CBSE Class 12 Mathematics Probability Assignment Set 03

Read and download the CBSE Class 12 Mathematics Probability Assignment Set 03 for the 2026-27 academic session. We have provided comprehensive Class 12 Mathematics school assignments that have important solved questions and answers for Chapter 13 Probability. These resources have been carefuly prepared by expert teachers as per the latest NCERT, CBSE, and KVS syllabus guidelines.

Solved Assignment for Class 12 Mathematics Chapter 13 Probability

Practicing these Class 12 Mathematics problems daily is must to improve your conceptual understanding and score better marks in school examinations. These printable assignments are a perfect assessment tool for Chapter 13 Probability, covering both basic and advanced level questions to help you get more marks in exams.

Chapter 13 Probability Class 12 Solved Questions and Answers

Question. Three athlete A, B and C participate in a race competetion.
The probability of winning A and B is twice of winning C.
Then the probability that the race win by A or B, is:
a. 3/2
b. 2/1
c. 5/4
d. 3/1
Answer : C

Question. In a city 20% persons read English newspaper, 40% read Hindi newspaper and 5% read both newspapers. The percentage of non-reader either paper is
a. 60%
b. 35%
c. 25%
d. 45%
Answer : D

Question. Given two mutually exclusive events A and B such that P(A) = 0.45 and P(B) = 0.35, then P (A or B) = ?
a. 0.1
b. 0.25
c. 0.15
d. 0.8
Answer : D

Question. In a class of 125 students 70 passed in Mathematics, 55 in Statistics and 30 in both. The probability that a student selected at random from the class has passed in only one subject is:
a. 25/13
b. 25/3
c. 25/17
d. 25/8
Answer : A

Question. A box contains 6 nails and 10 nuts. Half of the nails and half of the nuts are rusted. If one item is chosen at random, what is the probability that it is rusted or is a nail:
a. 3/16
b. 5/16
c. 11/16
d. 14/16
Answer : C

Question. A card is chosen randomly from a pack of playing cards.
The probability that it is a black king or queen of heart or jack is:
a. 1/52
b. 6/52
c. 7/52
d. None of these
Answer : C

Question. If A and B are events such that P(A ∪ B) = 3/ 4, P(A ∩ B) = 1/ 4, P(A) = 2 / 3, then P(A ∩ B) is:
a. 5/12
b. 3/8
c. 5/8
d. 1/4
Answer : A

Question. The probability that A speaks truth is 4/5, while this probability for B is 3/4, The probability that they contradict each other when asked to speak on a fact is
a. 4/5
b. 1/5
c. 7/20
d. 3/20
Answer : C

Question. A student appears for tests I, II and III. The student is successful if he passes either in tests I and II or tests I and III. The probabilities of the student passing in tests I, II, III are p, q and 1/respectively. If the probability that the student is successful is
1/2, then
a. p = 1, q = 0
b. p = 2/3, q = 1/2
c. There are infinitely many values of p and q
d. All of the above
Answer : C

Question. The probability of happening an event A is 0.5 and that of B is 0.3. If A and B are mutually exclusive events, then the probability of happening neither A nor B is:
a. 0.6
b. 0.2
c. 0.21
d. None of these
Answer : B

Question. If A and B are two events such that P a ≠ 0 and P b ≠ 1, then P(A/B) = ?

""CBSE-Class-12-Mathematics-Probability-Assignment-Set-C

Answer : C

Question. If A and B are two events such that P(A ∪ B) = P(A∩B), then the true relation is
a. P(A) + P(B) = 0
b. P (A) + P(B) = (A) P (B/A)
c. P(A) + P(B) = 2 P(A)P(B/A)
d. None of these
Answer : C

Question. Let E and F be two independent events. The probability that both E and F happens is 1/12 and the probability that neither E nor F happens is 1/2 then
a. P (E) = 1/3, P(F) = 1/4
b. P(E) = 1/2 , P(F) = 1/6
c. P(E) = 1/6 , P(F) = 1/2
d. None of these
Answer : A

Question. Let p denotes the probability that a managed x years will die in a year. The probability that out of n men A1, A2, A3, Aeach aged x, A1 will die in a year and will be the first to die, is:
a. 1/n [1 - (1 - p)n ]
b. [1 - (1 - p)n ]
c. 1/n-1 [1 - (1 - p)n ]
d. None of these
Answer : A

Question. In a bolt factory, machines A, B and C manufacture respectively 25%, 35% and 40% of the total bolts. Of their output 5, 4 and 2 percent are respectively defective bolts.
A bolt is drawn at random from the product. Then the probability that the bolt drawn is defective is

a. 0.0345
b. 0.345
c. 3.45
d. 0.0034
Answer : A

Question. A bag A contains 2 white and 3 red balls and bag B contains 4 white and 5 red balls. One ball is drawn at random from a randomly chosen bag and is found to be red. The probability that it was drawn from B is
a. 5/14
b. 5/16
c. 5/18
d. 25/52
Answer : D

