JEE Mathematics Application of Derivatives MCQs Set 01

Practice JEE Mathematics Application of Derivatives MCQs Set 01 provided below. The MCQ Questions for JEE Application of Derivatives Mathematics with answers and follow the latest JEE/ NCERT and KVS patterns. Refer to more Chapter-wise MCQs for JEE JEE Mathematics and also download more latest study material for all subjects

MCQ for JEE Mathematics Application of Derivatives

JEE Mathematics students should review the 50 questions and answers to strengthen understanding of core concepts in Application of Derivatives

Application of Derivatives MCQ Questions JEE Mathematics with Answers

 

EXERCISE- 1 (SPECIAL DPP)
SECTION-A [TANGENT & NORMAL]
SPECIALDPP-1

JEE Mathematics Application of Derivatives MCQs Set A-

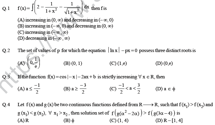
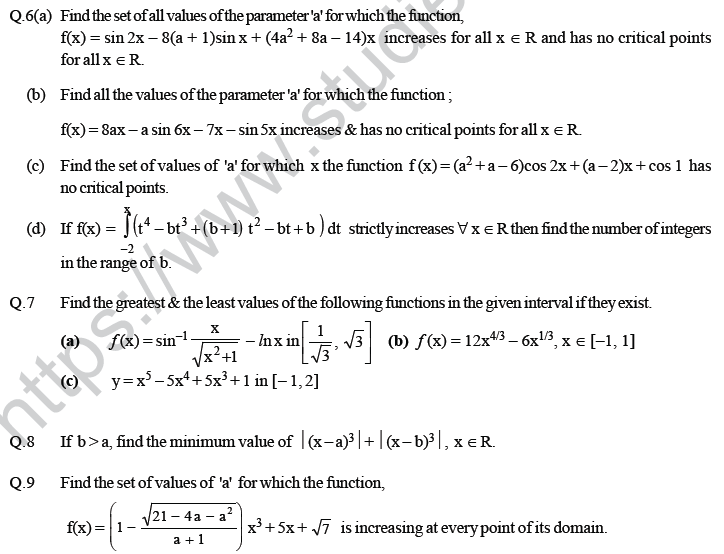
JEE Mathematics Application of Derivatives MCQs Set A-1

JEE Mathematics Application of Derivatives MCQs Set A-2  

ANSWERS
 
Q.1 D     Q.2 C   Q.3 A   Q.4 C   Q.5 D
Q.6 B     Q.7 C   Q.8 D   Q.9 C   Q.10 C
Q.11 A   Q.12 A 
SPECIAL DPP-2
 
JEE Mathematics Application of Derivatives MCQs Set A-3
JEE Mathematics Application of Derivatives MCQs Set A-4
JEE Mathematics Application of Derivatives MCQs Set A-5
 
ANSWERS
 
SPECIALDPP-2
 
Q.1 C
Q.2 C
Q.3 D
Q.4 C
Q.5 C
Q.6 C
Q.7 C
Q.8 C
Q.9 AC
Q.10 ABC 
 
SECTION-B [MONOTONICITY]
SPECIALDPP-1

JEE Mathematics Application of Derivatives MCQs Set A-6
JEE Mathematics Application of Derivatives MCQs Set A-7
JEE Mathematics Application of Derivatives MCQs Set A-8
 
ANSWERS 
SECTION-B [MONOTONICITY]
SPECIALDPP-1

 

Q.1 B
Q.2 A
Q.3 D
Q.4 B
Q.5 A

 

Q.6 C
Q.7 C
Q.8 D
Q.9 C
Q.10 B   
SPECIALDPP-2
 
JEE Mathematics Application of Derivatives MCQs Set A-9
JEE Mathematics Application of Derivatives MCQs Set A-10
 
 
ANSWERS
 
SPECIALDPP-2
 
Q.1 C
Q.2 A
Q.3 A
Q.4 C
Q.5 B
Q.6 D
Q.7 C
Q.8 B
Q.9 A
Q.10 D
SPECIALDPP-3
 
JEE Mathematics Application of Derivatives MCQs Set A-11
JEE Mathematics Application of Derivatives MCQs Set A-12
JEE Mathematics Application of Derivatives MCQs Set A-13
JEE Mathematics Application of Derivatives MCQs Set A-14
 

