CBSE Class 9 Mathematics Polynomials Assignment Set 02

Read and download the CBSE Class 9 Mathematics Polynomials Assignment Set 02 for the 2026-27 academic session. We have provided comprehensive Class 9 Mathematics school assignments that have important solved questions and answers for Chapter 2 Polynomials. These resources have been carefuly prepared by expert teachers as per the latest NCERT, CBSE, and KVS syllabus guidelines.

Solved Assignment for Class 9 Mathematics Chapter 2 Polynomials

Practicing these Class 9 Mathematics problems daily is must to improve your conceptual understanding and score better marks in school examinations. These printable assignments are a perfect assessment tool for Chapter 2 Polynomials, covering both basic and advanced level questions to help you get more marks in exams.

Chapter 2 Polynomials Class 9 Solved Questions and Answers

Question. Find the coefficient of x2 in the product of (x- 1) (1 - 2x).
(A) -3
(B) 3
(C) - 2
(D) 1
Answer : A

Question. If x + 1/x = 3, find the value of x2 + 2 ?
(A) 9
(B) 11
(C) 7
(D) 8
Answer : C

Question. Find one of the factors of (x- 1) - (x2- 1 ).
(A) x2 - 1
(B) X + 1
(C) x - 1
(D) x + 4
Answer : C

Question. What is the product of (y - 1/2) (y + 1/y) (y2 + 1/y2) ?
(A) y4 + 1/y4
(B) y2 + `1/y2 + 2
(C) y4 - `1/y4
(D) y3 + 1/y3 - 2
Answer : C

Question. If x2 + x + 1 is a factor of the polynomial 3x3 + 8x2 + 8x + 3 + 5k, what is the value of k?
(A) 0
(B) 2/5
(C) 5/2
(D) -1
Answer : B

Question. If (x - 1) is a fact or of polynomial f(x) but not of g(x), it must be a factor of which of the following polynomials?
(A) f(x) g (x)
(B) -f(x) + g(x)
(C) f(x) - g(x)
(D) {f(x) + g(x)}g(x)
Answer : A

Question. If (x -a) (x- b) are factors of polynomial g(x), which of the following statements is correct?
(A) g(a) = o, g(b) i: 0
(B) g(a) = 0, g(b) = 0
(C) g(a) i: 0, g(b) i: 0
(D) g(a) i: 0, g(b) = 0
Answer : B

Question. If x2014 + 2014 is divided by (x + 1), what is the remainder?
(A) 2014
(B) 1
(C) 2013
(D) 2015
Answer : D

Question. If x2 + kx + 6 = (x + 2) (x + 3) for all x, what is the value of k?
(A) 1
(B) 6
(C) 5
(D) 3
Answer : C

Question. Find the zeroes of the polynomial p(z) = (4z + π) (z - 4π).
(A) 4π - π/4
(B) -4π, - π/4
(C) 4π, π/4
(D) -4n, - π/4
Answer : A

Question. If (x + 1) is a factor of xn + 1, which of the following statement s is true?
(A) n is an odd integer
(B) n is an even integer
(C) n is a negative integer
(D) n is a positive integer
Answer : A

Question. What is the value of (2.3)3 - 0.027 / (2.3)2 + 0.69 + 0.09 ?
(A) 2
(B) 3
(C) 2.327
(D) 2.273
Answer : A

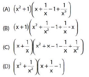
Question. Whar are the factors of x3 + x2 - 1/.x2 + 1/x3

""CBSE-Class-9-Mathematics-Polynomials-Assignment-Set-B

Answer : C

Question. When x3 - 2x2 + ax - b is divided by x2 - 2x - 3, the remainder is x - 6. Find the values of a and b.
(A) -2 and - 6
(B) 2 and - 6
(C) -2 and 6
(D) 2 and 6
Answer : C

Question. If (x + y)3 - (x- y)3 - 6y (x2 - y2) = ky3, find k.
(A) 1
(B) 2
(C) 4
(D) 8
Answer : D

Question. Factorise a2/b2 + 2 + b2/a2
(A) (a/b + b/a)
(B) (1 + a/b)2
(C) (1 -  b/a)2
(D) (b/a - a/b)2
Answer : A

Question. EvaIuate (3.78)2 - (2.22)2 / 1.56
(A) 6
(B) 3
(C) 9
(D) 15
Answer : A

Question. Let R1 and R2 be t he remainders when the polynomials f(x) = 4x3 + 3x2 - 12ax - 5 and g(x) = 2x3 + ax2 - 6x + 2 are divided by (x - 1) and (x - 2) respectively. If 3R1 + R2 + 28 = 0, find the value of'a:
(A) 0
(B) - 1
(C) 1
(D) 32
Answer : C

