CBSE Class 12 Mathematics Relations And Functions Assignment Set 04

Read and download the CBSE Class 12 Mathematics Relations And Functions Assignment Set 04 for the 2026-27 academic session. We have provided comprehensive Class 12 Mathematics school assignments that have important solved questions and answers for Chapter 1 Relations And Functions. These resources have been carefuly prepared by expert teachers as per the latest NCERT, CBSE, and KVS syllabus guidelines.

Solved Assignment for Class 12 Mathematics Chapter 1 Relations And Functions

Practicing these Class 12 Mathematics problems daily is must to improve your conceptual understanding and score better marks in school examinations. These printable assignments are a perfect assessment tool for Chapter 1 Relations And Functions, covering both basic and advanced level questions to help you get more marks in exams.

Chapter 1 Relations And Functions Class 12 Solved Questions and Answers

Question. Let f : (0,1) → R be defined by f(x) = b - x / 1 - bx , where b is a constant such that 0 < b <1.Then:
a. f is not invertible on (0, 1)
b. f ≠ f−1 one (0, 1) and f'(b) = 1/f '(0)
c. f = f−1 on (0, 1) and 1/f '(0)
d. f−1 − is differentiable on 1/(0, 1)
Answer : A

Question. For every integer n, let n a and n b be real numbers. Let function f : R→ R be given by

""CBSE-Class-12-Mathematics-Relations-And-Functions-Assignment-Set-D-4

If f is continuous, then which of the following hold(s) for all n?
a. an−1 − bn−1 = 0
b. an −bn = 1
c. an - bn+1 = 1
d. an−1 bn = − 1
Answer : B, D

Question. For every pair of continuous function f , g : [0,1]→ R such that max { f (x) : x∈[0,1]} = max{g(x) : x∈[0,1]}. The correct statement: (s) is (are)
a. [ f (c)]]2 + 3 f (c) = [g(c)]2 + 3g(c) for some c ∈ [0,1]
b. [ f (c)]]2 + f (c) = [g(c)]2 + 3g(c) for some c ∈ [0,1]
c. [ f (c])2 + 3 f (c) = [g(c)]+ g(c) for some c ∈ [0,1]
d. [ f (c)]2 = [g(c)]2 for some c ∈ [0,1]
Answer : A, D

Question. Let : ( - π/2, π/2) be given byf(x)=[log(sec x+tan x)]3.
Then:

a. f(x) is an odd function
b. f(x) is a one-one function
c. f(x) is an onto function
d. f(x) is an even function
Answer : A, B, C

Question. Let L be the set of all straight lines in the Euclidean plane.
Two lines l1 and l2 are said to be related by the relation R if l1 is parallel to l2. Then the relation R is:

a. Reflexive
c. Symmetric
b. Transitive
d. Equivalence
Answer : ALL

Assertion and Reason

Note: Read the Assertion (A) and Reason (R) carefully to mark the correct option out of the options given below:
a. If both assertion and reason are true and the reason is the correct explanation of the assertion.
b. If both assertion and reason are true but reason is not the correct explanation of the assertion.
c. If assertion is true but reason is false.
d. If the assertion and reason both are false.
e. If assertion is false but reason is true.

Question. Let F(x) be an indefinite integral of sin2 x: 
Assertion: The function F(x) satisfies F(x + π) = F (x) for all real x.
Reason: sin2 (x + π) = sin2 x for all real x.

Answer : D

Question. Let f(x) = 2 + cos x for all real x:
Assertion: For each real t, there exists a point c in [t,t +π] such that f’(c) = 0.
Reason: f’(t) = f (t + 2π) for each real t.

Answer : B

Question. Assertion: The curve y = - x2/2 + x + 1 is symmetric with respect to the line x = 1.
Reason: A parabola is symmetric about its axis.

Answer : A

Question. Consider the following relations. R = {(x,y)| x,y}are real numbers and  x= xy for some rational number w} S = {(m/n. p/q)}m,n,p,q are integer such that n.q ≠ 0 and qm = pn}
Assertion: S is an equivalence relation but R is not an equivalence relation.
Reason: R and S both are symmetric.