ANSWERS
 
SPECIALDPP-3
 
Q.1 B
Q.2 D
Q.3 C
Q.4 D
Q.5 C
Q.6 B
Q.7 C
Q.8 C
Q.9 C
Q.10 A
 
SECTION-C [MAXIMA & MINIMA]
SPECIALDPP-1
 
 
JEE Mathematics Application of Derivatives MCQs Set A-15
JEE Mathematics Application of Derivatives MCQs Set A-16
JEE Mathematics Application of Derivatives MCQs Set A-17
 
ANSWERS
 
SPECIALDPP-1
 
Q.1 C
Q.2 C
Q.3 B
Q.4 C
Q.5 A
Q.6 A
Q.7 A
Q.8 C
Q.9 B
Q.10 D 
SPECIALDPP-2
 
JEE Mathematics Application of Derivatives MCQs Set A-18
JEE Mathematics Application of Derivatives MCQs Set A-19
JEE Mathematics Application of Derivatives MCQs Set A-20
 

ANSWERS
SPECIALDPP-2
 
Q.1 A
Q.2 B
Q.3 B
Q.4 C
Q.5 A
Q.6 D
Q.7 A
Q.8 B
Q.9 A
Q.10 4
 
SPECIALDPP-3
 
 
JEE Mathematics Application of Derivatives MCQs Set A-21
JEE Mathematics Application of Derivatives MCQs Set A-22
JEE Mathematics Application of Derivatives MCQs Set A-23
 
ANSWERS
 
SPECIALDPP-3
 

 

Q.1 C
Q.2 A
Q.3 B
Q.4 D
Q.5 C

 

Q.6 ABCD
Q.7 BCD
Q.8 AC

 

Q.9 (A) R; (B) S; (C) T; (D) Q
Q.10 1200

 

 
 
 
EXERCISE-2
SECTION-A [TANGENT & NORMAL]
 
JEE Mathematics Application of Derivatives MCQs Set A-24
JEE Mathematics Application of Derivatives MCQs Set A-25
JEE Mathematics Application of Derivatives MCQs Set A-26
 
ANSWERS
 
JEE Mathematics Application of Derivatives MCQs Set A-Ans
 
 
 
 
SECTION-B [MONOTONICITY]
 
JEE Mathematics Application of Derivatives MCQs Set A-27
JEE Mathematics Application of Derivatives MCQs Set A-28
JEE Mathematics Application of Derivatives MCQs Set A-29
JEE Mathematics Application of Derivatives MCQs Set A-30
JEE Mathematics Application of Derivatives MCQs Set A-31
 
ANSWERS
 
JEE Mathematics Application of Derivatives MCQs Set A-Sec-B
 
 
 
JEE Mathematics Application of Derivatives MCQs Set A-32
JEE Mathematics Application of Derivatives MCQs Set A-33
JEE Mathematics Application of Derivatives MCQs Set A-34
JEE Mathematics Application of Derivatives MCQs Set A-35
JEE Mathematics Application of Derivatives MCQs Set A-36
JEE Mathematics Application of Derivatives MCQs Set A-37
ANSWERS
 
JEE Mathematics Application of Derivatives MCQs Set A-Sec-C
 
 
EXERCISE-3
SECTION-A
(JEE-ADVANCED Previous Year's Questions)
 
 
JEE Mathematics Application of Derivatives MCQs Set A-38
 
 
JEE Mathematics Application of Derivatives MCQs Set A-39
JEE Mathematics Application of Derivatives MCQs Set A-40
JEE Mathematics Application of Derivatives MCQs Set A-40
JEE Mathematics Application of Derivatives MCQs Set A-41
JEE Mathematics Application of Derivatives MCQs Set A-42
JEE Mathematics Application of Derivatives MCQs Set A-43
JEE Mathematics Application of Derivatives MCQs Set A-Q13
JEE Mathematics Application of Derivatives MCQs Set A-Q16
 
ANSWERS
JEE Mathematics Application of Derivatives MCQs Set A-Ex-3,Set A
 
JEE Mathematics Application of Derivatives MCQs Set A-Max
JEE Mathematics Application of Derivatives MCQs Set A-Max1
JEE Mathematics Application of Derivatives MCQs Set A-Max2
JEE Mathematics Application of Derivatives MCQs Set A-Max3
JEE Mathematics Application of Derivatives MCQs Set A-Max4
 
