NEET Chemistry Amines MCQs Set 01

Practice NEET Chemistry Amines MCQs Set 01 provided below. The MCQ Questions for NEET Amines Chemistry with answers and follow the latest NEET/ NCERT and KVS patterns. Refer to more Chapter-wise MCQs for NEET NEET Chemistry and also download more latest study material for all subjects

MCQ for NEET Chemistry Amines

NEET Chemistry students should review the 50 questions and answers to strengthen understanding of core concepts in Amines

Amines MCQ Questions NEET Chemistry with Answers

 

 

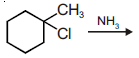
Question:

NEET Chemistry Amines Online Test Set A

  • a) Primary amine
  • b) Secondary amine
  • c) Tertiary amine
  • d) Ammonium salt

Answer: Primary amine

 

Question:  The correct IUPAC name for

NEET Chemistry Amines Online Test Set A-Q2

  • a) Allyl methylamine
  • b) 2-Amino4-pentene
  • c) 4-Aminopent-I -ene 
  • d) N-Methylprop-2-en-1-amine

Answer:  N-Methylprop-2-en-1-amine

 

Question:  The compound having the molecular formula C3H9N can represent

  • a) Trimethylamine
  • b) n-propylamine
  • c) Isopropylamine
  • d) All of these

Answer: All of these

 

Question: A secondary amine is

  • a) A compound with two –NHgroup
  • b) A compound with two carbon atoms and a –NHgroup
  • c) A compound with a –NHgroup on the carbon atom in number two position
  • d) A compound in which two of the hydrogens of NHhave been replaced by alkyl or aryl groups

Answer:  A compound in which two of the hydrogens of NHhave been replaced by alkyl or aryl groups

 

Question: Best method for preparing primary amines from alkyl halides without changing the number of carbon atoms in the chain is

  • a) Hoffmann bromamide reaction
  • b) Gabriel phthalimide synthesis
  • c) Sandmeyer reaction
  • d) Reaction with NH3

Answer: Gabriel phthalimide synthesis

 

Question: Gabriel phthalimide reaction is used for the preparation of

  • a) Primary aromatic amines
  • b) Secondary amines
  • c) Aliphatic primary amines
  • d) Tertiary amines

Answer: Aliphatic primary amines

 

Question: Gabriel phthalimide reaction is used for the preparation of

  • a) Primary aromatic amines
  • b) Secondary amines
  • c) Aliphatic primary amines
  • d) Tertiary amines

Answer: Aliphatic primary amines

 

Question:  When acetamide is treated with Br2 and caustic soda, then we get

  • a) Bromoacetic acid
  • b) Acetic acid
  • c) Methylamine
  • d) Ethane

Answer: Methylamine

 

Question:

NEET Chemistry Amines Online Test Set A-Q9

In above reaction hybridisation state of carbon changes from

  • a)

    NEET Chemistry Amines Online Test Set A-Q9-1

  • b)

    NEET Chemistry Amines Online Test Set A-Q9-2

  • c)

    NEET Chemistry Amines Online Test Set A-Q9-3

  • d)

    NEET Chemistry Amines Online Test Set A-Q9-4

Answer:

NEET Chemistry Amines Online Test Set A-Q9-3

 

Question: Amines are basic in character because they have

  • a) A lone pair of electrons on the nitrogen atom
  • b) A hydroxyl group in the molecule
  • c) Replaceable hydrogen atom
  • d) Saturated C atom

Answer: A lone pair of electrons on the nitrogen atom

 

Question: Which is most basic?

  • a) Benzylamine
  • b) Aniline
  • c) Acetamide
  • d) o-methyl aniline

Answer: Benzylamine

 

Question:  Aliphatic amines are ______ basic than NHbut aromatic amines are ______ basic than NH3 .

  • a) More, less
  • b) Less, more
  • c) Both (1) & (2)
  • d) None of these

Answer: More, less

 

Question: Amongst the following, the strongest base in aqueous medium is

  • a) CH3NH 
  • b) (CH3)3N
  • c) (CH3)2NH  
  • d)  C6H5NHCH3

Answer: (CH3)2NH  

 

Question: Which of the following is the weakest Bronsted base?

