Practice NEET Biology Biomolecules MCQs Set 05 provided below. The MCQ Questions for NEET Biomolecules Biology with answers and follow the latest NEET/ NCERT and KVS patterns. Refer to more Chapter-wise MCQs for NEET NEET Biology and also download more latest study material for all subjects
MCQ for NEET Biology Biomolecules
NEET Biology students should review the 50 questions and answers to strengthen understanding of core concepts in Biomolecules
Biomolecules MCQ Questions NEET Biology with Answers
Question: Which of the following cell organelle is stored the information of synthesize Proteins
- a) Nucleus
- b) Mitochondria
- c) Chloroplast
- d) Cell membrane
Answer: Nucleus
Question: Which of following elements are stored the information of Proteins?
- a) Nucleic acid
- b) Amino acid
- c) Polysaccharide
- d) Lipid
Answer: Nucleic acid
Question: Find out the Miss matched pairs:
- a) Protein – important compounds of nucleus
- b) Nucleic acid – major components of chromosomes
- c) Amino acid – an amphoteric compound
- d) Enzymes – Colloidal catalysts
Answer: Protein – important compounds of nucleus
Question: Which of the following are linked together to form Proteins ?
- a) Amino acids
- b) Sugar
- c) Nitrogen base
- d) Phosphate
Answer: Amino acids
Question: Which one of the following is incorrect for Protein:
- a) They possess C, H, O, N and P in their constitution
- b) They are very important compounds of cytoplasm
- c) They are heteropolymer of amino acids
- d) They transport some nutrients across cell membrane
Answer: They possess C, H, O, N and P in their constitution
Question: Total numbers of amino acids are involved in protein synthesis in Plants:
- a) 20
- b) 13
- c) 22
- d) 10
Answer: 20
Question: Which one is the most abundant protein in the animal world?
- a) Collagen
- b) keratin
- c) RUBISCO
- d) Hemoglobin
Answer: Collagen
Question: Full form of RUBISCO is:
- a) Ribulose Biphosphate Carboxylase Oxygenare
- b) Ribuose Bisulphate Carboxylase Oxygenare
- c) Ribuose Biphosphate Carboxylase Oxygenare
- d) Ribulose Bisulphate Carboxylase Oxygenare
Answer: Ribulose Biphosphate Carboxylase Oxygenare
Question: Match the items in column – I with appropriate items in column – II and pick up correct ans
Column – I Column – II
(P) RUBISCO (i) contractile protein
(Q) Keratin (ii) insoluble protein
(R) Hemoglobin (iii) most abundant protein
(S) globular (iv) conjugated protein
- a) P Q R S-iii ii iv i
- b) P Q R S-iii iv ii
- c) P Q R S-iv I iii ii
- d) P Q R S-I ii iv iii
Answer: P Q R S-iii ii iv i
Question: Polypeptide chain of amino acid is
- a) Protein
- b) Cellulose
- c) Glycogen
- d) Nucleic acid
Answer: Protein
Question: At high temperature proteins are
- a) A or b
- b) inactive
- c) Destroyed
- d) None of these
Answer: A or b
Question: The structure of protein can be destroyed by which rays
- a) Ultra violet rays
- b) Infra red rays
- c) Radio waves
- d) Micro waves
Answer: Ultra violet rays
More Questions..................................