ANSWERS
 
 
JEE Mathematics Application of Derivatives MCQs Set A-SecB-MMM
 
 
JEE Mathematics Application of Derivatives MCQs Set A-SecB
JEE Mathematics Application of Derivatives MCQs Set A-SecB-
JEE Mathematics Application of Derivatives MCQs Set A-SecB-1
ANSWERS
 
SECTION-B
TANGENTAND NORMAL
 
Q.1 1
Q.2 2
Q.3 4
Q.4 1
Q.5 4
Q.6 2
Q.7 3
Q.8 2
Q.9 2
Q.10 2

 

MONOTONICITY
 
Q.1 Howmany real solution does the equation x7 + 14x5 + 16x3 + 30x – 560 = 0 have? [AIEEE 2008]
(1) 1 (2) 3 (3) 5 (4) 7 
 
Q.2 The real number k forwhich the equation 2x3 + 3x + k = 0 has two distinct real roots in [0, 1] [JEE (Main) 2013]
(1) lies between 2 and 3.
(2) lies between – 1 and 0.
(3) does not exist. (4) lies between 1 and 2. 
 
Q.3 If f and g are differentiable functions in [0, 1] satisfying f (0) = 2 = g (1), g(0) = 0 and f (1) = 6, then for some c ε ] 0, 1 [JEE (Main) 2014]
(1) f ' (c) = 2 g ' (c)
(2) 2 f ' (c) = g ' (c)
(3) 2 f ' (c) = 3 g ' (c)
(4) f ' (c) = g ' (c)
 
JEE Mathematics Application of Derivatives MCQs Set A-SecB-minima
JEE Mathematics Application of Derivatives MCQs Set A-SecB-minima-
JEE Mathematics Application of Derivatives MCQs Set A-SecB-minima-1
JEE Mathematics Application of Derivatives MCQs Set A-SecB-minima-2
 
 
 
JEE Mathematics Application of Derivatives MCQs Set A-SecB-minima-3

 

 
 
 

MCQs for Application of Derivatives Mathematics JEE

Students can use these MCQs for Application of Derivatives to quickly test their knowledge of the chapter. These multiple-choice questions have been designed as per the latest syllabus for JEE Mathematics released by JEE. Our expert teachers suggest that you should practice daily and solving these objective questions of Application of Derivatives to understand the important concepts and better marks in your school tests.

Application of Derivatives NCERT Based Objective Questions

Our expert teachers have designed these Mathematics MCQs based on the official NCERT book for JEE. We have identified all questions from the most important topics that are always asked in exams. After solving these, please compare your choices with our provided answers. For better understanding of Application of Derivatives, you should also refer to our NCERT solutions for JEE Mathematics created by our team.

Online Practice and Revision for Application of Derivatives Mathematics

To prepare for your exams you should also take the JEE Mathematics MCQ Test for this chapter on our website. This will help you improve your speed and accuracy and its also free for you. Regular revision of these Mathematics topics will make you an expert in all important chapters of your course.

FAQs

Where can I access latest JEE Mathematics Application of Derivatives MCQs Set 01?

You can get most exhaustive JEE Mathematics Application of Derivatives MCQs Set 01 for free on StudiesToday.com. These MCQs for JEE Mathematics are updated for the 2026-27 academic session as per JEE examination standards.

Are Assertion-Reasoning and Case-Study MCQs included in the Mathematics JEE material?

Yes, our JEE Mathematics Application of Derivatives MCQs Set 01 include the latest type of questions, such as Assertion-Reasoning and Case-based MCQs. 50% of the JEE paper is now competency-based.

How do practicing Mathematics MCQs help in scoring full marks in JEE exams?

By solving our JEE Mathematics Application of Derivatives MCQs Set 01, JEE students can improve their accuracy and speed which is important as objective questions provide a chance to secure 100% marks in the Mathematics.

Do you provide answers and explanations for JEE Mathematics Application of Derivatives MCQs Set 01?

Yes, Mathematics MCQs for JEE have answer key and brief explanations to help students understand logic behind the correct option as its important for 2026 competency-focused JEE exams.

Can I practice these Mathematics JEE MCQs online?

Yes, you can also access online interactive tests for JEE Mathematics Application of Derivatives MCQs Set 01 on StudiesToday.com as they provide instant answers and score to help you track your progress in Mathematics.