CBSE Class 10 Mathematics Linear Equations Assignment Set 12

Read and download the CBSE Class 10 Mathematics Linear Equations Assignment Set 12 for the 2026-27 academic session. We have provided comprehensive Class 10 Mathematics school assignments that have important solved questions and answers for Chapter 3 Pair Of Linear Equations In Two Variables. These resources have been carefuly prepared by expert teachers as per the latest NCERT, CBSE, and KVS syllabus guidelines.

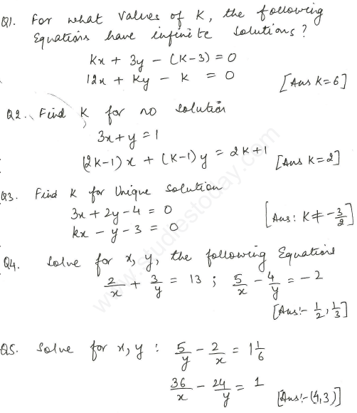
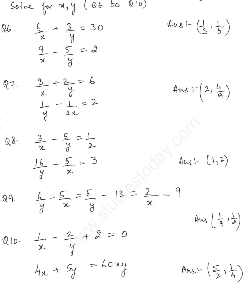
Solved Assignment for Class 10 Mathematics Chapter 3 Pair Of Linear Equations In Two Variables

Practicing these Class 10 Mathematics problems daily is must to improve your conceptual understanding and score better marks in school examinations. These printable assignments are a perfect assessment tool for Chapter 3 Pair Of Linear Equations In Two Variables, covering both basic and advanced level questions to help you get more marks in exams.

Chapter 3 Pair Of Linear Equations In Two Variables Class 10 Solved Questions and Answers

 

 
CBSE Class 10 Mathematics Linear Equations Assignment Set L
 
 CBSE Class 10 Mathematics Linear Equations Assignment Set L
 
 
 
Please click the link below to download CBSE Class 10 Mathematics Linear Equations Assignment Set L

CBSE Class 10 Mathematics Chapter 3 Pair Of Linear Equations In Two Variables Assignment

Access the latest Chapter 3 Pair Of Linear Equations In Two Variables assignments designed as per the current CBSE syllabus for Class 10. We have included all question types, including MCQs, short answer questions, and long-form problems relating to Chapter 3 Pair Of Linear Equations In Two Variables. You can easily download these assignments in PDF format for free. Our expert teachers have carefully looked at previous year exam patterns and have made sure that these questions help you prepare properly for your upcoming school tests.

Benefits of solving Assignments for Chapter 3 Pair Of Linear Equations In Two Variables

Practicing these Class 10 Mathematics assignments has many advantages for you:

  • Better Exam Scores: Regular practice will help you to understand Chapter 3 Pair Of Linear Equations In Two Variables properly and  you will be able to answer exam questions correctly.
  • Latest Exam Pattern: All questions are aligned as per the latest CBSE sample papers and marking schemes.
  • Huge Variety of Questions: These Chapter 3 Pair Of Linear Equations In Two Variables sets include Case Studies, objective questions, and various descriptive problems with answers.
  • Time Management: Solving these Chapter 3 Pair Of Linear Equations In Two Variables test papers daily will improve your speed and accuracy.

How to solve Mathematics Chapter 3 Pair Of Linear Equations In Two Variables Assignments effectively?

  1. Read the Chapter First: Start with the NCERT book for Class 10 Mathematics before attempting the assignment.
  2. Self-Assessment: Try solving the Chapter 3 Pair Of Linear Equations In Two Variables questions by yourself and then check the solutions provided by us.
  3. Use Supporting Material: Refer to our Revision Notes and Class 10 worksheets if you get stuck on any topic.
  4. Track Mistakes: Maintain a notebook for tricky concepts and revise them using our online MCQ tests.

Best Practices for Class 10 Mathematics Preparation

For the best results, solve one assignment for Chapter 3 Pair Of Linear Equations In Two Variables on daily basis. Using a timer while practicing will further improve your problem-solving skills and prepare you for the actual CBSE exam.

Where can I download the latest CBSE Class 10 Mathematics Chapter Chapter 3 Pair Of Linear Equations In Two Variables assignments?

You can download free PDF assignments for Class 10 Mathematics Chapter Chapter 3 Pair Of Linear Equations In Two Variables from StudiesToday.com. These practice sheets have been updated for the 2026-27 session covering all concepts from latest NCERT textbook.

Do these Mathematics Chapter Chapter 3 Pair Of Linear Equations In Two Variables assignments include solved questions?

Yes, our teachers have given solutions for all questions in the Class 10 Mathematics Chapter Chapter 3 Pair Of Linear Equations In Two Variables assignments. This will help you to understand step-by-step methodology to get full marks in school tests and exams.

Are the assignments for Class 10 Mathematics Chapter Chapter 3 Pair Of Linear Equations In Two Variables based on the 2026 exam pattern?

Yes. These assignments are designed as per the latest CBSE syllabus for 2026. We have included huge variety of question formats such as MCQs, Case-study based questions and important diagram-based problems found in Chapter Chapter 3 Pair Of Linear Equations In Two Variables.

How can practicing Chapter Chapter 3 Pair Of Linear Equations In Two Variables assignments help in Mathematics preparation?

Practicing topicw wise assignments will help Class 10 students understand every sub-topic of Chapter Chapter 3 Pair Of Linear Equations In Two Variables. Daily practice will improve speed, accuracy and answering competency-based questions.

Can I download Mathematics Chapter Chapter 3 Pair Of Linear Equations In Two Variables assignments for free on mobile?

Yes, all printable assignments for Class 10 Mathematics Chapter Chapter 3 Pair Of Linear Equations In Two Variables are available for free download in mobile-friendly PDF format.