Answer : C

Question. Let R be a relation on the set N of natural numbers defined by n Rm ⇔ n is a factor of m (i.e., n | m) :
Assertion: R is not an equivalence relation
Reason: R is not symmetric

Answer : A

Question. Let A = {1,2,3}and B = {3,8}?
Assertion: (A ∪ B) × (A∩B) = {(1,3), (2,3), (3,3)(8,3)}
Reason: (A × B) ∩ (B × A) = {(3,3)}

Answer : B

Question. Assertion: f:R→R is a function defined by f (x) = 5x + 3. If 1, g = f−1, then g(x) = x - 3 / 5
Reason: If f : A→B is a bijection and g : B → A is the inverse of f, then fog is the identity function on A.

Answer : C

Question. Let X and Y be two sets:
Assertion: X ∩ (Y ∩ X ) ' = φ
Reason: If X∪Y has m elements and X ∩ Y has n elements then symmetric difference X Y has m − n elements

Answer : B

Question. Let f be a function defined by f(x) = (x −1)2 + 1, (x ≥ 1)
Assertion: The set 1 {x : f (x) = f-1 (x)} = {1,2}
Reason: f is a bijection and f-1(x) = 1 + √x - 1,  x ≥ 1

Answer : A

Question. Consider the following relation R on the set of real square matrices of order 3. R {(A,B) : A = P-1 BP for some invertible matrix P}
Assertion: R is an equivalence relation.
Reason: For any two invertible 3 × 3 matrices M and N

Answer : B

Question. Let f(x) = sin x + cos x, g(x) = sin x / 1 - cos x ?
Assertion: f is neither an odd function nor an even function.
Reason: g is an odd function.

Answer : B

Question. Assertion: A function f:R→R satisfied the equation f (x) – f(y) = x – y ∀ x, y ∈ R and f(3) = 2, then f(xy) = xy − 1
Reason: f (x) = f (1/ x) ∀ x ∈ R, x ≠ 0, and f(2) = 7/3 if

f(x) = x+ x + 1 / x2 - x + 1
Answer : B

Question. Assertion: Let A{2, 3, 7, 9}and B = {4, 9, 49, 81} f:A → B is a function defined as f(x) = x2. Then is a bijection from A to B.
Reason: A function f from a set A to a set B is a bijection if f(A) = B and f(x1) ≠ f(x2) if x1 ≠ x2 for all x1, x2 ∈A and n(A) = n(B).

Answer : A

Comprehension Based

Paragraph-I

Let f be a function satisfying f(x) = ax / ax + √a = ga (x) (a > 0)

Question. Let f(x) = g9(x), then the value of

""CBSE-Class-12-Mathematics-Relations-And-Functions-Assignment-Set-D-1

is: (where [.] denotes the greatest integer function)
a. 995
b. 996
c. 997
d. 998
Answer : C

Question. Let 4 f (x) = g (x), then

""CBSE-Class-12-Mathematics-Relations-And-Functions-Assignment-Set-D-2

a. zero
b. even
c. odd
d. none of these
Answer : B

Question. The value of g5 (x) + g5 (1–x) is:
a. 1
b. 5
c. 10
d. none of these
Answer : A

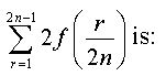
Question. The value of

""CBSE-Class-12-Mathematics-Relations-And-Functions-Assignment-Set-D-3

a. 0
b. 2n–1
c. 2n
d. none of these
Answer : B

Paragraph-II

Let F(x) = f (x) + g(x),G(x) = f (x) − g(x) and H (x) = f(x)/g)(x),
where f(x) = 1 − 2sin2 x and g(x) = cos 2x, ∀f : R → [−1,1] and g : R →[−1,1].

Question. Domain and range of H (x) are respectively:
a. R and {1}
b. R and {0, 1}
c. R ∼ {(2n + 1)π/4},and{1} n ∈  I
d. R  ∼ {(2n + 1)π/2}, and {0,1},
Answer : C

Question. If F: R → [–2, 2], then:
a. F (x) is one – one function
b. F (x) is onto function
c. F (x) is into function
d. none of the above
Answer : D

Question. Which statement is correct?
a. period of f(x), g(x) and F(x) makes are AP with common difference π/3
b. period of f(x), g(x) and F(x) are same and is equal to 2π
c. sum of periods of f(x), g(x) and F(x) is 3π
d. sum of periods of f(x), g(x) and F(x) is 6π
Answer : C

Question. Which statement is correct?
a. the domain of G(x) and H(x) are same
b. the rang of G(x) and H(x) are same
c. the union of domain of G(x) and H(x) are all real
d. the union of domain of G(x) and H(x) are rational numbers
Answer : C

