CBSE Class 10 Mathematics Trigonometry Notes Set 09

Download the latest CBSE Class 10 Mathematics Trigonometry Notes Set 09 in PDF format. These Class 10 Mathematics revision notes are carefully designed by expert teachers to align with the 2026-27 syllabus. These notes are great daily learning and last minute exam preparation and they simplify complex topics and highlight important definitions for Class 10 students.

Revision Notes for Class 10 Mathematics Chapter 8 Introduction to Trigonometry

To secure a higher rank, students should use these Class 10 Mathematics Chapter 8 Introduction to Trigonometry notes for quick learning of important concepts. These exam-oriented summaries focus on difficult topics and high-weightage sections helpful in school tests and final examinations.

Chapter 8 Introduction to Trigonometry Revision Notes for Class 10 Mathematics

 

CBSE Basic Concepts on Trigonometry. Prepared by HOD Mathematics of one of the best CBSE schools in Delhi. Based on CBSE and CCE guidelines. The students should read these basic concepts to gain perfection which will help him to get more marks in CBSE examination.

Trigonometry

 

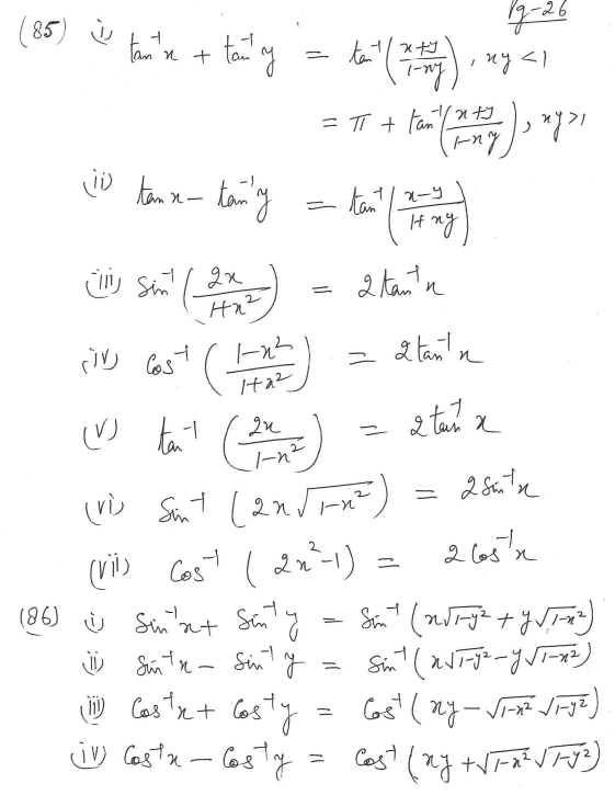
Trigonometryg_1

Trigonometryg_2

Please click the link below to download pdf file for trigonometry_conceptsg.pdf

CBSE Class 10 Mathematics Chapter 8 Introduction to Trigonometry Notes

Students can use these Revision Notes for Chapter 8 Introduction to Trigonometry to quickly understand all the main concepts. This study material has been prepared as per the latest CBSE syllabus for Class 10. Our teachers always suggest that Class 10 students read these notes regularly as they are focused on the most important topics that usually appear in school tests and final exams.

NCERT Based Chapter 8 Introduction to Trigonometry Summary

Our expert team has used the official NCERT book for Class 10 Mathematics to design these notes. These are the notes that definitely you for your current academic year. After reading the chapter summary, you should also refer to our NCERT solutions for Class 10. Always compare your understanding with our teacher prepared answers as they will help you build a very strong base in Mathematics.

Chapter 8 Introduction to Trigonometry Complete Revision and Practice

To prepare very well for y our exams, students should also solve the MCQ questions and practice worksheets provided on this page. These extra solved questions will help you to check if you have understood all the concepts of Chapter 8 Introduction to Trigonometry. All study material on studiestoday.com is free and updated according to the latest Mathematics exam patterns. Using these revision notes daily will help you feel more confident and get better marks in your exams.

Where can I download the latest PDF for CBSE Class 10 Mathematics Trigonometry Notes Set 09?

You can download the teacher prepared revision notes for CBSE Class 10 Mathematics Trigonometry Notes Set 09 from StudiesToday.com. These notes are designed as per 2025-26 academic session to help Class 10 students get the best study material for Mathematics.

Are these Mathematics notes for Class 10 based on the 2026 board exam pattern?

Yes, our CBSE Class 10 Mathematics Trigonometry Notes Set 09 include 50% competency-based questions with focus on core logic, keyword definitions, and the practical application of Mathematics principles which is important for getting more marks in 2026 CBSE exams.

Do these Class 10 notes cover all topic-wise concepts for Mathematics?

Yes, our CBSE Class 10 Mathematics Trigonometry Notes Set 09 provide a detailed, topic wise breakdown of the chapter. Fundamental definitions, complex numerical formulas and all topics of CBSE syllabus in Class 10 is covered.

How can I use CBSE Class 10 Mathematics Trigonometry Notes Set 09 for quick last-minute revision?

These notes for Mathematics are organized into bullet points and easy-to-read charts. By using CBSE Class 10 Mathematics Trigonometry Notes Set 09, Class 10 students fast revise formulas, key definitions before the exams.

Is there any registration required to download Class 10 Mathematics notes?

No, all study resources on StudiesToday, including CBSE Class 10 Mathematics Trigonometry Notes Set 09, are available for immediate free download. Class 10 Mathematics study material is available in PDF and can be downloaded on mobile.