  • a)

    NEET Chemistry Amines Online Test Set A-Q14-1

  • b)

    NEET Chemistry Amines Online Test Set A-Q14-2

  • c)

    NEET Chemistry Amines Online Test Set A-Q14-3

  • d) CH3NH2

Answer:

NEET Chemistry Amines Online Test Set A-Q14-1

 

Question:  The correct increasing order of basic strength for the following compounds is

NEET Chemistry Amines Online Test Set A-Q15

  • a) II < III < I
  • b) III < I < II
  • c) III < II < I
  • d) II < I < III

Answer: II < I < III

 

Question: Which of the following is the least basic?

  • a)

    NEET Chemistry Amines Online Test Set A-Q16-1

  • b)

    NEET Chemistry Amines Online Test Set A-Q16-2

  • c)

    NEET Chemistry Amines Online Test Set A-Q16-3

  • d) All are equally basic

Answer:

NEET Chemistry Amines Online Test Set A-Q16-1

 

Question: The one which is the least basic

  • a) NH3   
  • b) C6H5NH2
  • c) (C6H5)3
  • d) (C6H5)2NH

Answer: (C6H5)3

 

Question: Strongest base is

  • a) CH2= CH – CH2– NH2
  • b) CH ≡ C – CH2– NH2
  • c) CH3CH2CH2NH2
  • d)

    NEET Chemistry Amines Online Test Set A-Q19-4

Answer:  CH3CH2CH2NH2

 

Question: CH3CH2NH2 is more basic than CH3CONH2 because

  • a) Acetamide is amphoteric in character
  • b) In CH3CH2NH2 the electron pair on N-atom is delocalised by resonance
  • c) In CH3CH2NH2 there is no resonance, while in acetamide the lone pair of electrons on N-atom is delocalised and therefore less available for protonation
  • d) Acetamide is derivative of acid

Answer:  In CH3CH2NH2 there is no resonance, while in acetamide the lone pair of electrons on N-atom is delocalised and therefore less available for protonation

 

Question: Which one is the most volatile?

  • a) CH3CH2CH2NH2
  • b) (CH3)3N
  • c)

    NEET Chemistry Amines Online Test Set A-Q21-3

  • d) CH3OH

Answer:  (CH3)3N

 

Question: Aniline on reaction with acetyl chloride gives

  • a) Phenol
  • b) Acetamide
  • c) Acetanilide
  • d) Benzene

Answer: Acetanilide

 

Question: The compound obtained by heating a mixture of a primary amine and chloroform with ethanolic potassium hydroxide is

  • a) An alkyl isocyanide
  • b) An alkyl halide
  • c) An amide
  • d) An amide and nitro compound

Answer: An alkyl isocyanide

 

Question:  The decreasing order of the basic character of NH3, CH3NH2, C2H5NH2 and C6H5NH2 is

  • a) NH3> CH3NH2> C2H5NH2> C6H5NH2
  • b) C2H5NH2> CH3NH2> NH3> C6H5NH2 
  • c) C6H5NH2> C2H5NH2> CH3NH2> NH3
  • d) CH3NH2> C2H5NH2> C6H5NH2> NH3

Answer: C2H5NH2> CH3NH2> NH3> C6H5NH2 

 

Question:  An organic compound (A) on reduction gave a compound (B). Upon treatment with HNO2 , (B) gave ethyl alcohol and on warming with CHCl3 and alcoholic KOH, (B) gave an offensive smell. The compound (A) is

  • a) CH3NH2
  • b) CH3NC  
  • c) CH3CN 
  • d) C2H5CN

Answer:  CH3CN 

 

Question: Which would not react with benzene sulphonyl chloride in aqueous NaOH?

  • a) Aniline
  • b) N, N-dimethylaniline
  • c) p-toluidine
  • d) N-ethyl aniline

Answer: N, N-dimethylaniline

 

Question: Reaction of nitrous acid with aliphatic primary amine in the cold gives

  • a) A diazonium salt
  • b) An alcohol
  • c) A nitrite
  • d) A dye

Answer: An alcohol

 

Question:  A compound X has the molecular formula C7H7NO. On treatment with Br2 and KOH, X gives an amine Y. The latter gives carbylamine test. Y upon diazotisation and coupling with phenol gives an azo dye. Thus X is

  • a) C6H5CONH2
  • b) C6H5CH2NO 
  • c) C6H5COONH
  • d) All of these

Answer: C6H5CONH2

 

Question:  An amine reacts with C6H5SO2Cl and the product is soluble in alkali, amine is

  • a) 1° amine
  • b) 2° amine
  • c) 3° amine
  • d) All of these

Answer:  1° amine

 

Question: Tautomerism is shown by

  • a) CH3– O – NO
  • b) CH3– CH2– NO2
  • c) CH3CH2CN
  • d)

    NEET Chemistry Amines Online Test Set A-Q30-4

Answer:   CH3– CH2– NO2

 

Question: The gas evolved when methylamine reacts with nitrous acid is

  • a) NH3  
  • b) N2
  • c) H2 
  • d) C2H6

Answer:  N2

 

More Questions.......................................

