CBSE Class 12 Physics Electrostatics Formulae

Download the latest CBSE Class 12 Physics Electrostatics Formulae in PDF format. These Class 12 Physics revision notes are carefully designed by expert teachers to align with the 2026-27 syllabus. These notes are great daily learning and last minute exam preparation and they simplify complex topics and highlight important definitions for Class 12 students.

Revision Notes for Class 12 Physics Chapter 2 Electrostatic Potential and Capacitance

To secure a higher rank, students should use these Class 12 Physics Chapter 2 Electrostatic Potential and Capacitance notes for quick learning of important concepts. These exam-oriented summaries focus on difficult topics and high-weightage sections helpful in school tests and final examinations.

Chapter 2 Electrostatic Potential and Capacitance Revision Notes for Class 12 Physics

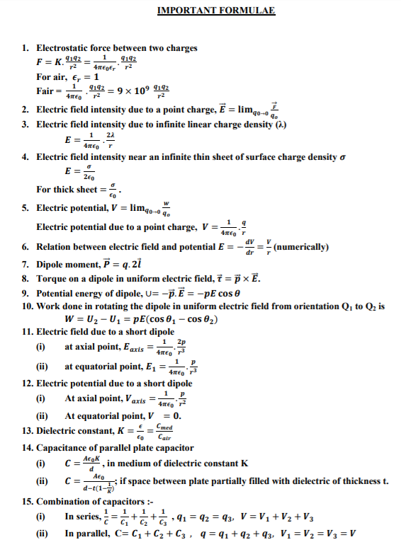
CBSE Class 12 Phyiscs - Electrostatics Formulae. Learning the important concepts is very important for every student to get better marks in examinations. The concepts should be clear which will help in faster learning. The attached concepts will help the student to understand the chapter and score better marks in the examinations. class_12_electrostatic_concept_57

class_12_electrostatic_concept_58

CBSE Class 12 Phyiscs - Electrostatics Formulae

Please click the link below to download CBSE Class 12 Phyiscs - Electrostatics Formulae

CBSE Class 12 Physics Chapter 2 Electrostatic Potential and Capacitance Notes

Students can use these Revision Notes for Chapter 2 Electrostatic Potential and Capacitance to quickly understand all the main concepts. This study material has been prepared as per the latest CBSE syllabus for Class 12. Our teachers always suggest that Class 12 students read these notes regularly as they are focused on the most important topics that usually appear in school tests and final exams.

NCERT Based Chapter 2 Electrostatic Potential and Capacitance Summary

Our expert team has used the official NCERT book for Class 12 Physics to design these notes. These are the notes that definitely you for your current academic year. After reading the chapter summary, you should also refer to our NCERT solutions for Class 12. Always compare your understanding with our teacher prepared answers as they will help you build a very strong base in Physics.

Chapter 2 Electrostatic Potential and Capacitance Complete Revision and Practice

To prepare very well for y our exams, students should also solve the MCQ questions and practice worksheets provided on this page. These extra solved questions will help you to check if you have understood all the concepts of Chapter 2 Electrostatic Potential and Capacitance. All study material on studiestoday.com is free and updated according to the latest Physics exam patterns. Using these revision notes daily will help you feel more confident and get better marks in your exams.

Where can I download the latest PDF for CBSE Class 12 Physics Electrostatics Formulae?

You can download the teacher prepared revision notes for CBSE Class 12 Physics Electrostatics Formulae from StudiesToday.com. These notes are designed as per 2025-26 academic session to help Class 12 students get the best study material for Physics.

Are these Physics notes for Class 12 based on the 2026 board exam pattern?

Yes, our CBSE Class 12 Physics Electrostatics Formulae include 50% competency-based questions with focus on core logic, keyword definitions, and the practical application of Physics principles which is important for getting more marks in 2026 CBSE exams.

Do these Class 12 notes cover all topic-wise concepts for Physics?

Yes, our CBSE Class 12 Physics Electrostatics Formulae provide a detailed, topic wise breakdown of the chapter. Fundamental definitions, complex numerical formulas and all topics of CBSE syllabus in Class 12 is covered.

How can I use CBSE Class 12 Physics Electrostatics Formulae for quick last-minute revision?

These notes for Physics are organized into bullet points and easy-to-read charts. By using CBSE Class 12 Physics Electrostatics Formulae, Class 12 students fast revise formulas, key definitions before the exams.

Is there any registration required to download Class 12 Physics notes?

No, all study resources on StudiesToday, including CBSE Class 12 Physics Electrostatics Formulae, are available for immediate free download. Class 12 Physics study material is available in PDF and can be downloaded on mobile.