CBSE Class 10 Mathematics Quadratic Equations Assignment Set 19

Read and download the CBSE Class 10 Mathematics Quadratic Equations Assignment Set 19 for the 2026-27 academic session. We have provided comprehensive Class 10 Mathematics school assignments that have important solved questions and answers for Chapter 4 Quadratic Equations. These resources have been carefuly prepared by expert teachers as per the latest NCERT, CBSE, and KVS syllabus guidelines.

Solved Assignment for Class 10 Mathematics Chapter 4 Quadratic Equations

Practicing these Class 10 Mathematics problems daily is must to improve your conceptual understanding and score better marks in school examinations. These printable assignments are a perfect assessment tool for Chapter 4 Quadratic Equations, covering both basic and advanced level questions to help you get more marks in exams.

Chapter 4 Quadratic Equations Class 10 Solved Questions and Answers

 

 
 
CBSE Class 10 Mathematics Quadratic Equations Assignment Set S
 
 
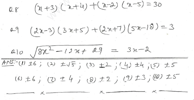
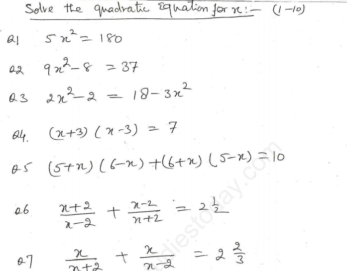
 quadratic_equations2
 
 
 
 
Please click the link below to download CBSE Class 10 Mathematics Quadratic Equations Assignment Set S

CBSE Class 10 Mathematics Chapter 4 Quadratic Equations Assignment

Access the latest Chapter 4 Quadratic Equations assignments designed as per the current CBSE syllabus for Class 10. We have included all question types, including MCQs, short answer questions, and long-form problems relating to Chapter 4 Quadratic Equations. You can easily download these assignments in PDF format for free. Our expert teachers have carefully looked at previous year exam patterns and have made sure that these questions help you prepare properly for your upcoming school tests.

Benefits of solving Assignments for Chapter 4 Quadratic Equations

Practicing these Class 10 Mathematics assignments has many advantages for you:

  • Better Exam Scores: Regular practice will help you to understand Chapter 4 Quadratic Equations properly and  you will be able to answer exam questions correctly.
  • Latest Exam Pattern: All questions are aligned as per the latest CBSE sample papers and marking schemes.
  • Huge Variety of Questions: These Chapter 4 Quadratic Equations sets include Case Studies, objective questions, and various descriptive problems with answers.
  • Time Management: Solving these Chapter 4 Quadratic Equations test papers daily will improve your speed and accuracy.

How to solve Mathematics Chapter 4 Quadratic Equations Assignments effectively?

  1. Read the Chapter First: Start with the NCERT book for Class 10 Mathematics before attempting the assignment.
  2. Self-Assessment: Try solving the Chapter 4 Quadratic Equations questions by yourself and then check the solutions provided by us.
  3. Use Supporting Material: Refer to our Revision Notes and Class 10 worksheets if you get stuck on any topic.
  4. Track Mistakes: Maintain a notebook for tricky concepts and revise them using our online MCQ tests.

Best Practices for Class 10 Mathematics Preparation

For the best results, solve one assignment for Chapter 4 Quadratic Equations on daily basis. Using a timer while practicing will further improve your problem-solving skills and prepare you for the actual CBSE exam.

Where can I download the latest CBSE Class 10 Mathematics Chapter Chapter 4 Quadratic Equations assignments?

You can download free PDF assignments for Class 10 Mathematics Chapter Chapter 4 Quadratic Equations from StudiesToday.com. These practice sheets have been updated for the 2026-27 session covering all concepts from latest NCERT textbook.

Do these Mathematics Chapter Chapter 4 Quadratic Equations assignments include solved questions?

Yes, our teachers have given solutions for all questions in the Class 10 Mathematics Chapter Chapter 4 Quadratic Equations assignments. This will help you to understand step-by-step methodology to get full marks in school tests and exams.

Are the assignments for Class 10 Mathematics Chapter Chapter 4 Quadratic Equations based on the 2026 exam pattern?

Yes. These assignments are designed as per the latest CBSE syllabus for 2026. We have included huge variety of question formats such as MCQs, Case-study based questions and important diagram-based problems found in Chapter Chapter 4 Quadratic Equations.

How can practicing Chapter Chapter 4 Quadratic Equations assignments help in Mathematics preparation?

Practicing topicw wise assignments will help Class 10 students understand every sub-topic of Chapter Chapter 4 Quadratic Equations. Daily practice will improve speed, accuracy and answering competency-based questions.

Can I download Mathematics Chapter Chapter 4 Quadratic Equations assignments for free on mobile?

Yes, all printable assignments for Class 10 Mathematics Chapter Chapter 4 Quadratic Equations are available for free download in mobile-friendly PDF format.