CBSE Class 11 Chemistry Structure Of Atom Notes Set 02

Download the latest CBSE Class 11 Chemistry Structure Of Atom Notes Set 02 in PDF format. These Class 11 Chemistry revision notes are carefully designed by expert teachers to align with the 2026-27 syllabus. These notes are great daily learning and last minute exam preparation and they simplify complex topics and highlight important definitions for Class 11 students.

Revision Notes for Class 11 Chemistry Chapter 2 Structure of Atom

To secure a higher rank, students should use these Class 11 Chemistry Chapter 2 Structure of Atom notes for quick learning of important concepts. These exam-oriented summaries focus on difficult topics and high-weightage sections helpful in school tests and final examinations.

Chapter 2 Structure of Atom Revision Notes for Class 11 Chemistry

CBSE Class 11 Chemistry Notes - Structure of Atom. Learning the important concepts is very important for every student to get better marks in examinations. The concepts should be clear which will help in faster learning. The attached concepts made as per NCERT and CBSE pattern will help the student to understand the chapter and score better marks in the examinations.

Points To Remember

Top Concepts

1. Atomic theory of matter was proposed by John Dalton

2. Electrons were discovered by Michael Faraday.

3. Electrons were discovered using cathode ray discharge tube experiment.

4. Cathode ray discharge tube experiment: A cathode ray discharge tubemade of glass is taken with two electrodes. At very low pressure and high voltage, current starts flowing through a stream of particles moving in the tube from cathode to anode. These rays were called cathode rays. When a perforated anode was taken, the cathode rays struck the other end of the glass tube at the fluorescent coating and a bright spot on the coating was developed

Results:

a. Cathode rays consist of negatively charged electrons.

b. Cathode rays themselves are not visible but their behavior can beobserved with help of fluorescent or phosphorescent materials.

c. In absence of electrical or magnetic field cathode rays travel instraight lines

d. In presence of electrical or magnetic field, behaviour of cathode raysis similar to that shown by electrons

e. The characteristics of the cathode rays do not depend upon thematerial of the electrodes and the nature of the gas present in the cathode ray tube.

5. Charge to mass ratio of an electron was determined by Thomson. Thecharge to mass ratio of an electron as 1.758820 x 1011 C kg-1

6. Charge on an electron was determined by R A Millikan by using an oil dropexperiment. The value of the charge on an electron is -1.6 x 10-19 C.

7. The mass on an electron was determined by combining the results ofThomson’s experiment and Millikan’s oil drop experiment. The mass of an electron was determined to be 9.1094 x 10-31 kg.

8. Discovery of protons and canal rays: Modified cathode ray tube experimentwas carried out which led to the discovery of protons. 

9. Canal rays are positively charged particles called protons

10.Characteristics of positively charged particles:

a. Charge to mass ratio of particles depends on gas from which these originate

b. The positively charged particles depend upon the nature of gas present in the cathode ray discharge tube

c. Some of the positively charged particles carry a multiple of fundamental of electrical charge.

d. Behaviour of positively charged particles in electrical or magnetic field is opposite to that observed for cathode rays

11.Neutrons were discovered by James Chadwick by bombarding a thin sheet of beryllium by  - particles. They are electrically neutral particles having a mass slightly greater than that of the protons.

12.Thomson model of an atom: This model proposed that atom is considered as a uniform positively charged sphere and electrons are embedded in it.

13. An important feature of Thomson model of an atom was that mass of atom is considered to be evenly spread over the atom.