Question. A random variable X has the probability distribution:

For the events E = {X is a prime number} and F = {X < 4}, the probability P(E ∪ F) is
a. 0.50
b. 0.77
c. 0.35
d. 0.87
Answer : B

Question. 8 coins are tossed simultaneously. The probability of getting at least 6 heads is
a. 57/64
b. 229/256
c. 7/64
d. 37/256
Answer : D

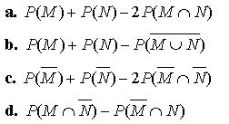
Question. If M and N are any two events, then the probability that exactly one of them occurs is:

""CBSE-Class-12-Mathematics-Probability-Assignment-Set-C-1

Answer : AC

Question. For two given events A and B, P(A∩B) is:
a. not less than P(A) + P(B) −1
b. not greater than P(A) + P(B)
c. equal to P(A) + P(B) − P(A∪B)
d. equal to P(A) + P(B) + P(A∪B)
Answer : ABC

Question. If E and F are independent events such that 0 < P(E) < 1 and 0 < P(F) < 1, then:
a. E and F are mutual exclusive
b. E and Fc (the complement of the event F) are independent
c. Ec and Fc are independent
d. p(E/F) + p(Ec/ F) = 1
Answer : ACD

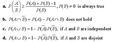
Question. For any two events A and B in a sample space?

""CBSE-Class-12-Mathematics-Probability-Assignment-Set-C-2

Answer : AC

Question. Let E and F be two independent events. The probability that both E and F happen is 1/12 and the probability that neither E nor F happen is ½. Then:
a. P(E) = 1/ 3, P(F) = 1/ 4
b. P(E) = 1/ 2, P(F) = 1/ 6
c. P(E) = 1/ 6, P(F) = 1/ 2
d. P(E) = 1/ 4, P(F) = 1/ 3
Answer : AD

Comprehension Based

Paragraph–I

Read the following passage and answer the questions. There are n urns each containing (n +1) balls such that the ith urn contains ‘i’ white balls and (n +1− i) red balls. Let u1 be the event of selecting ith urn, i = 1, 2,3,..., n and W denotes the event of getting a white balls.

Question. If p (ui) = c where c is a constant, then p(un/W) is equal to
a. 2/n +1
b. 1/n +1
c. 1/n+n 
d. 1/2
Answer : A

Question. If n is even and E denotes the event of choosing even numbered urn ( p(ui) = 1/n) then the value of P(W/E) is
a. n + 2 / 2n + 1
b. 2 + 2 / 2(n + 1)
c n/n +1
d. 1/n +1
Answer : B

Paragraph– II

A fair die is tossed repeatedly until a six is obtained. Let X denote the number of tosses required.

Question. The probability that X = 3 equals:
a. 25/216
b. 25/36
c. 5/36
d. 125/216
Answer : A

Question. The probability that X ≥ 3 equals:
a. 125/216
b. 25/36
c. 5/36
d. 25/216
Answer : B

Question. The conditional probability that X ≥ 6 given X > 3 equals :
a. 125/216
b. 25/216
c. 5/36
d. 25/36
Answer : D

Paragraph– III

Let U1 and U2 be two urns such that U1 contains 3 white and 2 red balls and U2 contains only 1 white ball. A fair coin is tossed. If head appears then 1 ball is drawn at random from U1 and put into U2. However, if tail appears then 2 balls an drawn at random from Uand put into U2. Now, 1 ball is drawn at random from U2.

Question. The probability of the drawn ball from U2 being white is:
a. 13/30
b. 23/30
c. 19/30
d. 11/30
Answer : B

Question. Given that the drawn ball from U2 is white, the probability that head appeared on the coin is :
a. 17/23
b. 11/23
c. 15/23
d. 12/23
Answer : D

Paragraph– IV

Box I contains three cards bearing numbers 1,2,3, ; box II contains five cards bearing numbers 1,2,3,4,5; and box III contains seven cards bearing numbers 1, 2, 3, 4, 5, 6, 7. A card is drawn from each of the boxes. Let xi be the number on the card drawn from the ith box i = 1, 2, 3.

Question. The probability that x1 + x2 + x3 is odd, is:
a. 29/105
b. 53/105
c. 57/105
d. 1/2
Answer : B

Question. The probability that x, x2 , x3  x, x2 , x3  are in an arithmetic progression, is:
a. 9/105
b. 10/105
c. 11/105
d. 7/105
Answer : C

Question

Q1. Two dice are thrown simultaneously. Find the probability of getting a doublet.

Ans. 1/6

Q2.What is the chance that a leap year, selected at random, will contain 53 Sundays?

Ans. 2/7

Q3.The letter of the word ‘SOCIETY’ are placed at random in a row. What is the probability that the three vowels come together.