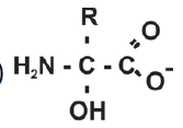
Question: Amino acid is an amphoteric compound because
- a) It contains an amino group and a carboxyl group
- b) It contains an amino group and a functional group
- c) It contains a functional group and a carboxyl group
- d) It contains one H and a-R group
Answer: It contains an amino group and a carboxyl group
Question: The unique property of each amino acid is determined by its particular
- a) –R group
- b) peptide bond
- c) –NH2 group
- d) –COOH group
Answer: –R group
Question: Which of the following is the most widely classification method of amino acid
- a) Lehninger method
- b) Linnaeus method
- c) Whittaker method
- d) Ernest chain method
Answer: Ernest chain method
Question: Which one is the correct group of amino acids with polar and negatively
- a) Glutamate, Aspartic acid
- b) Glutamate, Tyrosine
- c) Tryptophan, Proline
- d) Argentine, Lysine
Answer: Glutamate, Aspartic acid
Question: Find out the one group of amino acids which are related with each other
- a) Serine, Tyrosine
- b) Lysine, Laucine
- c) Glutamate, Proline
- d) Valine, Histidine
Answer: Serine, Tyrosine
Question: Aspartic acid and lysine are linkage each other with which bond
- a) Peptide bond
- b) Glycoside bond
- c) Ester bond
- d) Phosphodiaster bond
Answer: Peptide bond
Question: Match column – I and column –II and select the correct option
Column – I column – II
(P)Arginine (i) polar and negatively changed ‘R’ group
(Q) Glassine (ii) non polar ‘R’ group
(R) Methionine (iii) polar and positively changed ‘R’ group
(S) Aspartic acid (iv) polar and ‘R’ group
- a) P Q R S-iii iv ii i
- b) P Q R S-ii I iv ii
- c) P Q R S-I iv ii iii
- d) P Q R S-iii ii iv i
Answer: P Q R S-iii iv ii i
Question: Amino acids are attached each other with which bond?
- a) peptide bonds
- b) Hydrogen bonds
- c) Ester bonds
- d) Sulphur bonds
Answer: peptide bonds
Question: Dipeptide mean
- a) Two similar or dissimilar amino acids attached by peptide bond
- b) Two similar or dissimilar proteins attached by peptide bond
- c) Two similar amino acids attached by peptide bond
- d) Two dissimilar amino acids attached by peptide bond
Answer: Two similar or dissimilar amino acids attached by peptide bond
Question: Which macromolecule is the most diverse in cell and controlling biochemical Properties?
- a) Polypeptide
- b) Polynucleotide
- c) Polysaccharide
- d) polysomes
Answer: Polypeptide
Question: The primary structure of proteins is due to
- a) Peptide bonds
- b) Ionic bonds
- c) Hydrogen bond
- d) S-S Linkages
Answer: Peptide bonds
Question: Proteins means
- a) Macromolecule
- b) Soluble
- c) Colloidal
- d) Micromolecule
Answer: Macromolecule
Question: The structure of protein can be denatured by
- a) At high temperature
- b) In dilute solution of acid
- c) In the presence of CO2
- d) a, b, c all
Answer: At high temperature
Question: Polypeptide means
- a) A polypeptide chains is formed by more than two amino acids
- b) A polypeptide chain is formed by more than two nucleotides
- c) A polypeptide chains is formed by many similar amino acids
- d) A polypeptide chain is formed by many similar nucleotides
Answer: A polypeptide chains is formed by more than two amino acids
Question: Which bimolecular fights against infectious organisms
- a) Protein
- b) Enzyme
- c) Nucleic acid
- d) Lipid
Answer: Protein
Question: Which one of the following is an amphoteric compound?
- a) Glutamic acid
- b) Fatty acid
- c) Nucleic acid
- d) Cellulose
Answer: Glutamic acid
Question: Which one of the following statement about amino acid is incorrect?
- a) They are very important compounds of cytoplasm
- b) All protein molecules are a heteropolymer of amino acid
- c) The structure of almost all amino acids are similar except their ‘R’ group
- d) They are classified on the basis of the ‘R’ group
Answer: They are very important compounds of cytoplasm
Question: Which of the following process is formed by – COOH linked to – NH2 (peptide bond)
- a) Dehydrogenation
- b) Oxidation
- c) Reduction
- d) Hydrogenation
Answer: Dehydrogenation
Question: End of every polypeptide chain is known as
- a) Terminal
- b) Antenna
- c) Signal
- d) Template
Answer: Terminal
Question: Which are the terminals of polypeptide chain?
- a) ‘N’ and ‘C’ terminal
- b) ‘P’ and ‘R’ terminal
- c) ‘R’ and ‘N’ terminal
- d) ‘H’ and ‘N’ terminal
Answer: ‘N’ and ‘C’ terminal
Question: The secondary structure of protein means
- a) a, b, c all
- b) The folding of polypeptide chain due to the presence of hydrogen bond
- c) The helically coilde like polypeptide chain
- d) The flat and sheet like polypeptide chain
Answer: a, b, c all
Question: Which of the following is correct for the quaternary structure of protein?