14.Thomson model of atom is also called as Plum pudding, raisin pudding or watermelon model

15.Thomson model of atom was discarded because it could not explain certain experimental results like the scattering of α - particles by thin metal foils

16.Observations from α - particles scattering experiment by Rutherford:

a. Most of the α - particles (nearly 99 %) passed through gold foil undeflected

b. A small fraction of α - particles got deflected through small angles

c. Very few α- particles did not pass through foil but suffered large deflection nearly 180o

17.Observations Rutherford drew from α- particles scattering experiment:

a. Since most of the α-particles passed through foil undeflected, it means most of the space in atom is empty

b. Since some of the α-particles are deflected to certain angles, it means that there is positively mass present in atom

c. Since only some of the α-particles suffered large deflections, the positively charged mass must be occupying very small space.

d. Strong deflections or even bouncing back of α-particles from metal foilwere due to direct collision with positively charged mass in atom.

18.Rutherford’s model of atom: This model explained that atom consists ofnucleus which is concentrated in a very small volume. The nucleus comprises of protons and neutrons. The electrons revolve around the nucleus in fixed orbits. Electrons and nucleus are held together by electrostatic forces of attraction.

19.Drawbacks of Rutherford’s model of atom:
a. According to Rutherford’s model of atom, electrons which are negativelycharged particles revolve around the nucleus in fixed orbits. Thus, the electrons undergo acceleration. According to electromagnetic theory of Maxwell, a charged particle undergoing acceleration should emit electromagnetic radiation. Thus, an electron in an orbit should emit radiation. Thus, the orbit should shrink. But this does not happen.
b. The model does not give any information about how electrons aredistributed around nucleus and what are energies of these electrons

20. Atomic number (Z): It is equal to the number of protons in an atom. It isalso equal to the number of electrons in a neutral atom.

21.Mass number (A): It is equal to the sum of protons and neutrons.

22.Isotopes: These are the atoms of the same element having the sameatomic number but different mass number.

23. Isobars: Isobars are the atoms of different elements having the samemass number but different atomic number.

24. Isoelectronic species: These are those species which have the samenumber of electrons.

25.Electromagnetic radiations: The radiations which are associated withelectrical and magnetic fields are called electromagnetic radiations. When an electrically charged particle moves under acceleration, alternating electrical and magnetic fields are produced and transmitted. These fields are transmitted in the form of waves. These waves are called electromagnetic waves or electromagnetic radiations.

26.Properties of electromagnetic radiations:

27.Characteristics of electromagnetic radiations :
a. Wavelength: It may be defined as the distance between two neighbouring crests or troughs of wave as shown. It is denoted byλ.
b. Frequency (v): It may be defined as the number of waves which pass through a particular point in one second.
c. Velocity (v): It is defined as the distance travelled by a wave in one second. In vacuum all types of electromagnetic radiations travel with the same velocity. Its value is 3 X108 m sec-1. It is denoted by v
d. Wave number: Wave number (v) is defined as the number of wavelengths per unit length.

28.Relationship between velocity, frequency and wavelength
Velocity = frequency x wavelength
c = vλ

29.Black body: An ideal body, which emits and absorbs all frequencies, is called a black body. The radiation emitted by such a body is called black body radiation.

30.Planck’s quantum theory: Max Planck suggested that atoms and molecules could emit or absorb energy only in discrete quantities and not in a continuous manner. Planck gave the name quantum, meaning ‘fixed amount’ to the smallest quantity of energy that can be emitted or absorbed in the form of electromagnetic radiation.
Structure of Atom 1

Where:

E is the energy of a single quantum
v is the frequency of the radiation
h is Planck’s constant
h= 6.626 X 10–34 Js

31.Quantisation of energy: Energy is always emitted or absorbed as integral multiple of this quantum.

E = nhv
Where n = 1,2,3,4,.....

32. Photoelectric effect: The phenomenon of ejection of electrons from the surface of metal when light of suitable frequency strikes it is called photoelectric effect. The ejected electrons are called photoelectrons.

33. Experimental results observed for the experiment of Photoelectric effect observed Hertz:
a. When beam of light falls on a metal surface electrons are ejected immediately i.e. there is not time lag between light striking metal surface and ejection of electrons
b. Number of electrons ejected is proportional to intensity or brightness of light
c. Threshold frequency ( vo ): For each metal there is a characteristic minimum frequency below which photoelectric effect is not observed. This is called threshold frequency.
d. If frequency of light is less than the threshold frequency there is no ejection of electrons no matter how long it falls on surface or how high is its intensity.