 

Question:  A compound ‘A’ when treated with HNO3 (in presence of H2SO4)gives compound B, which is then reduced with Sn and HCl to aniline. The compound is

  • a) Toluene
  • b) Benzene
  • c) Ethane
  • d) Acetamide

Answer: Benzene

 

Question:  A mixture of 1°, 2° and 3° amines can be separated by Hinsberg’s reagent which is

  • a) Benzoyl chloride
  • b) Acetyl chloride
  • c) Benzene sulphonyl chloride
  • d) Benzyl chloride

Answer: Benzene sulphonyl chloride

 

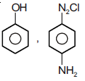
Question:  Identify X in the series.

NEET Chemistry Amines Online Test Set A-Q34

  • a)

    NEET Chemistry Amines Online Test Set A-Q34-1

  • b)

    NEET Chemistry Amines Online Test Set A-Q34-2

  • c)

    NEET Chemistry Amines Online Test Set A-Q34-3

  • d)

    NEET Chemistry Amines Online Test Set A-Q34-4

Answer:

NEET Chemistry Amines Online Test Set A-Q34-2

 

Question: Bromine water reacts with aniline to give

  • a) o-Bromoaniline
  • b) m-Bromoaniline
  • c) p-Bromoaniline 
  • d) 2, 4, 6-Tribromoaniline

Answer:  2, 4, 6-Tribromoaniline

 

Question: Amines are highly soluble in

  • a) CCl4
  • b) Diethyl ether
  • c) Benzene
  • d) Water

Answer: Water

 

Question:  Which of the following forms a stable diazonium salt at 273 - 278 K?

  • a) Ethylamine
  • b) Aniline
  • c) Dimethylamine
  • d) Benzylamine

Answer: Aniline

 

Question: Which one of the following compounds gives dye test?

  • a) Aniline
  • b) Methylamine
  • c) Diphenylamine
  • d) Ethylamine

Answer: Aniline

 

Question:  2, 4, 6-tribromo aniline is a product of

  • a) Electrophilic addition on C6H5NH2    
  • b) Electrophilic substitution on C6H5NH2
  • c) Nucleophilic addition on C6H5NH2 
  • d) Nucleophilic substitution on C6H5NH2

Answer:  Electrophilic substitution on C6H5NH2

 

Question: Benzenediazonium chloride on reaction with water gives

  • a) Phenol
  • b) Aniline
  • c) Benzylamine
  • d) Benzaldehyde

Answer: Phenol

 

Question: The strongest ortho-para and strongest meta directing groups are respectively

  • a) –NO2 and –NH2
  • b) –CONH2 and –NH2 
  • c) –NH2 and –NO2
  • d) –NH2 and CONH2

Answer:  –NH2 and –NO2

 

Question: Benzenediazonium chloride on reaction with phenol in weakly basic medium gives

  • a) Diphenyl ether
  • b) p-Hydroxyazobenzene 
  • c) Chlorobenzene
  • d) Benzene

Answer:  p-Hydroxyazobenzene 

 

Question: When benzenediazonium chloride is heated with fluoro boric acid, fluorobenzene is formed. This reaction is called

  • a) Balz Schiemann reaction
  • b) Gattermann reaction
  • c) Sandmeyer reaction
  • d) Hofmann bromamide reaction

Answer: Balz Schiemann reaction

 

Question: Benzenediazonium chloride is reduced to benzene by

  • a) Water
  • b) Hypophosphorous acid
  • c) Hypophosphoric acid
  • d) Phosphine

Answer: Hypophosphorous acid

 

Question: Diazotisation can be carried out by the action of NaNO2 and dilute HCI at ice cold temperature

  • a) Aromatic secondary amine
  • b) Aromatic primary amine
  • c) Aromatic nitro compound
  • d) Aliphatic amine

Answer: Aromatic primary amine

 

Question: When benzene diazonium chloride is treated with cuprous chloride and HCI the product formed is

  • a) Chlorobenzene
  • b) Benzene
  • c) Phenol
  • d) Chloroazobenzene

Answer: Chlorobenzene

 

