CBSE Class 12 Mathematics Relations And Functions Assignment Set 16

Read and download the CBSE Class 12 Mathematics Relations And Functions Assignment Set 16 for the 2026-27 academic session. We have provided comprehensive Class 12 Mathematics school assignments that have important solved questions and answers for Chapter 1 Relations And Functions. These resources have been carefuly prepared by expert teachers as per the latest NCERT, CBSE, and KVS syllabus guidelines.

Solved Assignment for Class 12 Mathematics Chapter 1 Relations And Functions

Practicing these Class 12 Mathematics problems daily is must to improve your conceptual understanding and score better marks in school examinations. These printable assignments are a perfect assessment tool for Chapter 1 Relations And Functions, covering both basic and advanced level questions to help you get more marks in exams.

Chapter 1 Relations And Functions Class 12 Solved Questions and Answers

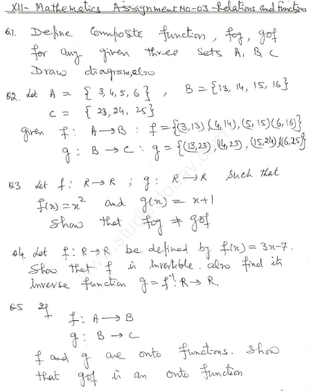
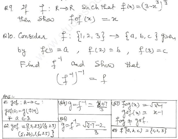
relations_and_functions3_0

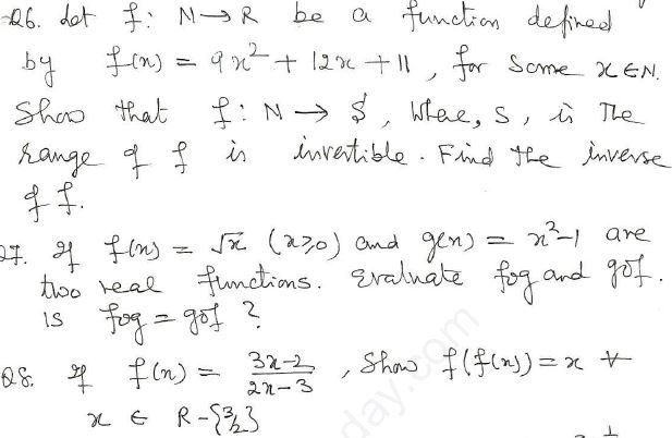
""CBSE-Class-12-Mathematics-Relations-And-Functions

""CBSE-Class-12-Mathematics-Relations-And-Functions-1

Click on link below to download CBSE Class 12 Mathematics Relations And Functions Assignment Set P

Chapter 01 Relations and Functions
CBSE Class 12 Mathematics Relations And Functions Class Test Set 18
CBSE Class 12 Mathematics Relations And Functions Class Test Set 17
CBSE Class 12 Mathematics Relations And Functions Class Test Set 16
CBSE Class 12 Mathematics Relations And Functions Class Test Set 15
CBSE Class 12 Mathematics Relations And Functions Class Test Set 14
CBSE Class 12 Mathematics Relations And Functions Class Test Set 13
CBSE Class 12 Mathematics Relations And Functions Class Test Set 12
CBSE Class 12 Mathematics Relations And Functions Class Test Set 11
CBSE Class 12 Mathematics Relations And Functions Class Test Set 10
CBSE Class 12 Mathematics Relations And Functions Class Test Set 09
CBSE Class 12 Mathematics Relations And Functions Class Test Set 08
CBSE Class 12 Mathematics Relations And Functions Class Test Set 07
CBSE Class 12 Mathematics Relations And Functions Class Test Set 06
CBSE Class 12 Mathematics Relations And Functions Class Test Set 05
CBSE Class 12 Mathematics Relations And Functions Class Test Set 04
CBSE Class 12 Mathematics Relations And Functions Class Test Set 03
CBSE Class 12 Mathematics Relations And Functions Class Test Set 02
CBSE Class 12 Mathematics Relations And Functions Class Test Set 01
CBSE Class 12 Mathematics Relations And Functions Assignment Set 20
CBSE Class 12 Mathematics Relations And Functions Assignment Set 19
CBSE Class 12 Mathematics Relations And Functions Assignment Set 18
CBSE Class 12 Mathematics Relations And Functions Assignment Set 17
CBSE Class 12 Mathematics Relations And Functions Assignment Set 16
CBSE Class 12 Mathematics Relations And Functions Assignment Set 15
CBSE Class 12 Mathematics Relations And Functions Assignment Set 14
CBSE Class 12 Mathematics Relations And Functions Assignment Set 13
CBSE Class 12 Mathematics Relations And Functions Assignment Set 12
CBSE Class 12 Mathematics Relations And Functions Assignment Set 11
CBSE Class 12 Mathematics Relations And Functions Assignment Set 10
CBSE Class 12 Mathematics Relations And Functions Assignment Set 09
CBSE Class 12 Mathematics Relations And Functions Assignment Set 08
CBSE Class 12 Mathematics Relations And Functions Assignment Set 07
CBSE Class 12 Mathematics Relations And Functions Assignment Set 06
CBSE Class 12 Mathematics Relations And Functions Assignment Set 05
CBSE Class 12 Mathematics Relations And Functions Assignment Set 04
CBSE Class 12 Mathematics Relations And Functions Assignment Set 03
CBSE Class 12 Mathematics Relations And Functions Assignment Set 02
CBSE Class 12 Mathematics Relations And Functions Assignment Set 01