- a) a and b both
- b) It represents a three dimensional form of whole protein
- c) It forms with interaction between different polypeptide Chain
- d) None of these.
Answer: a and b both
Question: What is the shape of the three dimensional structure of protein?
- a) Fibrous
- b) Globular
- c) Flat sheet like
- d) None of these.
Answer: Fibrous
Question: Which of the following is Dipeptide?
- a)
- b)
- c)
- d)
Answer:
Question: Which of the following is an amino acid?
- a)
- b)
- c)
- d)
Answer:
Question: Proteins Consist which one of the following
- a) One or more polypeptide chain
- b) One polypeptide
- c) One polypeptide chain
- d) None of these.
Answer: One or more polypeptide chain
Question: What –‘X’ indicates in the given figure
- a) C-terminal
- b) N-terminal
- c) P-terminal
- d) H-terminal
Answer: C-terminal
Question: Which is the correct option for the following diagram?
- a) Polypeptide chain
- b) Fibrous protein
- c) Globular protein
- d) Three dimensional form of protein
Answer: Polypeptide chain
Question: Which of the following bond groups are involved in the formation of quaternary Protein?
- a) Disulphide bond, Ionic bond
- b) Peptide bond, covalent bond
- c) Easter bond, phosphodiester bond
- d) None of these.
Answer: Disulphide bond, Ionic bond
Question: Which one is not correct for hemoglobin?
- a) It is a protein which imparts color to the body
- b) It is known as conjugated protein
- c) It is molecule which contains four hacme groups.
- d) None of these
Answer: It is a protein which imparts color to the body
Question: Find out the miss matched pair
- a) Immunoglobulin- responsible for movements of body
- b) Chlorophyll – must for photosynthesis
- c) Hemoglobin – transport of oxygen
- d) Melanin-imparts color to the body
Answer: Immunoglobulin- responsible for movements of body
Question: Which of the following statement is incorrect about lmmunoglobulin?
- a) It present in blood cell
- b) It consist of more than one polypeptide chain
- c) It has the property of immunity
- d) None of these
Answer: It present in blood cell
Question: What does the following diagram show?
- a) polypeptide chain
- b) Quaternary structure of protein
- c) Molecule structure of protein
- d) Secondary structure of protein
Answer: polypeptide chain
Question: Give the correct names of A, B and C shown in the figure
- a)
- b)
- c)
Both
- d) None of these
Answer:
Question: The classification of the protein in two types depends on
- a) Structure and function
- b) Numbers of amino acid
- c) Types of amino acid
- d) None of these
Answer: Structure and function
Question: Which one molecule is finding a Weakly acidic substrate of unknown function in The nuclei of human WBC ?
- a) Nucleic acid
- b) nuclein
- c) Protein
- d) Chromosome
Answer: Nucleic acid
Question: Nuclein separated in to which components?
- a) Protein + Nucleic acid
- b) Nuceicoside + Nucleotide
- c) Protein + chromosome
- d) Nucleic acid + nitrogen base
Answer: Protein + Nucleic acid
Question: Which one of the following is the major component of chromosome?
- a) Nucleic acid
- b) Protein
- c) Nitrogen base
- d) Lipid
Answer: Nucleic acid
Question: Nucleic acid contains which group of molecules in their constitution?
- a) Small gene carrying bodies in the nuclei of complex cells
- b) A major components of chromosomes
- c) Polynucleotide of structural units known as nucleotides
- d) None of these
Answer: Small gene carrying bodies in the nuclei of complex cells
Question: Nucleic acids means
- a) Both a & b
- b) A major components of chromosomes
- c) Polynucleotide of structural units known as nucleotides
- d) None of these
Answer: Both a & b
Question: Which are the structural units of DNA?
- a) nucleotide
- b) Nitrogen base
- c) Pentose sugar
- d) phosphoric acid
Answer: nucleotide
Question: Which one group is the subunit of nucleotide?
- a) pentose sugar, Nitrogen base , phosphoric acid
- b) Nitrogen base, sugar
- c) Purina, pyrimidine, phosphorus
- d) Pentose sugar, nitrogen
Answer: pentose sugar, Nitrogen base , phosphoric acid
Question: Which of the following structure is correct for ribose sugar?
