CBSE Class 12 Physics Wave Optics Notes Set 02

Download the latest CBSE Class 12 Physics Wave Optics Notes Set 02 in PDF format. These Class 12 Physics revision notes are carefully designed by expert teachers to align with the 2026-27 syllabus. These notes are great daily learning and last minute exam preparation and they simplify complex topics and highlight important definitions for Class 12 students.

Revision Notes for Class 12 Physics Chapter 10 Wave Optics

To secure a higher rank, students should use these Class 12 Physics Chapter 10 Wave Optics notes for quick learning of important concepts. These exam-oriented summaries focus on difficult topics and high-weightage sections helpful in school tests and final examinations.

Chapter 10 Wave Optics Revision Notes for Class 12 Physics

 

Wave OpticsChapter Notes

Top Concepts

1. A wave front is the locus of points having the same phase of oscillation. Rays are the lines perpendicular to the wavefront, which show the direction of propagation of energy. The time taken for light to travel from one wavefront to another is the same along any ray.

2. Huygens’ Principle. According to Huygens’

(a) Each point on the given wave front (called primary wave front) acts as a fresh source of new disturbance, called secondary wavelet, which travels in all directions with the velocity of light in the medium

(b) A surface touching these secondary wavelets, tangentially in the forward direction at any instant gives the new wavefront at that instant. This is called secondary wave front,

3. Huygens’ Construction is based on the principle that every point of a wavefront is a source of secondary wavefront. The envelope of these wavefronts i.e., the surface tangent to all the secondary wavefront gives the new wavefront.

Moreover, download electrostatics notes pdf prepared by expert science teachers from the latest edition of NCERT books.

4. Refraction and Reflection of Plane Waves Using Huygens’ Principle.

The law of reflection (i = r) and the Snell’s law of refraction

sini/sinr =v1/v2=m2/m1=m21 can be derived using the wave theory. (Here v1 and v2 are the speed of light in media 1 and 2 with refractive index  m1 and m2 respectively). The frequency n remains the same as light travels from one medium to another. The speed v of a wave is given by v=l/where l is the wavelength of the wave and T (=1/n) is the period of oscillation.

5. Doppler effect is the shift in frequency of light when there is a relative motion between the source and the observer. The effect can be used to measure the speed of an approaching or receding object. for the source moving away from the observer, n<n0 and for the source moving towards the observer,  n>n0. The change in frequency is given as Dn=n-n0-n/c v0

where we are using the approximation v ; c. So, finally,Dn/=n/c

6. Coherent and Incoherent Addition of Waves. Two sources are coherent if they have the same frequency and a stable phase difference. In this case, the total intensity I is not just the sum of individual intensities I1 and I2 due to the two sources but includes an interference term:I=I+I2+ I +2k.E1. E2

where E1 and E2 are the electric fields at a point due to the sources.

The interference term averaged over many cycles is zero if

(a) the sources have different frequencies; or

(b) the sources have the same frequency but no stable phase difference. 

For such coherent sources,  I = I1 + I2
According to the superposition principle when two or more wave motions traveling through a medium superimpose one another, a new wave is formed in which resultant displacements due to the individual waves at that instant.

The average of the total intensity will be

CBSE Class 12 Physics Notes - Wave Optics

where ø is the inherent phase difference between the two superimposing waves.

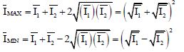
The significance is that the intensity due to two sources of light is not equal to the sum of intensities due to each of them. The resultant intensity depends on the relative location of the point from the two sources, since changing it changes the path difference as we go from one point to another. As a result, the resulting intensity will vary between maximum and minimum values, determined by the maximum and minimum values of the cosine function. These will be

CBSE Class 12 Physics Notes - Wave Optics

7. Young’s experiment, two parallel and very close slits S1 and S2 (illuminated by another narrow slit) behave like two coherent sources and produce on a screen a pattern of dark and bright bands – interference fringes. For a point P on the screen, the path difference

CBSE Class 12 Physics Notes - Wave Optics

where d is the separation between two slits, D1 is the distance between the slits and the screen and y1 is the distance of the point of P from the central fringe.

For constructive interference (bright band), the path difference must be an integer multiple of δ, i.e.,

CBSE Class 12 Physics Notes - Wave Optics

8. Diffraction refers to light spreading out from narrow holes and slits, and bending around corners and obstacles. The single-slit diffraction pattern shows the central maximum ( at θ = 0), zero intensity at angular separation Θ = +- (n + ½)λ… (n ≠ 0).
Different parts of the wavefront at the slit act as secondary sources: diffraction pattern is the result of interference of waves from these sources.
The intensity plot looks as follows, with there being a bright central maximum, followed by smaller intensity secondary maxima, with there being points of zero intensity in between, whenever dsinΘ =nλ,n ≠ 0

CBSE Class 12 Physics Wave Optics Notes Set B


9. Emission, absorption and scattering are three processes by which matter interacts with radiation.
In emission, an accelerated charge radiates and loses energy.
In absorption, the charge gains energy at the expense of the electromagnetic wave.
In scattering, the charge accelerated by incident electromagnetic wave radiates in all direction.