Ans. 1/7

Q4.Four digit numbers are formed by using the digit 1,2,3,4 and 5 without repeating any digit. Find the probability that a number, chosen at random, is an odd number.

Ans. 3/5

Q5. In a single throw of three dice, determine the probability of getting (i) a total of 5 (ii) a total of at most 5.

Ans. 1/36, 5/108,

Q6. From a bag containing 20 tickets, numbered from 1 to 20, two tickets are drawn at random. Find the probability that

(i) both the tickets have prime number on them (ii) on one there is a prime number and on the other there is a multiple of four.

Ans. 14/95, 4/19

Q7.An urn contains 6 red and 4 blue balls. Two balls are drawn at random with replacement. Find the probability of getting

(i) 2 red balls (ii) 2 blue balls (iii) one red and one blue ball.

Ans. 9/25, 4/25, 12/25,

Q8.Two dice are tossed together. Find the probability that the sum of the numbers obtained on the two dice is neither a multiple of three nor a multiple of four.

Ans. 4/9

Q9. A and B are two candidates seeking admission in a college. The probability that A is selected is 0.7 and the probability that exactly one of them is selected is 0.6. Find the probability that B is selected.

Ans. 0.25

Q10. The probability of simultaneous occurrence of at least one of two events A and B is p. If the  probability that exactly one of A, B occurs is q, then prove that P (A’) + P (B’) =2-2p +q

Q11. 10% of the bulbs produced in a factory are of red colour and 2% are red and defective. If one bulb is picked up at random, determine the probability of its being defective if it is red.

Ans. 1/5

Q12. Two dice are thrown simultaneously. Let A be the event of ‘getting 6 on the first die’ and B be the event ‘getting 2 on the second die’. Are the events A and B independent?

Ans. Yes.

 

 

Please click the below link to access CBSE Class 12 Mathematics Probability Assignment Set C

CBSE Class 12 Mathematics Chapter 13 Probability Assignment

Access the latest Chapter 13 Probability assignments designed as per the current CBSE syllabus for Class 12. We have included all question types, including MCQs, short answer questions, and long-form problems relating to Chapter 13 Probability. You can easily download these assignments in PDF format for free. Our expert teachers have carefully looked at previous year exam patterns and have made sure that these questions help you prepare properly for your upcoming school tests.

Benefits of solving Assignments for Chapter 13 Probability

Practicing these Class 12 Mathematics assignments has many advantages for you:

  • Better Exam Scores: Regular practice will help you to understand Chapter 13 Probability properly and  you will be able to answer exam questions correctly.
  • Latest Exam Pattern: All questions are aligned as per the latest CBSE sample papers and marking schemes.
  • Huge Variety of Questions: These Chapter 13 Probability sets include Case Studies, objective questions, and various descriptive problems with answers.
  • Time Management: Solving these Chapter 13 Probability test papers daily will improve your speed and accuracy.

How to solve Mathematics Chapter 13 Probability Assignments effectively?

  1. Read the Chapter First: Start with the NCERT book for Class 12 Mathematics before attempting the assignment.
  2. Self-Assessment: Try solving the Chapter 13 Probability questions by yourself and then check the solutions provided by us.
  3. Use Supporting Material: Refer to our Revision Notes and Class 12 worksheets if you get stuck on any topic.
  4. Track Mistakes: Maintain a notebook for tricky concepts and revise them using our online MCQ tests.

Best Practices for Class 12 Mathematics Preparation

For the best results, solve one assignment for Chapter 13 Probability on daily basis. Using a timer while practicing will further improve your problem-solving skills and prepare you for the actual CBSE exam.

Where can I download the latest CBSE Class 12 Mathematics Chapter Chapter 13 Probability assignments?

You can download free PDF assignments for Class 12 Mathematics Chapter Chapter 13 Probability from StudiesToday.com. These practice sheets have been updated for the 2026-27 session covering all concepts from latest NCERT textbook.

Do these Mathematics Chapter Chapter 13 Probability assignments include solved questions?

Yes, our teachers have given solutions for all questions in the Class 12 Mathematics Chapter Chapter 13 Probability assignments. This will help you to understand step-by-step methodology to get full marks in school tests and exams.

Are the assignments for Class 12 Mathematics Chapter Chapter 13 Probability based on the 2026 exam pattern?

Yes. These assignments are designed as per the latest CBSE syllabus for 2026. We have included huge variety of question formats such as MCQs, Case-study based questions and important diagram-based problems found in Chapter Chapter 13 Probability.

How can practicing Chapter Chapter 13 Probability assignments help in Mathematics preparation?

Practicing topicw wise assignments will help Class 12 students understand every sub-topic of Chapter Chapter 13 Probability. Daily practice will improve speed, accuracy and answering competency-based questions.

Can I download Mathematics Chapter Chapter 13 Probability assignments for free on mobile?

Yes, all printable assignments for Class 12 Mathematics Chapter Chapter 13 Probability are available for free download in mobile-friendly PDF format.