Refer to CBSE Class 10 Maths HOTs Polynomials Set 01. We have provided exhaustive High Order Thinking Skills (HOTS) questions and answers for Class 10 Mathematics Chapter 2 Polynomials. Designed for the 2026-27 exam session, these expert-curated analytical questions help students master important concepts and stay aligned with the latest CBSE, NCERT, and KVS curriculum.
Chapter 2 Polynomials Class 10 Mathematics HOTS with Solutions
Practicing Class 10 Mathematics HOTS Questions is important for scoring high in Mathematics. Use the detailed answers provided below to improve your problem-solving speed and Class 10 exam readiness.
HOTS Questions and Answers for Class 10 Mathematics Chapter 2 Polynomials
Question. If two zeros of the polynomial f(x) = x4 - 6x3 - 26x2 + 138x – 35 are 2± √3.Find the other zeros.
Ans: Let the two zeros are 2 + √3 and 2 - √3
Sum of Zeros = 2 + √3 + 2 - √3
= 4
Product of Zeros = (2+ √3)(2 - √3)
= 4 – 3
= 1
Quadratic polynomial is x2 – (sum) x + Product
Question. Find the Quadratic polynomial whose sum and product of zeros are √2 + 1, 1/√2 + 1 .
Ans: sum = 2 √2
Product = 1
Q.P =
X2 – (sum) x + Product
∴ x2 – (2 √2 ) x + 1
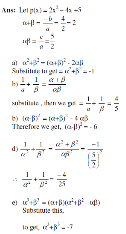
Question. If α,b are the zeros of the polynomial 2x2 – 4x + 5 find the value of a) α2 + β2 b) (α - β)2.
Ans: p (x) = 2 x2 – 4 x + 5
α + β = -b/a = 4/2 = 2
αβ = c/a = 5/2
α2 + β2 = (α + β)2 – 2 α β
Substitute then we get, α 2+ β2 = -1
(α - β)2 = (α + β)2 - 4 α β
Substitute, we get = (α - β)2 = - 6
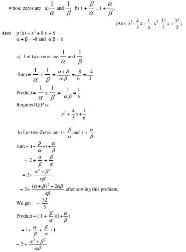
Question. If α,b are the zeros of the polynomial x2 + 8x + 6 frame a Quadratic polynomial
Substitute this sum,
We get = 32/3
Required Q.P. is x2 - 32/3 x + 32/3
Question. On dividing the polynomial 4x4 - 5x3 - 39x2 - 46x – 2 by the polynomial g(x) the quotient is x2 - 3x – 5 and the remainder is -5x + 8.Find the polynomial g(x).
Ans: p(x) = g (x) q (x) + r (x)
g(x) = p(x) - r(x)/q(x)
let p(x) = 4x4 – 5x3 – 39x2 – 46x – 2
q(x) = x2 – 3x – 5 and r (x) = -5x + 8
now p(x) – r(x) = 4x4 – 5x3 – 39x2 – 41x - 10
when p(x) - r(x)/q(x) = 4x2 + 7x +2
∴ g(x) = 4x2 + 7x + 2
Question. If the squared difference of the zeros of the quadratic polynomial x2 + px + 45 is equal to 144 , find the value of p.
Ans: Let two zeros are a and b where α > β
According given condition
(α - β)2 = 144
Let p(x) = x2 + px + 45
α + β = -b/a = -p/1 = -p
αβ = c/a = 45/1 = 45
now (a - β)2 = 144
(α + β)2 – 4 αβ = 144
(-p)2 – 4 (45) = 144
Solving this we get p = ± 18
Question. If α,β are the zeros of a Quadratic polynomial such that α + β = 24, α - β = 8. Find a Quadratic polynomial having α and β as its zeros.
Ans: α+β = 24
α - β = 8
-----------
2α = 32
α = 32/2 = 16, ∴ α = 16
Work the same way to α+β = 24
So, β = 8
Q.P is x2 – (sum) x + product
= x2 – (16+8) x + 16 x 8
Solve this,
it is k (x2 – 24x + 128)
Question. If α & β are the zeroes of the polynomial 2x2 - 4x + 5, then find the value of a. α2 + β2 b. 1/ a + 1/ ß c. (α - β)2 d. 1/α2 + 1/β2 e. α3 + β3
Question. Obtain all the zeros of the polynomial p(x) = 3x4 - 15x3 + 17x2 +5x -6 if two zeroes are -1/√3 and 1/√3.