Question. If the solutions of F (x) – G (x) = 0 are x1, x2, x,…xn where x∈ [0, 5π], then:
a. x1, x2, x3, …xn are in AP with common difference π/4
b. the number of solution of F (x) – G (x) = 0 is 10, ∀ x ∈ [0, 5π].
c. the sum of all solutions of F(x) −G(x) = 0,∀ x ∈ [0,5π ] is 25π
d. (b) and (c) are correct
Answer : D

Match the Column

Question. Let the functions defined in Column I have domain (–π/2, π/2) and range (–∞,∞)?
    Column I             Column II
(A) 1 + 2x          1. onto but not one-one
(B) tan x            2. one-one but not onto
                          3. one-one and onto
                          4. neither one-one nor onto
a. A→ 2; B→ 3
b. A→ 2; B→ 4
c. A→ 1; B→ 3
d. A→ 4; B→ 1
Answer : A

Question. Let f(x) = x2 - 6x + 5 / x2 - 5x + 6 ?
              Column I                                 Column II

(A) If –1< x <1, then f(x) satisfies        1. 0 < f (x) < 1
(B) If 1 < x < 2, then f(x) satisfies        2. f (x) < 0
(C) If 3 < x < 5, then f(x) satisfies        3. f (x) > 0
(D) If x > 5, then f(x) satisfies              4. f (x) < 1
a. A→3; B→1; C→2; D→2
b.A→1; B→2; C→2; D→1
c. A→1; B→3; C→2; D→4
d. A→4; B→1; C→3; D→2
Answer : B

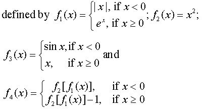
Question. Let f1 : R→R, f2 :[0,∞] → R, f3 : R → Rand f4 : R → [0,∞) be

""CBSE-Class-12-Mathematics-Relations-And-Functions-Assignment-Set-D

     Column I                      Column II
(A) f4 is               1. onto but not one-one
(B) f3 is               2. neither continuous nor one-one
(C) f2 o f1 is        3. differentiable but not one-one
(D) f2 is               4. continuous and one-one
a. A→3; B→1; C→4; D→2
b. A→1; B→3; C→4; D→2
c. A→3; B→1; C→2; D→4
d. A→1; B→3; C→2; D→4
Answer : D

 

CBSE Class 12 Mathematics Relations And Functions Assignment Set B

 

 

 

Please click the below link to access CBSE Class 12 Mathematics Relations And Functions Assignment Set D

Chapter 01 Relations and Functions
CBSE Class 12 Mathematics Relations And Functions Class Test Set 18
CBSE Class 12 Mathematics Relations And Functions Class Test Set 17
CBSE Class 12 Mathematics Relations And Functions Class Test Set 16
CBSE Class 12 Mathematics Relations And Functions Class Test Set 15
CBSE Class 12 Mathematics Relations And Functions Class Test Set 14
CBSE Class 12 Mathematics Relations And Functions Class Test Set 13
CBSE Class 12 Mathematics Relations And Functions Class Test Set 12
CBSE Class 12 Mathematics Relations And Functions Class Test Set 11
CBSE Class 12 Mathematics Relations And Functions Class Test Set 10
CBSE Class 12 Mathematics Relations And Functions Class Test Set 09
CBSE Class 12 Mathematics Relations And Functions Class Test Set 08
CBSE Class 12 Mathematics Relations And Functions Class Test Set 07
CBSE Class 12 Mathematics Relations And Functions Class Test Set 06
CBSE Class 12 Mathematics Relations And Functions Class Test Set 05
CBSE Class 12 Mathematics Relations And Functions Class Test Set 04
CBSE Class 12 Mathematics Relations And Functions Class Test Set 03
CBSE Class 12 Mathematics Relations And Functions Class Test Set 02
CBSE Class 12 Mathematics Relations And Functions Class Test Set 01
CBSE Class 12 Mathematics Relations And Functions Assignment Set 20
CBSE Class 12 Mathematics Relations And Functions Assignment Set 19
CBSE Class 12 Mathematics Relations And Functions Assignment Set 18
CBSE Class 12 Mathematics Relations And Functions Assignment Set 17
CBSE Class 12 Mathematics Relations And Functions Assignment Set 16
CBSE Class 12 Mathematics Relations And Functions Assignment Set 15
CBSE Class 12 Mathematics Relations And Functions Assignment Set 14
CBSE Class 12 Mathematics Relations And Functions Assignment Set 13
CBSE Class 12 Mathematics Relations And Functions Assignment Set 12
CBSE Class 12 Mathematics Relations And Functions Assignment Set 11
CBSE Class 12 Mathematics Relations And Functions Assignment Set 10
CBSE Class 12 Mathematics Relations And Functions Assignment Set 09
CBSE Class 12 Mathematics Relations And Functions Assignment Set 08
CBSE Class 12 Mathematics Relations And Functions Assignment Set 07
CBSE Class 12 Mathematics Relations And Functions Assignment Set 06
CBSE Class 12 Mathematics Relations And Functions Assignment Set 05
CBSE Class 12 Mathematics Relations And Functions Assignment Set 04
CBSE Class 12 Mathematics Relations And Functions Assignment Set 03
CBSE Class 12 Mathematics Relations And Functions Assignment Set 02
CBSE Class 12 Mathematics Relations And Functions Assignment Set 01