Question. lf (x - 1)1 = a7x7 + a6x6 + a5x5 + ....+ ax + a0' what is the value of a7 + a6 + a5 + ..... + a1 + ao ?
(A) 0
(B) 1
(C) 128
(D) 64
Answer : A

Question. Resolve into factors: 1 + a + b + c + ab + bc + ca +abc
(A) (1 + a)(1 + b) (1 + c)
(B) (a + b + c + 1 )(a - b -c)
(C) (a + b)(b + c)(c + a) + 1
(D) (a2 + b2 + c2)(1 -a - b - c)
Answer : A

Question. Facto rise: 4a2 + 9b2 + c2 + 12ab + 4ac + 6bc.
(A) (2a + 3b + c)2
(B) (a + 3b + 2c)2
(C) (a - 3b + 2c)2
(D) (2a + 3b- c)2
Answer : A

Question. What is the remainder obtained when the polynomial p(x) is divided by (b - ax)?
(A) p(-b/a)
(B) p(a/b)
(C) p(b/a)
(D) P(-a/b)
Answer : C

Question. If a + b + c = 10, a2 + b2 + c2 = 38 and a3 + b3 + c= 160, find the value of abc.
(A) 45
(C) 10
(B) 15
(D) 30
Answer : D

 

Please click the link below to download CBSE Class 9 Mathematics Polynomials Assignment Set B.

More Assignments for Class 9 Mathematics
CBSE Class 9 Mathematics Collection of Assignments

CBSE Class 9 Mathematics Chapter 2 Polynomials Assignment

Access the latest Chapter 2 Polynomials assignments designed as per the current CBSE syllabus for Class 9. We have included all question types, including MCQs, short answer questions, and long-form problems relating to Chapter 2 Polynomials. You can easily download these assignments in PDF format for free. Our expert teachers have carefully looked at previous year exam patterns and have made sure that these questions help you prepare properly for your upcoming school tests.

Benefits of solving Assignments for Chapter 2 Polynomials

Practicing these Class 9 Mathematics assignments has many advantages for you:

  • Better Exam Scores: Regular practice will help you to understand Chapter 2 Polynomials properly and  you will be able to answer exam questions correctly.
  • Latest Exam Pattern: All questions are aligned as per the latest CBSE sample papers and marking schemes.
  • Huge Variety of Questions: These Chapter 2 Polynomials sets include Case Studies, objective questions, and various descriptive problems with answers.
  • Time Management: Solving these Chapter 2 Polynomials test papers daily will improve your speed and accuracy.

How to solve Mathematics Chapter 2 Polynomials Assignments effectively?

  1. Read the Chapter First: Start with the NCERT book for Class 9 Mathematics before attempting the assignment.
  2. Self-Assessment: Try solving the Chapter 2 Polynomials questions by yourself and then check the solutions provided by us.
  3. Use Supporting Material: Refer to our Revision Notes and Class 9 worksheets if you get stuck on any topic.
  4. Track Mistakes: Maintain a notebook for tricky concepts and revise them using our online MCQ tests.

Best Practices for Class 9 Mathematics Preparation

For the best results, solve one assignment for Chapter 2 Polynomials on daily basis. Using a timer while practicing will further improve your problem-solving skills and prepare you for the actual CBSE exam.

Where can I download the latest CBSE Class 9 Mathematics Chapter Chapter 2 Polynomials assignments?

You can download free PDF assignments for Class 9 Mathematics Chapter Chapter 2 Polynomials from StudiesToday.com. These practice sheets have been updated for the 2026-27 session covering all concepts from latest NCERT textbook.

Do these Mathematics Chapter Chapter 2 Polynomials assignments include solved questions?

Yes, our teachers have given solutions for all questions in the Class 9 Mathematics Chapter Chapter 2 Polynomials assignments. This will help you to understand step-by-step methodology to get full marks in school tests and exams.

Are the assignments for Class 9 Mathematics Chapter Chapter 2 Polynomials based on the 2026 exam pattern?

Yes. These assignments are designed as per the latest CBSE syllabus for 2026. We have included huge variety of question formats such as MCQs, Case-study based questions and important diagram-based problems found in Chapter Chapter 2 Polynomials.

How can practicing Chapter Chapter 2 Polynomials assignments help in Mathematics preparation?

Practicing topicw wise assignments will help Class 9 students understand every sub-topic of Chapter Chapter 2 Polynomials. Daily practice will improve speed, accuracy and answering competency-based questions.

Can I download Mathematics Chapter Chapter 2 Polynomials assignments for free on mobile?

Yes, all printable assignments for Class 9 Mathematics Chapter Chapter 2 Polynomials are available for free download in mobile-friendly PDF format.