10. Polarization specifies the manner in which electric field E oscillates in the plane transverse to the direction of propagation of light. If E oscillates back and forth in a straight line, the wave is said to be linearly polarized. If the direction of E changes irregularly the wave is unpolarized.

When light passes through a single polaroid P1 light intensity is reduced to half, independent of the orientation of P1. When a second Polaroid P2 is also included, at one specific orientation wrt P1, the net transmitted intensity is reduced to zero but is transmitted fully when P1 is turned o 90 from that orientation. This happens because the transmitted polarization by a polaroid is the component of E parallel to its axis.

Unpolarized sunlight scattered by the atmosphere or reflected from a medium gets (partially) polarized.
Linearly Polarized light passing through some substances like sugar solution undergoes a rotation of its direction of polarization, proportional to the length of the medium traversed and the concentration to the substance. This effect is known as optical activity.


11. Brewster’s Law: When an incident light is incident at the polarizing angle, the reflected & the refracted rays are perpendicular to each other.
The polarizing angle, also called as Brewster’s angle, is given by tanθp = μ this expression is also called Brewster’s law.

12. Polarization by scattering: Light is scattered when it meets a particle of similar size to its own wavelength. For e.g. scattering of sunlight by dust particles.

Rayleigh showed that the scattering of light is proportional to the fourth power of the frequency of the light or varies as 1/λ4 where λ is the wavelength of light incident on the air molecules of size d where d << λ. Hence blue light is scattered more than red. This explains the blue colour of the sky.

CBSE Class 12 Physics Wave Optics Notes Set B

CBSE Class 12 Physics Wave Optics Notes Set B

Please click the link below to download pdf file for CBSE Class 12 Physics Notes - Wave Optics.

CBSE Class 12 Physics Chapter 10 Wave Optics Notes

Students can use these Revision Notes for Chapter 10 Wave Optics to quickly understand all the main concepts. This study material has been prepared as per the latest CBSE syllabus for Class 12. Our teachers always suggest that Class 12 students read these notes regularly as they are focused on the most important topics that usually appear in school tests and final exams.

NCERT Based Chapter 10 Wave Optics Summary

Our expert team has used the official NCERT book for Class 12 Physics to design these notes. These are the notes that definitely you for your current academic year. After reading the chapter summary, you should also refer to our NCERT solutions for Class 12. Always compare your understanding with our teacher prepared answers as they will help you build a very strong base in Physics.

Chapter 10 Wave Optics Complete Revision and Practice

To prepare very well for y our exams, students should also solve the MCQ questions and practice worksheets provided on this page. These extra solved questions will help you to check if you have understood all the concepts of Chapter 10 Wave Optics. All study material on studiestoday.com is free and updated according to the latest Physics exam patterns. Using these revision notes daily will help you feel more confident and get better marks in your exams.

Where can I download the latest PDF for CBSE Class 12 Physics Wave Optics Notes Set 02?

You can download the teacher prepared revision notes for CBSE Class 12 Physics Wave Optics Notes Set 02 from StudiesToday.com. These notes are designed as per 2025-26 academic session to help Class 12 students get the best study material for Physics.

Are these Physics notes for Class 12 based on the 2026 board exam pattern?

Yes, our CBSE Class 12 Physics Wave Optics Notes Set 02 include 50% competency-based questions with focus on core logic, keyword definitions, and the practical application of Physics principles which is important for getting more marks in 2026 CBSE exams.

Do these Class 12 notes cover all topic-wise concepts for Physics?

Yes, our CBSE Class 12 Physics Wave Optics Notes Set 02 provide a detailed, topic wise breakdown of the chapter. Fundamental definitions, complex numerical formulas and all topics of CBSE syllabus in Class 12 is covered.

How can I use CBSE Class 12 Physics Wave Optics Notes Set 02 for quick last-minute revision?

These notes for Physics are organized into bullet points and easy-to-read charts. By using CBSE Class 12 Physics Wave Optics Notes Set 02, Class 12 students fast revise formulas, key definitions before the exams.

Is there any registration required to download Class 12 Physics notes?

No, all study resources on StudiesToday, including CBSE Class 12 Physics Wave Optics Notes Set 02, are available for immediate free download. Class 12 Physics study material is available in PDF and can be downloaded on mobile.