Question:  The end product (Z) of the following reaction is

NEET Chemistry Amines Online Test Set B-Q46

  • a) A cyanide
  • b) A carboxylic acid
  • c) An amine
  • d) An arene

Answer: An arene

 

Question:

 

NEET Chemistry Amines Online Test Set B-SB-Q1

The product (A) will be

  • a) RNHCOCH3 
  • b) RN(COCH3)2
  • c)

    NEET Chemistry Amines Online Test Set B-SB-Q1-3

  • d) R–CONH2

Answer:  RNHCOCH3 

 

Question: Alanine, the amino acid the respective structure at pH = 2 and pH = 10 will be

  • a)

    NEET Chemistry Amines Online Test Set B-SB-Q3-1

  • b)

    NEET Chemistry Amines Online Test Set B-SB-Q3-2

  • c)

    NEET Chemistry Amines Online Test Set B-SB-Q3-3

  • d)

    NEET Chemistry Amines Online Test Set B-SB-Q3-4

Answer:

NEET Chemistry Amines Online Test Set B-SB-Q3-3

 

Question: Arrange the following compound in decreasing order of boiling point

  • a) (CH3)3N < CH3NHC2H5< C3H7NH2< C3H7OH  
  • b) (CH3)3N < C3H7NH2< C3H7OH < CH3NHC2H5
  • c) C3H7NH2< CH3NHC2H5< (CH3)3N3H7OH   
  • d) (CH3)3N < CH3NHC2H5< C3H7OH < CH3H7NH2

Answer:  (CH3)3N < CH3NHC2H5< C3H7NH2< C3H7OH  

 

Question: Which one of the following on reduction with lithium aluminium hydride yields a secondary amine?

  • a) Methyl isocyanide
  • b) Acetamide
  • c) Methyl cyanide
  • d) Nitroethane

Answer: Methyl isocyanide

 

Question: Which product is formed, when acetonitrile is hydrolysed partially with cold concentrated HCl?

  • a) Methyl cyanide
  • b) Acetic anhydrides
  • c) Acetic acid
  • d) Acetamide

Answer: Acetamide

 

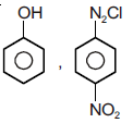
Question: Which of the following pair make fastest coupling reaction in acidic medium?

  • a)

    NEET Chemistry Amines Online Test Set B-SB-Q5-1

  • b)

    NEET Chemistry Amines Online Test Set B-SB-Q5-3

  • c)

    NEET Chemistry Amines Online Test Set B-SB-Q5-3

  • d)

    NEET Chemistry Amines Online Test Set B-SB-Q5-4

Answer:

NEET Chemistry Amines Online Test Set B-SB-Q5-3

 

 

Question: Which of the following statements about primary amines is ‘False’?

  • a) Alkyl amines are stronger bases than ammonia
  • b) Alkyl amines are stronger bases than aryl amines
  • c) Alkyl amines react with nitrous acid to produce alcohols
  • d) Aryl amines react with nitrous acid to produce phenols

Answer: Aryl amines react with nitrous acid to produce phenols

 

Question: The reaction of the benzyl chloride with sodium cyanide followed by reduction with hydrogen in the presence of nickel gives

  • a) β-phenyl ethylamine 
  • b) N-isobutylaniline
  • c) Benzyl amine
  • d) Aniline

Answer: β-phenyl ethylamine  

 

Question: The most reactive compound towards Hofmann bromamide degradation is

  • a)

    NEET Chemistry Amines Online Test Set B-SB-Q9-1

  • b)

    NEET Chemistry Amines Online Test Set B-SB-Q9-2

  • c)

    NEET Chemistry Amines Online Test Set B-SB-Q9-3

  • d)

    NEET Chemistry Amines Online Test Set B-SB-Q9-4

Answer:

NEET Chemistry Amines Online Test Set B-SB-Q9-2

 

Question: Amine is obtained as major product in

  • a)

    NEET Chemistry Amines Online Test Set B-SB-Q10-1

  • b)

    NEET Chemistry Amines Online Test Set B-SB-Q10-2

  • c)

    NEET Chemistry Amines Online Test Set B-SB-Q10-3

  • d) All of these

Answer:

NEET Chemistry Amines Online Test Set B-SB-Q10-3

 

Question:

NEET Chemistry Amines Online Test Set B-SB-Q11

The major product (B) is

  • a)

    NEET Chemistry Amines Online Test Set B-SB-Q11-1

  • b)

    NEET Chemistry Amines Online Test Set B-SB-Q11-2

  • c)