34.Photoelectric work function (Wo): The minimum energy required to eject electrons is called photoelectric work function.
W= hvo

35.Energy of the ejected electrons :
h(v-vo ) =1/2 me v2

36.When a white light is passed through a prism, it splits into a series of coloured bands known as spectrum.

37.Spectrum is of two types: continuous and line spectrum
a. The spectrum which consists of all the wavelengths is called continuous spectrum.
b. A spectrum in which only specific wavelengths are present is known as a line spectrum. It has bright lines with dark spaces between them.

38.Electromagnetic spectrum is a continuous spectrum. It consists of a range of electromagnetic radiations arranged in the order of increasing wavelengths or decreasing frequencies. It extends from radio waves to gamma rays.

39. Spectrum is also classified as emission and line spectrum.
c. Emission spectrum: A substance absorbs energy and moves to a higherenergy state. The atoms, molecules or ions that have absorbed radiation are said to be excited. Since the higher energy state is unstable they return to the more stable energy state by emitting the absorbed radiation in various regions of electromagnetic spectrum. The spectrum of radiation emitted by a substance that has absorbed energy is called an emission spectrum.
d. Absorption spectrum is the spectrum obtained when radiation is passedthrough a sample of material. The sample absorbs radiation of certain wavelengths. The wavelengths which are absorbed are missing and come as dark lines.

40.The study of emission or absorption spectra is referred as spectroscopy.

41.Spectral Lines for atomic hydrogen:
Structure of Atom 2

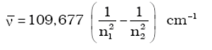
42.Rydberg equation: It allows the calculation of the wavelengths of all thespectral lines of hydrogen.
Structure of Atom 3

43. Bohr’s model for hydrogen atom:
a. An electron in the hydrogen atom can move around the nucleus in a circularpath of fixed radius and energy. These paths are called orbits or energy levels. These orbits are arranged concentrically around the nucleus.
b. As long as an electron remains in a particular orbit, it does not lose or gainenergy and its energy remains constant.
c. When transition occurs between two stationary states that differ in energy, thefrequency of the radiation absorbed or emitted can be calculated.

Structure of Atom 4

v = Frequency of radiation
h = Planck's constant
E1 = Energy of lower energy state
E2 = Energy of higher energy state

d. An electron can move only in those orbits for which its angular momentum is an integral multiple of h/2π
Structure of Atom 5

43.Bohr’s theory for hydrogen atom:
a. Stationary states for electron are numbered in terms of Principal
Quantum numbered as n=1, 2, 3…
b. For hydrogen atom: The radii of the stationary states is expressed as rn
= n2a0 where a0= 52.9 pm
c. Energy of stationary state
Structure of Atom 6

44.Limitations of Bohr’s model of atom:

a. Bohr’s model failed to account for the finer details of the hydrogen spectrum. For instance splitting of a line in the spectrum into two closely spaced lines.
b. Bohr’s model was also unable to explain spectrum of atoms containing more than one electron.
c. Bohr’s model was unable to explain Zeeman effect i.e. splitting of spectral line in presence of magnetic effect.
d. Bohr’s model also failed to explain Stark effect i.e. splitting of spectral line in presence of electric field.
e. Bohr’s model could not explain the ability of atoms to form molecules by chemical bonds

45.Dual behavior of matter: de Broglie proposed that matter exhibits dual behavior i.e. matter shows both particle and wave nature.

1. de Broglie’s relation:
Structure of Atom 7

Where:
λ - Wavelength
p - Momentum
v - Velocity
h – Planck’s constant

2. According to de Broglie, every object in motion has a wave character. Wavelengths of macroscopic objects cannot be detected but for microscopic particles it can be detected. This is because for microscopic objects, the mass is less. Since mass and wavelength are inversely proportional to each other, the wavelength will be more. But for macroscopic objects, the mass is large. Therefore, wavelength will be too short to be detected.