CBSE Class 12 Mathematics Chapter 1 Relations And Functions Assignment

Access the latest Chapter 1 Relations And Functions assignments designed as per the current CBSE syllabus for Class 12. We have included all question types, including MCQs, short answer questions, and long-form problems relating to Chapter 1 Relations And Functions. You can easily download these assignments in PDF format for free. Our expert teachers have carefully looked at previous year exam patterns and have made sure that these questions help you prepare properly for your upcoming school tests.

Benefits of solving Assignments for Chapter 1 Relations And Functions

Practicing these Class 12 Mathematics assignments has many advantages for you:

  • Better Exam Scores: Regular practice will help you to understand Chapter 1 Relations And Functions properly and  you will be able to answer exam questions correctly.
  • Latest Exam Pattern: All questions are aligned as per the latest CBSE sample papers and marking schemes.
  • Huge Variety of Questions: These Chapter 1 Relations And Functions sets include Case Studies, objective questions, and various descriptive problems with answers.
  • Time Management: Solving these Chapter 1 Relations And Functions test papers daily will improve your speed and accuracy.

How to solve Mathematics Chapter 1 Relations And Functions Assignments effectively?

  1. Read the Chapter First: Start with the NCERT book for Class 12 Mathematics before attempting the assignment.
  2. Self-Assessment: Try solving the Chapter 1 Relations And Functions questions by yourself and then check the solutions provided by us.
  3. Use Supporting Material: Refer to our Revision Notes and Class 12 worksheets if you get stuck on any topic.
  4. Track Mistakes: Maintain a notebook for tricky concepts and revise them using our online MCQ tests.

Best Practices for Class 12 Mathematics Preparation

For the best results, solve one assignment for Chapter 1 Relations And Functions on daily basis. Using a timer while practicing will further improve your problem-solving skills and prepare you for the actual CBSE exam.

Where can I download the latest CBSE Class 12 Mathematics Chapter Chapter 1 Relations And Functions assignments?

You can download free PDF assignments for Class 12 Mathematics Chapter Chapter 1 Relations And Functions from StudiesToday.com. These practice sheets have been updated for the 2026-27 session covering all concepts from latest NCERT textbook.

Do these Mathematics Chapter Chapter 1 Relations And Functions assignments include solved questions?

Yes, our teachers have given solutions for all questions in the Class 12 Mathematics Chapter Chapter 1 Relations And Functions assignments. This will help you to understand step-by-step methodology to get full marks in school tests and exams.

Are the assignments for Class 12 Mathematics Chapter Chapter 1 Relations And Functions based on the 2026 exam pattern?

Yes. These assignments are designed as per the latest CBSE syllabus for 2026. We have included huge variety of question formats such as MCQs, Case-study based questions and important diagram-based problems found in Chapter Chapter 1 Relations And Functions.

How can practicing Chapter Chapter 1 Relations And Functions assignments help in Mathematics preparation?

Practicing topicw wise assignments will help Class 12 students understand every sub-topic of Chapter Chapter 1 Relations And Functions. Daily practice will improve speed, accuracy and answering competency-based questions.

Can I download Mathematics Chapter Chapter 1 Relations And Functions assignments for free on mobile?

Yes, all printable assignments for Class 12 Mathematics Chapter Chapter 1 Relations And Functions are available for free download in mobile-friendly PDF format.