- a)
- b)
- c) Both
- d) None of these
Answer:
Question: Which one is the correct structure of phosphoric acid?
- a)
- b)
- c) both
Answer:
Question: Which of the following is correct for deoxyribose sugar?
- a)
- b)
- c) Both
- d) None of these.
Answer:
Question: Which of the following will be characteristically different in different living organism?
- a) Nucleic acid
- b) Carbohydrate
- c) Enzyme
- d) Protein
Answer: Nucleic acid
Question: Which one is not a polymer?
- a) Nucleotide
- b) Enzyme
- c) Enzyme
- d) ATP
Answer: Nucleotide
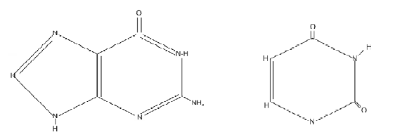
Question: The illustration given below is which nitrogen base
- a) Thymine
- b) Uracil
- c) Cytosine
- d) Ribose
Answer: Thymine
Question: The illustration given below is which nitrogen base
- a) Adenine
- b) Uracil
- c) Cytosine
- d) Guanine
Answer: Adenine
Question: The following diagram represents the nitrogenous bases of nucleic acid Molecules Identify the correct combination
- a) A= Guanine , B= Uracil
- b) A= Cytosine , B= Adenine
- c) A= Adenine , B= Thymine
- d) A= thymine , B= Guanine
Answer: A= Guanine , B= Uracil
Question: What is Ribonucleoside?
- a) Ribose + Nitrogen base
- b) Ribose + Adenine
- c) Ribose + Nucleic acid
- d) Ribose + Phosphate
Answer: Ribose + Nitrogen base
Question: What ‘A’ and ‘B’ indicates in the given diagram?
- a) CH2, B= H
- b) A= CH, B= OH
- c) A= CH2OH, B= H
- d) A= CH2OH, B= OH
Answer: CH2, B= H
Question: Which two sequential carbon number of nucleotides join through phosphodiaster bond?
- a) 3 and 5
- b) 1 and 4
- c) 1 and 6
- d) 2 and 5
Answer: 3 and 5
Question: What is Guanine?
- a) Purine
- b) Hormone
- c) Enzyme
- d) Pyrimidine
Answer: Purine
Question: Ribonucleoside formed from ribonucleotide while:-
- a) It made from phosphate
- b) It made from sugar
- c) It made from nitrogen base
- d) all above
Answer: It made from phosphate
Question: DNA is localized in which cell organelle?
- a) Nucleus, mitochondria, chloroplast
- b) Lysosomes
- c) Vacuoles
- d) Golgi apparatus
Answer: Nucleus, mitochondria, chloroplast
Question: A DNA stand is directly involved in the synthesis of all the following except –
- a) Protein
- b) m-RNA
- c) t- RNA
- d) t- RNA
Answer: Protein
Question: Nucleic acids were discovered by whom?
- a) Meischer
- b) Watson
- c) Wilkinson
- d) Crick
Answer: meischer
Question: Nucleic acids are related with which activity?
- a) Heredity
- b) Reproduction
- c) Respiration
- d) Digestion
Answer: Heredity
Question: What ‘A’ and ‘B’ indicates in the given structure?
- a) A=NH2, B=NH
- b) A= NH, B= NH
- c) A= CH2, B= N
- d) None of these
Answer: A=NH2, B=NH
Question: Chemically DNA differs from RNA by:
- a) Thymine and deoxyribose present in DNA and Uracil and ribose in RNA
- b) Uracil and deoxyribose in DNA and thymine and ribose in RNA
- c) Deoxyribose in DNA and ribose in RNA
- d) Two nucleotide in DNA and one nucleotide in RNA
Answer: Thymine and deoxyribose present in DNA and Uracil and ribose in RNA
Question: Nucleic acids are polymers of which molecules?
- a) Nucleotides
- b) Nucleosides
- c) Polypeptides
- d) polysomes
Answer: Nucleotides
Question: A molecule of ATP is structurally most similar to a molecule of?
- a) RNA
- b) Protein
- c) Lipid
- d) Amino acid
Answer: RNA
Question: Which is the site of protein synthesis?