3. Heisenberg’s uncertainty principle: It states that it is impossible to determine simultaneously, the exact position and exact momentum (or velocity) of an electron.
Structure of Atom 8

Where
Δx – Uncertainty in position
Δvx - Uncertainty in velocity
Δpx - Uncertainty in momentum
This means that if the position of electron is known, the velocity of electron will be uncertain. On the other hand, if the velocity of electron is known precisely, the position of electron will be uncertain.

4. Heisenberg’s uncertainty principle rules our the existence of definite paths or trajectories of electrons and other similar particles

5. Failure of Bohr’s model:
a. It ignores the dual behavior of matter.
b. It contradicts Heisenberg’s uncertainty principle.

46.Classical mechanics is based on Newton’s laws of motion. It successfully describes the motion of macroscopic particles but fails in the case of microscopic particles.
Reason: Classical mechanics ignores the concept of dual behaviour of matter especially for sub-atomic particles and the Heisenberg’s uncertainty principle.

47.Quantum mechanics is a theoretical science that deals with the study of the motions of the microscopic objects that have both observable wave like and particle like properties.

48.When quantum mechanics is applied to macroscopic objects (for which wave like properties are insignificant) the results are the same as those from the classical mechanics.

49.Quantum mechanics is based on a fundamental equation which is called Schrodinger equation.

50.Schrodinger’s equation: For a system (such as an atom or a molecule whose energy does not change with time) the Schrödinger equation is written as:
Structure of Atom 9


51.When Schrödinger equation is solved for hydrogen atom, the solution gives the possible energy levels the electron can occupy and the corresponding wave function(s) of the electron associated with each energy level.

Out of the possible values, only certain solutions are permitted. Each permitted solution is highly significant as it corresponds to a definite energy state. Thus, we can say that energy is quantized. That is, it can have only certain specific values.

52. Ψ gives us the amplitude of wave. The value of Ψ has no physical significance.

53. Ψ2 gives us the region in which the probability of finding an electron is maximum. It is called probability density.

54.Orbital: The region of space around the nucleus where the probability of finding an electron is maximum is called an orbital.

55.Quantum numbers: There are a set of four quantum numbers which specify the energy, size, shape and orientation of an orbital.
These are:
a. Principal quantum number (n)
b. Azimuthal quantum number (l)
c. Magnetic quantum number (ml)
d. Electron spin quantum number (ms)

56.Principal quantum number (n): It determines the size and to a large extent the energy of the orbital.
Structure of Atom 10

• It can have positive integer values of 1, 2, 3 and so on.
• It also identifies the shell.
• As the value of n increases, the energy also increases. Hence, the electron will be located far away from the nucleus.

57.Azimuthal quantum number (l): Azimuthal quantum number. ‘l’ is also known as orbital angular momentum or subsidiary quantum number. It identified the sushell and the three dimensional shape of the orbital.

• It also determines the number of subshells or sub levels in a shell.Total number of subshells in a particular shell is equal to the value of n.
l = 0, 1, 2… (n-1)

• Each subshell corresponding to different values of l are representedby different symbols:
Structure of Atom 11

58.Magnetic quantum number or Magnetic orbital quantum number (ml): Itgives information about the spatial orientation of the orbital with respect to standard set of co-ordinate axis.
For any sub-shell (defined by ‘l’ value) 2l+1 values of ml are possible.
For each value of l,
ml = – l, – (l –1), – (l–2)... 0,1... (l – 2), (l–1), l

59.Electron spin quantum number (ms): It refers to orientation of the spin ofthe electron. It can have two values +1/2 and -1/2. +1/2 identifies the clockwise spin and -1/2 identifies the anti- clockwise spin.

60.An orbital is identified by the set of 3 quantum numbers: Principal quantumnumber, Azimuthal quantum number and magnetic quantum number.

