam Pattern: All questions are aligned as per the latest CBSE sample papers and marking schemes.
  • Huge Variety of Questions: These Chapter 7 Integrals sets include Case Studies, objective questions, and various descriptive problems with answers.
  • Time Management: Solving these Chapter 7 Integrals test papers daily will improve your speed and accuracy.

How to solve Mathematics Chapter 7 Integrals Assignments effectively?

  1. Read the Chapter First: Start with the NCERT book for Class 12 Mathematics before attempting the assignment.
  2. Self-Assessment: Try solving the Chapter 7 Integrals questions by yourself and then check the solutions provided by us.
  3. Use Supporting Material: Refer to our Revision Notes and Class 12 worksheets if you get stuck on any topic.
  4. Track Mistakes: Maintain a notebook for tricky concepts and revise them using our online MCQ tests.

Best Practices for Class 12 Mathematics Preparation

For the best results, solve one assignment for Chapter 7 Integrals on daily basis. Using a timer while practicing will further improve your problem-solving skills and prepare you for the actual CBSE exam.

Where can I download the latest CBSE Class 12 Mathematics Chapter Chapter 7 Integrals assignments?

You can download free PDF assignments for Class 12 Mathematics Chapter Chapter 7 Integrals from StudiesToday.com. These practice sheets have been updated for the 2026-27 session covering all concepts from latest NCERT textbook.

Do these Mathematics Chapter Chapter 7 Integrals assignments include solved questions?

Yes, our teachers have given solutions for all questions in the Class 12 Mathematics Chapter Chapter 7 Integrals assignments. This will help you to understand step-by-step methodology to get full marks in school tests and exams.

Are the assignments for Class 12 Mathematics Chapter Chapter 7 Integrals based on the 2026 exam pattern?

Yes. These assignments are designed as per the latest CBSE syllabus for 2026. We have included huge variety of question formats such as MCQs, Case-study based questions and important diagram-based problems found in Chapter Chapter 7 Integrals.

How can practicing Chapter Chapter 7 Integrals assignments help in Mathematics preparation?

Practicing topicw wise assignments will help Class 12 students understand every sub-topic of Chapter Chapter 7 Integrals. Daily practice will improve speed, accuracy and answering competency-based questions.

Can I download Mathematics Chapter Chapter 7 Integrals assignments for free on mobile?

Yes, all printable assignments for Class 12 Mathematics Chapter Chapter 7 Integrals are available for free download in mobile-friendly PDF format.