- a) Polysomes
- b) Tonoplast
- c) DNA
- d) Chromosomes
Answer: Polysomes
Question: Select the specific base pairs of DNA
- a) Adenine and Thymine
- b) Adenine and Cytosine
- c) Guanine and Adenine
- d) Guanine and Uracil
Answer: Adenine and Thymine
Question: The DNA stands are antiparallel because of:
- a) Phosphodiester bond
- b) Hydrogen bond
- c) Disulphide bond
- d) Ester bond
Answer: Phosphodiester bond
Question: The distance between two chains of DNA molecules is
- a) 20 A°
- b) 34 A°
- c) 3.4 A°
- d) 10 A°
Answer: 20 A°
Question: The length of one complete spiral of DNA is:
- a) 34 A°
- b) 3.4 A°
- c) 20 A°
- d) 340 A°
Answer: 34 A°
| Anatomy Of Flowering Plants MCQs Set 2 |
| Anatomy Of Flowering Plants MCQs Set 1 |
| Animal Husbandry and Plant Breeding MCQs Set 3 |
| Animal Husbandry and Plant Breeding MCQs Set 2 |
| Animal Husbandry and Plant Breeding MCQs Set 1 |
| Animal Kingdom MCQs |
| Classification of Animal Kingdom MCQs Set 1 |
| Animal Morphology and Anatomy MCQs Set 2 |
| Animal Morphology and Anatomy MCQs Set 1 |
| Animal Kingdom MCQs |
| Animal Tissue MCQs |
| Animal Tissues MCQs Set 4 |
| Animal Tissues MCQs Set 3 |
| Animal Tissues MCQs Set 2 |
| Animal Tissues MCQs Set 1 |
| Biodiversity and its Conservation MCQs |
| Biomolecules MCQs |
| Biomolecules MCQs |
| Biomolecules MCQs Set 6 |
| Biomolecules MCQs Set 5 |
| Biomolecules MCQs Set 3 |
| Biomolecules MCQs Set 2 |
| Biomolecules MCQs Set 1 |
| Biotechnology and Its Applications MCQs Set 3 |
| Biotechnology and Its Applications MCQs Set 2 |
| Biotechnology and Its Applications MCQs Set 1 |
| Biotechnology Its applications MCQs |
| Biotechnology Principles and processes MCQs |
| Biotechnology Principles and Processes MCQs |
| Body Fluids and Circulation MCQs |
| Breathing and Exchange of Gases MCQs |
| Breathing and Exchange of Gases MCQs Set 2 |
| Breathing and Exchange of Gases MCQs Set 1 |
| Cell Cycle and Cell Divisions MCQs |
| Cell structure MCQs |
| Cell Structure and Function MCQs Set 3 |
| Cell Structure and Function MCQs Set 2 |
| Cell Structure and Function MCQs Set 1 |
| Chemical Coordination and Control MCQs |
| Classification Aids MCQs |
| Classification Aids MCQs |
| Classification of Plant Kingdom MCQs |
| Cockroach Comparative Study MCQs |
| Digestion and Absorption MCQs |
| Digestion and Absorption MCQs Set 3 |
| Digestion and Absorption MCQs Set 2 |
| Digestion and Absorption MCQs Set 1 |
| Environmental Issues MCQs |
| Environmental Issues MCQs Set 4 |
| Environmental Issues MCQs Set 3 |
| Environmental Issues MCQs Set 2 |
| Environmental Issues MCQs Set 1 |
| Excretory Products MCQs |
| Excretory Products and Their Elimination MCQs Set 3 |
| Excretory Products and Their Elimination MCQs Set 2 |
| Excretory Products and Their Elimination MCQs Set 1 |
| Growth and Development In plants MCQs |
| Heredity and Variation MCQs |
| Heredity and Variation MCQs Set 3 |
| Heredity and Variation MCQs Set 2 |
| Heredity and Variation MCQs Set 1 |
| Human Health and Diseases MCQs |
| Human Health and Diseases MCQs Set 3 |
| Human Health and Diseases MCQs Set 2 |
| Human Health and Diseases MCQs Set 1 |
| Human Reproduction MCQs |
| Human Reproduction MCQs Set 3 |
| Human Reproduction MCQs Set 2 |
| Human Reproduction MCQs Set 1 |
| Biomolecules MCQs Set 4 |
| Life Processes Excretion MCQs Set 2 |
| Life Processes Excretion MCQs Set 1 |
| Life Processes Life Process MCQs Set 2 |
| Life Processes Life Process MCQs Set 1 |
| Locomotion and Movement MCQs |
| Locomotion and Movement MCQs Set 3 |
| Locomotion and Movement MCQs Set 2 |
| Locomotion and Movement MCQs Set 1 |
| Microbes and Human Welfare MCQs |