61.An electron is identified by a set of four quantum numbers: Principalquantum number, azimuthal quantum number, magnetic quantum number and spin quantum number.

62.Sub-shell notation: Notation of a sub-shell is written as the Principalquantum number followed by the symbol of the respective sub-shell.

63.Plots of the orbital wave function Ψ(r ) and probability density Ψ2(r) Vsdistance r of the electron from the nucleus for 1s orbital:
Structure of Atom 12

• For 1s orbital the probability density is maximum at the nucleus and it decreases sharply as we move away from it(which is not possible).Hence plot of probability density Ψ2(r) Vs distance r of the electron from the nucleus was drawn as shown below.
Structure of Atom 13

• The orbital wave function Ψ for an electron in an atom has no physicalmeaning. It is simply a mathematical function of the coordinates of the electron.

64.Plots of the orbital wave function Ψ(r ) and probability density Ψ2(r) Vsdistance r of the electron from the nucleus for 2s orbital:
Structure of Atom 14

• For 2s orbital the probability density is maximum at the nucleus and it decreases sharply as we move away from it(which is not possible).Hence plot of probability density Ψ2(r) Vs distance r of the electron from the nucleus was drawn as shown below.

Structure of Atom 15

• For 2s orbital, the probability density first decreases sharply to zero andagain starts increasing. After reaching small maxima it decreases again and approaches zero as the value of r increases further.

65.The region where this probability density function reduces to zero is callednodal surfaces or simply nodes.

66.Charge cloud diagrams: In these diagrams, dots represent the electronprobability density. The density of the dots in a region represents electron probability density in that region.

67.Boundary surface diagram: In this representation, a boundary surface orcontour surface is drawn in space for an orbital on which the value of probability density Ψ2(r) is constant. However, for a given orbital, only that boundary surface diagram of constant probability density is taken to be good representation of the shape of the orbital which encloses a region or volume in which the probability of finding the electron is very high, say, 90%.

68.Radial nodes: Radial nodes occur when the probability density wavefunction for the electron is zero on a spherical surface of a particular radius. Number of radial nodes = n – l – 1

69.Angular nodes: Angular nodes occur when the probability density wavefunction for the electron is zero along the directions specified by a particular angle. Number of angular nodes = l

70.Total number of nodes = n – 1

71.Degenerate orbitals: Orbitals having the same energy are called degenerateorbitals.

72.The stability of an electron in a multi electron system is because of:
a. The repulsive interaction of the electrons in the outer shell with theelectrons in the inner shell.
b. The attractive interactions of electron with the nucleus.
These attractive interactions increase with increase of positive charge (Ze) on the nucleus.
a. The stability of an electron in multi-electron atom is because totalattractive interactions are more than the repulsive interactions.

73. Shielding effect or screening effect: Due to the presence of electrons inthe inner shells, the electron in the outer shell will not experience the full positive charge on the nucleus.

So due to the screening effect, the net positive charge experienced by the electron from the nucleus is lowered and is known as effective nuclear charge.
Effective nuclear charge experienced by the orbital decreases with increase of azimuthal quantum number (l).

74. Orbitals have different energies because of mutual repulsion betweenelectrons in a multi- electron atom.

75.Orbitals with lower value of (n+l) are filled first as they have lower energy.

76.If two orbitals have the same value of (n+l) then orbital with lower value ofn will have lower energy.

77.Energies of the orbitals in the same subshell decrease with increase inatomic number.

78.Filling of electrons: The filling of electrons into the orbitals of differentatoms takes place according to Aufbau principle ,Pauli’s exclusion principle, the Hund’s rule of maximum multiplicity

79. Aufbau Principle: In the ground state of the atoms, the orbitals are filled inorder of their increasing energies. The order in which the orbitals are filled is as follows:
1s, 2s, 2p, 3s, 3p, 4s, 3d, 4p, 5s, 4d, 5p, 4f, 5d, 6p, 7s...
It is based on (n+ l) rule. It states that the orbital with lower value of (n + l) has lower energy.