CBSE Class 12 Mathematics Chapter 1 Relations And Functions Assignment

Access the latest Chapter 1 Relations And Functions assignments designed as per the current CBSE syllabus for Class 12. We have included all question types, including MCQs, short answer questions, and long-form problems relating to Chapter 1 Relations And Functions. You can easily download these assignments in PDF format for free. Our expert teachers have carefully looked at previous year exam patterns and have made sure that these questions help you prepare properly for your upcoming school tests.

Benefits of solving Assignments for Chapter 1 Relations And Functions

Practicing these Class 12 Mathematics assignments has many advantages for you:

  • Better Exam Scores: Regular practice will help you to understand Chapter 1 Relations And Functions properly and  you will be able to answer exam questions correctly.
  • Latest Exam Pattern: All questions are aligned as per the latest CBSE sample papers and marking schemes.
  • Huge Variety of Questions: These Chapter 1 Relations And Functions sets include Case Studies, objective questions, and various descriptive problems with answers.
  • Time Management: Solving these Chapter 1 Relations And Functions test papers daily will improve your speed and accuracy.

How to solve Mathematics Chapter 1 Relations And Functions Assignments effectively?

  1. Read the Chapter First: Start with the NCERT book for Class 12 Mathematics before attempting the assignment.
  2. Self-Assessment: Try solving the Chapter 1 Relations And Functions questions by yourself and then check the solutions provided by us.
  3. Use Supporting Material: Refer to our Revision Notes and Class 12 worksheets if you get stuck on any topic.
  4. Track Mistakes: Maintain a notebook for tricky concepts and revise them using our online MCQ tests.

Best Practices for Class 12 Mathematics Preparation

For the best results, solve one assignment for Chapter 1 Relations And Functions on daily basis. Using a timer while practicing will further improve your problem-solving skills and prepare you for the actual CBSE exam.

Where can I download the latest CBSE Class 12 Mathematics Chapter Chapter 1 Relations And Functions assignments?

You can download free PDF assignments for Class 12 Mathematics Chapter Chapter 1 Relations And Functions from StudiesToday.com. These practice sheets have been updated for the 2026-27 session covering all concepts from latest NCERT textbook.

Do these Mathematics Chapter Chapter 1 Relations And Functions assignments include solved questions?

Yes, our teachers have given solutions for all questions in the Class 12 Mathematics Chapter Chapter 1 Relations And Functions assignments. This will help you to understand step-by-step methodology to get full marks in school tests and exams.

Are the assignments for Class 12 Mathematics Chapter Chapter 1 Relations And Functions based on the 2026 exam pattern?

Yes. These assignments are designed as per the latest CBSE syllabus for 2026. We have included huge variety of question formats such as MCQs, Case-study based questions and important diagram-based problems found in Chapter Chapter 1 Relations And Functions.

How can practicing Chapter Chapter 1 Relations And Functions assignments help in Mathematics preparation?

Practicing topicw wise assignments will help Class 12 students understand every sub-topic of Chapter Chapter 1 Relations And Functions. Daily practice will improve speed, accuracy and answering competency-based questions.

Can I download Mathematics Chapter Chapter 1 Relations And Functions assignments for free on mobile?

Yes, all printable assignments for Class 12 Mathematics Chapter Chapter 1 Relations And Functions are available for free download in mobile-friendly PDF format.