NEET UG Biology Biomolecules 1 MCQs

Practice NEET UG Biology Biomolecules 1 MCQs provided below. The MCQ Questions for NEET Biomolecules Biology with answers and follow the latest NEET/ NCERT and KVS patterns. Refer to more Chapter-wise MCQs for NEET NEET Biology and also download more latest study material for all subjects

MCQ for NEET Biology Biomolecules

NEET Biology students should review the 50 questions and answers to strengthen understanding of core concepts in Biomolecules

Biomolecules MCQ Questions NEET Biology with Answers

 

IMPORTANT POINTS

The Substances which are formed due to bond formation between C and H are called organic substances. A carbohydrate molecule contains Carbon, Hydrogen, and Oxygen. The ratio of H and O is generally 2 : 1 as water (H2O)

-Carbohydrates have the general formula of Cn(H2O)m.

-Carbohydrates can be divided into three main types. These are,

· Monosaccharides (single sugar unit)

· Disaccharides (two sugar unit)

· Polysaccharide (many sugar unit)

-Different monosaccharides contain different numbers of carbon atoms. Trioses contain three, Pentoses contain five, and Hexoses six.

-Carbohydrates have many different functions and come in many different forms.

-Ribose and Deoxy ribose are both pentose monosaccharide and are found in RNA and DNA.

-Lipids are of three types,

i Simple lipids

ii Complex lipids

iii Steroids.

-Lipids are the food stuffs of highest Calorific value and they are stored in the body as a reserve food.

 

1. Match the terms in columns – I with suitable terms in column – II :

Column – I                       Column – II

P, Glucose                          i (c6 H10O5)n

Q, Maltose                          ii R-COOH

R , Glycogen                      iii (CH2O)n=m

S , Fatty acids                    iv Cn(H2O)n-1

a) P iv Q i R iii S ii

b) P iv Q iii R i S ii

c) P iii Q iv R ii S i

d) P iii Q iii R i S ii

2. Match the terms in column-I with suitable terms in column-II

Column – I                       Column – II

P C6H10O5                       i Glyceraldehyde

Q C3H6O                       ii Galactose

R C5H10O                     iii Ribulose

S C6H12O                     iv Deoxy ribose sugar

a) P i Q iii R ii S iv

b) P iv Q iii R ii S i

c) P iii Q i R iv S ii

d) P i Q iii R ii S iv

3. Match the terms in column-I with suitable terms in column-II.

Column – I                   Column – II

P Butyric acid               i Long chain Unsaturated fatty acid

Q Stearic acid              ii Short chain Unsaturated fatty acid

R Oleic acid                 iii Short chain Saturated fatty acid

S Crotonic acid            iv Long chain Saturated fatty acid

a) P iii Q iv R i S ii

b) P iii Q i R iv S ii

c) P iv Q iii R i S ii

d) P iv Q iii R ii S I

4. Match the terms in column-I with suitable terms in column-II.

Column – I                   Column – II

P Glucose                     i Stored food in plants

Q ellulose                     ii Reserve food in animals

R Starch                       iii The plant cell wall

S Glycogen                  iv Most widely used in respiration

a) P iv Q iii R ii S i

b) P iv Q iii R i S ii

c) P iii Q i R iv S ii

d) P iii Q iv R ii S i

5. Match the terms in column-I with suitable terms in column-II.

Column – I                         Column – II

P Glycosidic bond               i Triglycerides

Q Ester bond                       ii Dinucleotide

R Peptide bond                   iii Disaccharide

S Phosphodiester bond      iv Dipeptide

a) P i Q iii R ii S iv

b) P iii Q iv R i S ii

c) P iii Q i R iv S ii

d)P ii Q iv R iv S iii

6. Match the terms in column-I with suitable terms in column-II

Column – I          Column – II

P PGAL                 i The plant cell wall

Q Oleic acid          ii Plasma membrane and membrane of organiles.

R Glycerol            iii Unsaturated fatty acid

S Phospholipid     iv Phosphate aldotriose sugar

T Cellulose           v Trihydroxy alcohol

a) P v Q iv R i S ii T iii

b) P iv Q v R ii S i T iii

c) P iii Q iv R ii S v T i

d) P iv Q iii R v S ii T i

7. Which the following is the word regarding steroids is not correct?

a) Cortisone

b) Progesterone

c) Glycolipid

d) Ergosterol

8. Which of the following statement regarding to properties of starch is not correct?

a) Present of amylose and amylopectin chains.

b) Stored food in plants.

c) Soluble in water.

d) Not sweet.