80.Pauli Exclusion Principle: No two electrons in an atom can have the sameset of four quantum numbers. Only two electrons may exist in the same orbital and these electrons must have opposite spin.

81. Hund’s rule of maximum multiplicity: Pairing of electrons in the orbitalsbelonging to the same subshell (p, d or f) does not take place until each orbital belonging to that subshell has got one electron each i.e., it is singly occupied.

82. Electronic configuration of atoms: The electronic configuration of differentatoms can be represented in two ways.
a. sapbdc ...... notation: In the first notation, the subshell is representedby the respective letter symbol and the number of electrons present in the subshell is depicted, as the super script, like a, b, c, ... etc. The similar subshell represented for different shells is differentiated by writing the principal quantum number before the respective subshell.
b. Orbital diagram: In the second notation, each orbital of the subshell isrepresented by a box and the electron is represented by an arrow (↑) a positive spin or an arrow (↓) a negative spin.

83. Stability of completely filled and half filled subshells:
a. Symmetrical distribution of electrons
b. Exchange energy

 

Please click the link below to download pdf file for CBSE Class 11 Chemistry Notes - Structure of Atom.

CBSE Class 11 Chemistry Chapter 2 Structure of Atom Notes

Students can use these Revision Notes for Chapter 2 Structure of Atom to quickly understand all the main concepts. This study material has been prepared as per the latest CBSE syllabus for Class 11. Our teachers always suggest that Class 11 students read these notes regularly as they are focused on the most important topics that usually appear in school tests and final exams.

NCERT Based Chapter 2 Structure of Atom Summary

Our expert team has used the official NCERT book for Class 11 Chemistry to design these notes. These are the notes that definitely you for your current academic year. After reading the chapter summary, you should also refer to our NCERT solutions for Class 11. Always compare your understanding with our teacher prepared answers as they will help you build a very strong base in Chemistry.

Chapter 2 Structure of Atom Complete Revision and Practice

To prepare very well for y our exams, students should also solve the MCQ questions and practice worksheets provided on this page. These extra solved questions will help you to check if you have understood all the concepts of Chapter 2 Structure of Atom. All study material on studiestoday.com is free and updated according to the latest Chemistry exam patterns. Using these revision notes daily will help you feel more confident and get better marks in your exams.

Where can I download the latest PDF for CBSE Class 11 Chemistry Structure Of Atom Notes Set 02?

You can download the teacher prepared revision notes for CBSE Class 11 Chemistry Structure Of Atom Notes Set 02 from StudiesToday.com. These notes are designed as per 2025-26 academic session to help Class 11 students get the best study material for Chemistry.

Are these Chemistry notes for Class 11 based on the 2026 board exam pattern?

Yes, our CBSE Class 11 Chemistry Structure Of Atom Notes Set 02 include 50% competency-based questions with focus on core logic, keyword definitions, and the practical application of Chemistry principles which is important for getting more marks in 2026 CBSE exams.

Do these Class 11 notes cover all topic-wise concepts for Chemistry?

Yes, our CBSE Class 11 Chemistry Structure Of Atom Notes Set 02 provide a detailed, topic wise breakdown of the chapter. Fundamental definitions, complex numerical formulas and all topics of CBSE syllabus in Class 11 is covered.

How can I use CBSE Class 11 Chemistry Structure Of Atom Notes Set 02 for quick last-minute revision?

These notes for Chemistry are organized into bullet points and easy-to-read charts. By using CBSE Class 11 Chemistry Structure Of Atom Notes Set 02, Class 11 students fast revise formulas, key definitions before the exams.

Is there any registration required to download Class 11 Chemistry notes?

No, all study resources on StudiesToday, including CBSE Class 11 Chemistry Structure Of Atom Notes Set 02, are available for immediate free download. Class 11 Chemistry study material is available in PDF and can be downloaded on mobile.