| All Chapters MCQs Set 2 |
| Neural Control and Coordination in Animals MCQs |
| Organism and Population MCQs |
| Organisms and Populations MCQs Set 2 |
| Organisms and Populations MCQs Set 1 |
| Organism and Population MCQs Set 2 |
| Organism and Population MCQs Set 1 |
| Photosynthesis MCQs |
| Photosynthesis MCQs Set 3 |
| Photosynthesis MCQs Set 2 |
| Photosynthesis MCQs Set 1 |
| Photosynthesis In Higher Plants MCQs Set 2 |
| Photosynthesis In Higher Plants MCQs Set 1 |
| Plant Anatomy Plant Tissues MCQs |
| Plant Anatomy Plant Tissues MCQs Set 2 |
| Plant Anatomy Plant Tissues MCQs Set 1 |
| Plant Kingdom MCQs Set 3 |
| Plant Kingdom MCQs Set 2 |
| Plant Kingdom MCQs Set 1 |
| Classification Of Plant Kingdom MCQs Set 2 |
| Classification of Plant Kingdom MCQs Set 1 |
| Principles of Inheritance and Variation MCQs Set 3 |
| Principles of Inheritance and Variation MCQs Set 2 |
| Principles of Inheritance and Variation MCQs Set 1 |
| Reproduction in Organisms MCQs |
| Reproduction in Organisms MCQs Set 3 |
| Reproduction in Organisms MCQs Set 2 |
| Reproduction in Organisms MCQs Set 1 |
| Reproductive Health MCQs |
| Reproductive Health MCQs Set 3 |
| Reproductive Health MCQs Set 2 |
| Reproductive Health MCQs Set 1 |
| Sexual Reproduction in Flowering Plants MCQs |
| Strategies for Enhancement In Food Production MCQs Set 2 |
| Strategies for Enhancement In Food Production MCQs Set 1 |
| Taxonomical Aids MCQs Set 1 |
MCQs for Biomolecules Biology NEET
Students can use these MCQs for Biomolecules to quickly test their knowledge of the chapter. These multiple-choice questions have been designed as per the latest syllabus for NEET Biology released by NEET. Our expert teachers suggest that you should practice daily and solving these objective questions of Biomolecules to understand the important concepts and better marks in your school tests.
Biomolecules NCERT Based Objective Questions
Our expert teachers have designed these Biology MCQs based on the official NCERT book for NEET. We have identified all questions from the most important topics that are always asked in exams. After solving these, please compare your choices with our provided answers. For better understanding of Biomolecules, you should also refer to our NCERT solutions for NEET Biology created by our team.
Online Practice and Revision for Biomolecules Biology
To prepare for your exams you should also take the NEET Biology MCQ Test for this chapter on our website. This will help you improve your speed and accuracy and its also free for you. Regular revision of these Biology topics will make you an expert in all important chapters of your course.
FAQs
You can get most exhaustive NEET Biology Biomolecules MCQs Set 05 for free on StudiesToday.com. These MCQs for NEET Biology are updated for the 2026-27 academic session as per NEET examination standards.
Yes, our NEET Biology Biomolecules MCQs Set 05 include the latest type of questions, such as Assertion-Reasoning and Case-based MCQs. 50% of the NEET paper is now competency-based.
By solving our NEET Biology Biomolecules MCQs Set 05, NEET students can improve their accuracy and speed which is important as objective questions provide a chance to secure 100% marks in the Biology.
Yes, Biology MCQs for NEET have answer key and brief explanations to help students understand logic behind the correct option as its important for 2026 competency-focused NEET exams.
Yes, you can also access online interactive tests for NEET Biology Biomolecules MCQs Set 05 on StudiesToday.com as they provide instant answers and score to help you track your progress in Biology.