9. Which one of the following pairs is not correctly matched?

a) Triose sugar→Glyceraldehyde → Aldo sugar.

b) Pentose sugar →Ribulose → Keto sugar.

c) Hexoses sugar→Fructose → Aldo sugar.

d) Triose sugar →Dihydroxy acetose →Keto sugar.

10. Which the folowing pair regarding to biological importance of carbohydrates is not correctly matched?

a) Cellulose→Forms the plant cell wall.

b) Glycogen →Reserve food in animals.

c) Ribose sugar→Structural components of ATP.

d) Galactose→The most widely used in respiration.

11. Which the following regarding to examples of Keto sugar is not correctly?

a) Fructose b) Ribulose b) Ribose sugar d) Dihydroxy acetose.

12. Which of the following pairs is not correctly matched?

a) Butter – Glycerol + 3 Fatty acids.

b) Waxes – Monohydroxy alcohol + 1 Fatty acid.

c) Cortisone – Present of –COOH or >C=O group.

d) Glycolipid – Glycerol + Lipid.

13. Which of the following option is not correctly for this molecule?

a) It is Keto hexoses sugar. b) Hydrolysis of a molecule of maltose

c) It can pass through the cell membarane d) Found in the juice of fruits.

14. Which one of the following pairs is not correctly matched?

a)Galactose – Lactose

b) Fructose – Glucose

c) Fructose – Galactose

d) Ribose – Deoxyribose.

15. Which one of the following pairs is not correctly matched?

a) Triose sugar – DHAP.

b) Starch – amylase and amyloprectin.

c) Phospholipid – plasma membarane.

d) Cortisone – sterols.

16. Which one of the following pairs is correctly matched?

a) Fats → Long saturated Fatty acidss chain.

b) Derivatives of Lipid → Vitamins A, D, E.

c) Deoxyribose → RNA.

d) Glycogen → Forms the plant cell wall.

17. Lipids are relatively insoluble in….

a) Chloroform b) Water

b) Benzene d) Ether.

18. Which of the following statement regarding the Fatty acid is not correct?

a) Unsaturated fatty acids are two successive carbon atoms at certain places therein are linked by a double bond.

b) Saturated fatty acids are capable of accepting hydrogen or halogen atoms.

c) Butyric acid and palmitic acids are Saturated fatty acids

d) Crotonic acid and oleic acid are Unsaturated fatty acids.

19. Which of the following statement regarding to Lipid is not correct?

a) Lipids are of three types i Simple ii Complex iii Steroids

b) The lipids are a heterogenous group of compounds related to Fatty acids.

c) Lipids are the important constituents of the diet because of their high energy value.

d) Lipids are formed of C, H and O atoms, The number of H atom is less than ahat of O.

20. Which of the following statement regarding to Amylase is not correct?

a) Unbranched polysaccharide chains made up of glucose units.

b) Amylase occur in the constitution of glycogen.

c) Amylase occur in more amount in starch.

d) None of these

21. Which of the following statements are true?

P : Those which have molecular weights 596 Dalton are called micromolecules.

Q: Those which have molecular weights 1288 Dalton are called macromolecules.

R: Lipids have molecular weight more than ten thousand Dalton and above.

S: Biomolecules are of three types (i) micromolecules (ii) simply biomolecules and (iii) macromolecules.

a) P and Q b) P, Q and R

c) R and S d) Q and S.

22. Which of the following options suggest number of carbons in descending order?

P Fructose Q Palmitic acid. R Ribulose S Oleic acid.

a) R →Q → P → S

b) R → P → Q → S

c) S → Q → P → R

d) S → P → Q → R

23. In the formation of triglyceride, glycerol get linked with any Fatty acids by…

a) –NH2 b) –COOH c) –CHO d) >C=O

Which of the following the correct option for statement P and statement Q.

(A) If both ‘A’ and ‘R’ true and ‘R’ is a correct explaination of’ A’

(B) If both ‘A’ and ‘R’ true and ‘R’ isnot a correct explaination of’A’

(C) If A is ture the R is false

(D) If A is false the R is ture

24. P : Steroids do not contain Fatty acids.

      Q : In the structure of wax an alcohol molecule is one monohydroxy alcohol

25. P : The presence of lipid is inevitable for the activity of glucose phosphatase.

      Q : Copper is co-factor for the activation of enzymes like phosphatase.

