JEE Mains Chemistry Alcohol Phenol And Ether Notes

Download the latest JEE Mains Chemistry Alcohol Phenol And Ether Notes in PDF format. These Full Course Chemistry revision notes are carefully designed by expert teachers to align with the 2026-27 syllabus. These notes are great daily learning and last minute exam preparation and they simplify complex topics and highlight important definitions for Full Course students.

Revision Notes for Full Course Chemistry Alcohol Phenol And Ether

To secure a higher rank, students should use these Full Course Chemistry Alcohol Phenol And Ether notes for quick learning of important concepts. These exam-oriented summaries focus on difficult topics and high-weightage sections helpful in school tests and final examinations.

Alcohol Phenol And Ether Revision Notes for Full Course Chemistry

 

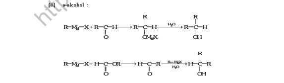
JEE Mains Chemistry Alcohol Phenol and Ether Notes

JEE-Mains-Chemistry-Alcohol-Phenol-and-Ether-Notes 1

JEE-Mains-Chemistry-Alcohol-Phenol-and-Ether-Notes 2

JEE-Mains-Chemistry-Alcohol-Phenol-and-Ether-Notes 3

JEE-Mains-Chemistry-Alcohol-Phenol-and-Ether-Notes 4

JEE-Mains-Chemistry-Alcohol-Phenol-and-Ether-Notes 5

JEE-Mains-Chemistry-Alcohol-Phenol-and-Ether-Notes 6

Alcohol Phenol And Ether
Alcohol Phenol And Ether Notes
Aldehyde And Ketons
Aldehyde And Ketons Notes
Alkyl Halide Aryl Halide
Alkyl Halide Aryl Halide Notes
Carbohydrates Amino acids And Polymers
Carbohydrates Amino acids And Polymers Notes
Carbon And Its Compounds
Carbon And Its Compounds Notes
Carboxylic Acid And Derivatives
Carboxylic Acid And Derivatives Notes
Chemical Kinetics
Chemical Kinetics Notes
Colloidal State And Surface
Colloidal State And Surface Notes
Coordination Chemistry
Coordination Chemistry Notes
D Block Elements
D Block Elements Notes
Electrochemistry
Electrochemistry Notes
P Block Elements
P Block Elements Notes

JEE Full Course Chemistry Alcohol Phenol And Ether Notes

Students can use these Revision Notes for Alcohol Phenol And Ether to quickly understand all the main concepts. This study material has been prepared as per the latest JEE syllabus for Full Course. Our teachers always suggest that Full Course students read these notes regularly as they are focused on the most important topics that usually appear in school tests and final exams.

NCERT Based Alcohol Phenol And Ether Summary

Our expert team has used the official NCERT book for Full Course Chemistry to design these notes. These are the notes that definitely you for your current academic year. After reading the chapter summary, you should also refer to our NCERT solutions for Full Course. Always compare your understanding with our teacher prepared answers as they will help you build a very strong base in Chemistry.

Alcohol Phenol And Ether Complete Revision and Practice

To prepare very well for y our exams, students should also solve the MCQ questions and practice worksheets provided on this page. These extra solved questions will help you to check if you have understood all the concepts of Alcohol Phenol And Ether. All study material on studiestoday.com is free and updated according to the latest Chemistry exam patterns. Using these revision notes daily will help you feel more confident and get better marks in your exams.

FAQs

Where can I download the latest PDF for JEE Mains Chemistry Alcohol Phenol And Ether Notes?

You can download the teacher prepared revision notes for JEE Mains Chemistry Alcohol Phenol And Ether Notes from StudiesToday.com. These notes are designed as per 2026-27 academic session to help Full Course students get the best study material for Chemistry.

Are these Chemistry notes for Full Course based on the 2026 board exam pattern?

Yes, our JEE Mains Chemistry Alcohol Phenol And Ether Notes include 50% competency-based questions with focus on core logic, keyword definitions, and the practical application of Chemistry principles which is important for getting more marks in 2026 JEE exams.

Do these Full Course notes cover all topic-wise concepts for Chemistry?

Yes, our JEE Mains Chemistry Alcohol Phenol And Ether Notes provide a detailed, topic wise breakdown of the chapter. Fundamental definitions, complex numerical formulas and all topics of JEE syllabus in Full Course is covered.

How can I use JEE Mains Chemistry Alcohol Phenol And Ether Notes for quick last-minute revision?

These notes for Chemistry are organized into bullet points and easy-to-read charts. By using JEE Mains Chemistry Alcohol Phenol And Ether Notes, Full Course students fast revise formulas, key definitions before the exams.

Is there any registration required to download Full Course Chemistry notes?

No, all study resources on StudiesToday, including JEE Mains Chemistry Alcohol Phenol And Ether Notes, are available for immediate free download. Full Course Chemistry study material is available in PDF and can be downloaded on mobile.