    NEET Chemistry Amines Online Test Set B-SB-Q11-3

  • d)

    NEET Chemistry Amines Online Test Set B-SB-Q11-4

Answer:

NEET Chemistry Amines Online Test Set B-SB-Q11-3

 

 

Question: Benzylamine and aniline can be distinguish by

  • a) HNO2 acid 
  • b) CHCl3/KOH
  • c) Br2 water 
  • d) Schiff ’s reagent

Answer: Br2 water 

 

Question:  4-Nitro-N, N-dimethyl benzenamine is

  • a)

    NEET Chemistry Amines Online Test Set B-SB-Q13-1

  • b)

    NEET Chemistry Amines Online Test Set B-SB-Q13-2

  • c)

    NEET Chemistry Amines Online Test Set B-SB-Q13-3

  • d)

    NEET Chemistry Amines Online Test Set B-SB-Q13-4

Answer:

NEET Chemistry Amines Online Test Set B-SB-Q13-3

 

Question:  N-phenyl hydroxylamine is obtained when nitro benzene is reacted with

  • a) Sn/HCl
  • b) Zn/NH4Cl/H2O
  • c) As2O3/NaOH  
  • d) Zn/NaOH

Answer:   Zn/NH4Cl/H2O

 

Biomolecule
Biomolecule MCQs
Chemical Bonding
Chemical Bonding MCQs
Chemical Thermodynamics
Chemical Thermodynamics MCQs
Chemistry in Everyday Life
In Everyday Life MCQs
Classification of Elements
Classification of Elements MCQs
D and F Block Elements
D and F Block Elements MCQs
Isolation of Metals
Isolation of Metals MCQs
Organic Chemistry
Organic Chemistry MCQs
Organic Compound Containing Halogens
Organic Compounds Containing Halogens MCQs
Organic Compound Containing Nitrogen
Organic Compound Containing Nitrogen MCQs
Organic Compounds
Organic Compounds MCQs
Organic Compounds Containing Oxygen
Organic Compounds Containing Oxygen MCQs
P Block Elements
P Block Elements MCQs
Practicals
Practicals MCQs
Redox Reactions and Electrochemistry
Redox Reactions and Electrochemistry MCQs
S Block Elements
S Block Elements MCQs
States of Matter
States of Matter MCQs
Structure of Atom
Structure of Atom MCQs

MCQs for Amines Chemistry NEET

Students can use these MCQs for Amines to quickly test their knowledge of the chapter. These multiple-choice questions have been designed as per the latest syllabus for NEET Chemistry released by NEET. Our expert teachers suggest that you should practice daily and solving these objective questions of Amines to understand the important concepts and better marks in your school tests.

Amines NCERT Based Objective Questions

Our expert teachers have designed these Chemistry MCQs based on the official NCERT book for NEET. We have identified all questions from the most important topics that are always asked in exams. After solving these, please compare your choices with our provided answers. For better understanding of Amines, you should also refer to our NCERT solutions for NEET Chemistry created by our team.

Online Practice and Revision for Amines Chemistry

To prepare for your exams you should also take the NEET Chemistry MCQ Test for this chapter on our website. This will help you improve your speed and accuracy and its also free for you. Regular revision of these Chemistry topics will make you an expert in all important chapters of your course.

FAQs

Where can I access latest NEET Chemistry Amines MCQs Set 01?

You can get most exhaustive NEET Chemistry Amines MCQs Set 01 for free on StudiesToday.com. These MCQs for NEET Chemistry are updated for the 2026-27 academic session as per NEET examination standards.

Are Assertion-Reasoning and Case-Study MCQs included in the Chemistry NEET material?

Yes, our NEET Chemistry Amines MCQs Set 01 include the latest type of questions, such as Assertion-Reasoning and Case-based MCQs. 50% of the NEET paper is now competency-based.

How do practicing Chemistry MCQs help in scoring full marks in NEET exams?

By solving our NEET Chemistry Amines MCQs Set 01, NEET students can improve their accuracy and speed which is important as objective questions provide a chance to secure 100% marks in the Chemistry.

Do you provide answers and explanations for NEET Chemistry Amines MCQs Set 01?

Yes, Chemistry MCQs for NEET have answer key and brief explanations to help students understand logic behind the correct option as its important for 2026 competency-focused NEET exams.

Can I practice these Chemistry NEET MCQs online?

Yes, you can also access online interactive tests for NEET Chemistry Amines MCQs Set 01 on StudiesToday.com as they provide instant answers and score to help you track your progress in Chemistry.