Ans: 3,2
Question. Give examples of polynomials p(x), g(x), q(x) and r(x) which satisfy the division algorithm.
a. deg p(x) = deg q(x) b. deg q(x) = deg r(x) c. deg q(x) = 0.
Question. If the ratios of the polynomial ax3+3bx2+3cx+d are in AP, Prove that 2b3- 3abc+a2d=0
Ans: Let p(x) = ax3 + 3bx2 + 3cx + d and α , β , r are their three Zeros but zero are in AP
let a = m – n , b = m, r = m + n
Question. Find the number of zeros of the polynomial from the graph given.
Ans: 1
Question. If one zero of the polynomial 3x2 - 8x +2k+1 is seven times the other, find the zeros and the value of k
Ans: k= 2/3
Self Practice
Question. If (n-k) is a factor of the polynomials x2+px+q & x2 + m x+n. Prove that k = n + n-q/m-p
Ans: since (n – k) is a factor of x2 + px + q
∴ (n – k)2 + p(n- k) + q = 0
And (n – k)2 + m(n – k) + n = 0
Solve this problem by yourself,
∴ k = n + n-q/m-p
SELF PRACTICE
Question. If 2, ½ are the zeros of px2+5x+r, prove that p= r.
Question. If m, n are zeroes of ax2-5x+c, find the value of a and c if m + n = m.n=10
Ans: a=1/2 ,c=5)
Question. What must be subtracted from 8x4 + 14x3 – 2x2 + 7x –8 so that the resulting polynomial is exactly divisible by 4x2+3x-2.
Ans: 14x – 10
Question. What must be added to the polynomial p(x)= x4 + 2x3 – 2x2 + x –1 so that the resulting polynomial is exactly divisible by x2+2x-3.
Ans: x-2
Please refer to link below for CBSE Class 10 Mathematics HOTs Polynomials Set A.
Please refer to attached file for CBSE Class 10 Mathematics HOTs Polynomials
HOTS for Chapter 2 Polynomials Mathematics Class 10
Students can now practice Higher Order Thinking Skills (HOTS) questions for Chapter 2 Polynomials to prepare for their upcoming school exams. This study material follows the latest syllabus for Class 10 Mathematics released by CBSE. These solved questions will help you to understand about each topic and also answer difficult questions in your Mathematics test.
NCERT Based Analytical Questions for Chapter 2 Polynomials
Our expert teachers have created these Mathematics HOTS by referring to the official NCERT book for Class 10. These solved exercises are great for students who want to become experts in all important topics of the chapter. After attempting these challenging questions should also check their work with our teacher prepared solutions. For a complete understanding, you can also refer to our NCERT solutions for Class 10 Mathematics available on our website.
Master Mathematics for Better Marks
Regular practice of Class 10 HOTS will give you a stronger understanding of all concepts and also help you get more marks in your exams. We have also provided a variety of MCQ questions within these sets to help you easily cover all parts of the chapter. After solving these you should try our online Mathematics MCQ Test to check your speed. All the study resources on studiestoday.com are free and updated for the current academic year.
You can download the teacher-verified PDF for CBSE Class 10 Maths HOTs Polynomials Set 01 from StudiesToday.com. These questions have been prepared for Class 10 Mathematics to help students learn high-level application and analytical skills required for the 2025-26 exams.
In the 2026 pattern, 50% of the marks are for competency-based questions. Our CBSE Class 10 Maths HOTs Polynomials Set 01 are to apply basic theory to real-world to help Class 10 students to solve case studies and assertion-reasoning questions in Mathematics.
Unlike direct questions that test memory, CBSE Class 10 Maths HOTs Polynomials Set 01 require out-of-the-box thinking as Class 10 Mathematics HOTS questions focus on understanding data and identifying logical errors.
After reading all conceots in Mathematics, practice CBSE Class 10 Maths HOTs Polynomials Set 01 by breaking down the problem into smaller logical steps.
Yes, we provide detailed, step-by-step solutions for CBSE Class 10 Maths HOTs Polynomials Set 01. These solutions highlight the analytical reasoning and logical steps to help students prepare as per CBSE marking scheme.