CBSE Class 11 Mathematics Trigonometry Notes Set 06

Download the latest CBSE Class 11 Mathematics Trigonometry Notes Set 06 in PDF format. These Class 11 Mathematics revision notes are carefully designed by expert teachers to align with the 2026-27 syllabus. These notes are great daily learning and last minute exam preparation and they simplify complex topics and highlight important definitions for Class 11 students.

Revision Notes for Class 11 Mathematics Chapter 3 Trigonometric Functions

To secure a higher rank, students should use these Class 11 Mathematics Chapter 3 Trigonometric Functions notes for quick learning of important concepts. These exam-oriented summaries focus on difficult topics and high-weightage sections helpful in school tests and final examinations.

Chapter 3 Trigonometric Functions Revision Notes for Class 11 Mathematics

 

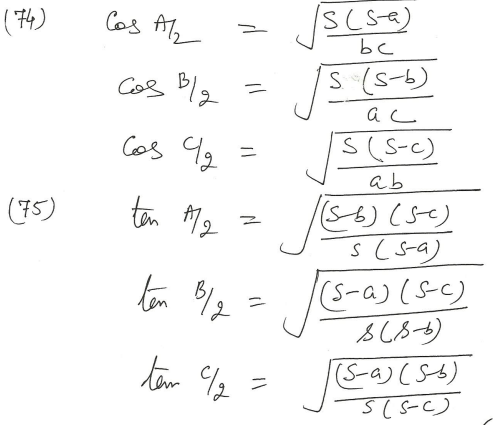
class_11_maths_concept_2

class_11_maths_concept_2a

class_11_maths_concept_2b

class_11_maths_concept_2c

Please click the link below to download pdf file for CBSE Class XI Trigonometry Concepts Part F.

CBSE Class 11 Mathematics Chapter 3 Trigonometric Functions Notes

Students can use these Revision Notes for Chapter 3 Trigonometric Functions to quickly understand all the main concepts. This study material has been prepared as per the latest CBSE syllabus for Class 11. Our teachers always suggest that Class 11 students read these notes regularly as they are focused on the most important topics that usually appear in school tests and final exams.

NCERT Based Chapter 3 Trigonometric Functions Summary

Our expert team has used the official NCERT book for Class 11 Mathematics to design these notes. These are the notes that definitely you for your current academic year. After reading the chapter summary, you should also refer to our NCERT solutions for Class 11. Always compare your understanding with our teacher prepared answers as they will help you build a very strong base in Mathematics.

Chapter 3 Trigonometric Functions Complete Revision and Practice

To prepare very well for y our exams, students should also solve the MCQ questions and practice worksheets provided on this page. These extra solved questions will help you to check if you have understood all the concepts of Chapter 3 Trigonometric Functions. All study material on studiestoday.com is free and updated according to the latest Mathematics exam patterns. Using these revision notes daily will help you feel more confident and get better marks in your exams.

FAQs

Where can I download the latest PDF for CBSE Class 11 Mathematics Trigonometry Notes Set 06?

You can download the teacher prepared revision notes for CBSE Class 11 Mathematics Trigonometry Notes Set 06 from StudiesToday.com. These notes are designed as per 2026-27 academic session to help Class 11 students get the best study material for Mathematics.

Are these Mathematics notes for Class 11 based on the 2026 board exam pattern?

Yes, our CBSE Class 11 Mathematics Trigonometry Notes Set 06 include 50% competency-based questions with focus on core logic, keyword definitions, and the practical application of Mathematics principles which is important for getting more marks in 2026 CBSE exams.

Do these Class 11 notes cover all topic-wise concepts for Mathematics?

Yes, our CBSE Class 11 Mathematics Trigonometry Notes Set 06 provide a detailed, topic wise breakdown of the chapter. Fundamental definitions, complex numerical formulas and all topics of CBSE syllabus in Class 11 is covered.

How can I use CBSE Class 11 Mathematics Trigonometry Notes Set 06 for quick last-minute revision?

These notes for Mathematics are organized into bullet points and easy-to-read charts. By using CBSE Class 11 Mathematics Trigonometry Notes Set 06, Class 11 students fast revise formulas, key definitions before the exams.

Is there any registration required to download Class 11 Mathematics notes?

No, all study resources on StudiesToday, including CBSE Class 11 Mathematics Trigonometry Notes Set 06, are available for immediate free download. Class 11 Mathematics study material is available in PDF and can be downloaded on mobile.