26. P : Cortisone molecules which contain only Carboxyl (-COOH) or keto C>C=O group.

      Q : Cortisone do not contain Fatty acids.

27. P : In animal the food is stored as glycogen

      Q : Amylase and amylopectin are occuring in the constitution of glycogen.

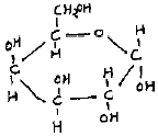
28. Which of the following structure shows the molecules?

NEET UG Biology Biomolecules 1 MCQs

a) Glucose

b) Fructose

c) Galactose

d) None of these

 

NEET UG Biology Biomolecules 1 MCQs-

NEET UG Biology Biomolecules 1 MCQs-1

 

Read the assertion and reason carefully to mark the correct option out of the options given below:
a) If both the assertion and the reason are true and the reason is a correct explanation of the assertion.
b) If both the assertion and the reason are true and the reason is not a correct explanation of the assertion.
c) Assertion is true but the reason is false.
d) Assertion is false but the reason is True

 

NEET UG Biology Biomolecules 1 MCQs-2

NEET UG Biology Biomolecules 1 MCQs-3

NEET UG Biology Biomolecules 1 MCQs-4

NEET UG Biology Biomolecules 1 MCQs-5

52. Which of the following group is not organic group?
a) Fats, Proteins , Enzymes, Hormones.
b) Co-factors, Hormones, Water, Minerals.
c) Proteins, Carbohydrates, Nucleic acid, Hormones.
d) Proteins, Carbohydrates, Fats, Enzymes.
 
53. The middle Lamella is made up of ____
a) Muramic acid b) Calcium pectate
c) Phosphoglycerol d) Hemicellulose.
 
54. The chemical formula of starch is ___
a)(C6H10O5)n b)(C6H12O6)n
c)C12H22O11 d)CH3COOH
 
55. Find out the wrongly matched pair 
a) Primary metabolite - Ribose.
b) Secondary metabolite - Insulin.
c) Protein - Insulin.
d) Cellulose - Heteropolymer.
 
56) Chitin is a ___
a) Polysaccharide
b) Nitrogenous polysaccharide
c) Lipoprotein
d) Protein
 
57. In a polysaccharide, the individual monosaccharides are linked by a ____
a) Glycosidic bond
b) Peptide bond
c) Ester bond
d) Phosphodiester bond
 
59. Carbohydrates are commonly found as starch in plant storage organs which of the following five properties of starch make it useful as a storage material? 
P. Easily transported.
Q. Chemically non reactive.
R. Easily digested by animals.
S. Osmotically inactive.
T. Synthesized during photosynthesis.
a) P, R and T b) P and T
c) Q and R d) Q and S
 
59. Match the items in column-I with items in column-II and the correct answer.
    Column – I           Column – II
P Triglyceride         i  Animal hormones
Q Membrane lipid   ii Feathers and leaves
R Steroid               iii Phospholipids
S Wax                   iv Fat stored in the form of droplets.
a) P iv Q iii R i S ii
b) P iv Q i R iii S ii
c) P iii Q iv R i S ii
d) P iv Q i R ii S iii
 
60. Find out the correct combination 
i) Triose sugar – Ribose.
ii) Starch – amylase and amylopectin
iii) Plasma membarane – phospholipid
iv) Malanin – sterols
v) Pitutary hormones – peptide.
a) Only ii, iii and iv
b) Only I, ii and iii
c) Only I and iii
d) Only ii, iii and v
 
61. Generally protein and carbohydarte components are found in cow milk…
a) Albumin, Lactose
b) Globulin, Casin
c) Casin, Lactose
d) Casin, Fructose
 
62. Starch and Cellulose are the compounds made up to many units of ____
a) Simple sugar
b) Fatty acid
c) Glycerol
d) Amino acid
 
63. Which of the following is the characteristic of plants ___
a) Glucose and Cellulose
b) Pyruvic acid and Glucose
c) Cellulose and Starch
d) Starch snd Pyruvic acid
 
64. Most common monomer of Carbohydrate is _____
a) Glucose b) Fructose
c) Sucrose d) Maltose
 
65. Lipids are insoluble in water because lipid molecules are _____
a) Neutral b) Zwitter ions
c) Hydrophobic d) Hydrophillic
 
66. Given below is the chemical formula is
 
NEET UG Biology Biomolecules 1 MCQs-6
a) Palmitic acid b) Stearic acid
c) Glycerol d) Galactose
 
67. Given below chemical formula is ____
CH3(CH2)CH = CH(CH2)7COOH
a) α - ketoglutarate b) Oxalosuccinet
b) Oleic acid d) Linolic acid.
 
68. Which of the following is not a disaccharide? 
a) Maltose b)Starch c) Sucrose d)Lactose
 
69. The repeating unit of Glycogen is _____
a) Fructose b) Mannose c) Glucose d) Galactose
 
70. Maltose are insoluble in ____
a) Water b) Alcohol c) Acid d) Basic
 
71. Which is an organic component found in most cells? 
a) Glucose b) Lignin c) Sodium chloride Oxygen
 
NEET UG Biology Biomolecules 1 MCQs-7
 
 
 
 
 
 
 
 
 
 
 
 
Biodiversity and its Conservation
Biodiversity and its Conservation MCQs
Biotechnology Its applications
Biotechnology Its applications MCQs
Biotechnology Principles and processes
Biotechnology Principles and processes MCQs
Biotechnology Principles and Processes
Biotechnology Principles and Processes MCQs
Body Fluids and Circulation
Body Fluids and Circulation MCQs
Cell Cycle and Cell Divisions
Cell Cycle and Cell Divisions MCQs
Cell structure
Cell structure MCQs
Chemical Coordination and Control
Chemical Coordination and Control MCQs
Classification of Plant Kingdom
Classification of Plant Kingdom MCQs
Cockroach Comparative Study
Cockroach Comparative Study MCQs
Excretory Products
Excretory Products MCQs
Growth and Development In plants
Growth and Development In plants MCQs
Microbes and Human Welfare
Microbes and Human Welfare MCQs
NEET Full Syllabus MCQs
All Chapters MCQs Set 2
Neural Control and Coordination in Animals
Neural Control and Coordination in Animals MCQs
Organism and Population
Organism and Population MCQs
Sexual Reproduction in Flowering Plants
Sexual Reproduction in Flowering Plants MCQs

MCQs for Biomolecules Biology NEET

Students can use these MCQs for Biomolecules to quickly test their knowledge of the chapter. These multiple-choice questions have been designed as per the latest syllabus for NEET Biology released by NEET. Our expert teachers suggest that you should practice daily and solving these objective questions of Biomolecules to understand the important concepts and better marks in your school tests.

Biomolecules NCERT Based Objective Questions

Our expert teachers have designed these Biology MCQs based on the official NCERT book for NEET. We have identified all questions from the most important topics that are always asked in exams. After solving these, please compare your choices with our provided answers. For better understanding of Biomolecules, you should also refer to our NCERT solutions for NEET Biology created by our team.

Online Practice and Revision for Biomolecules Biology

To prepare for your exams you should also take the NEET Biology MCQ Test for this chapter on our website. This will help you improve your speed and accuracy and its also free for you. Regular revision of these Biology topics will make you an expert in all important chapters of your course.

FAQs

Where can I access latest NEET UG Biology Biomolecules 1 MCQs?

You can get most exhaustive NEET UG Biology Biomolecules 1 MCQs for free on StudiesToday.com. These MCQs for NEET Biology are updated for the 2026-27 academic session as per NEET examination standards.

Are Assertion-Reasoning and Case-Study MCQs included in the Biology NEET material?

Yes, our NEET UG Biology Biomolecules 1 MCQs include the latest type of questions, such as Assertion-Reasoning and Case-based MCQs. 50% of the NEET paper is now competency-based.

How do practicing Biology MCQs help in scoring full marks in NEET exams?

By solving our NEET UG Biology Biomolecules 1 MCQs, NEET students can improve their accuracy and speed which is important as objective questions provide a chance to secure 100% marks in the Biology.

Do you provide answers and explanations for NEET UG Biology Biomolecules 1 MCQs?

Yes, Biology MCQs for NEET have answer key and brief explanations to help students understand logic behind the correct option as its important for 2026 competency-focused NEET exams.

Can I practice these Biology NEET MCQs online?

Yes, you can also access online interactive tests for NEET UG Biology Biomolecules 1 MCQs on StudiesToday.com as they provide instant answers and score to help you track your progress in Biology.