BITSAT Chemistry Hydrocarbons MCQs

Practice BITSAT Chemistry Hydrocarbons MCQs provided below. The MCQ Questions for BITSAT Hydrocarbons Chemistry with answers and follow the latest BITSAT/ NCERT and KVS patterns. Refer to more Chapter-wise MCQs for BITSAT BITSAT Chemistry and also download more latest study material for all subjects

MCQ for BITSAT Chemistry Hydrocarbons

BITSAT Chemistry students should review the 50 questions and answers to strengthen understanding of core concepts in Hydrocarbons

Hydrocarbons MCQ Questions BITSAT Chemistry with Answers

Question: In the following structures, which two forms are staggered conformations of ethane ?

BITSAT Chemistry Hydrocarbons 1     BITSAT Chemistry Hydrocarbons 2

BITSAT Chemistry Hydrocarbons 3   BITSAT Chemistry Hydrocarbons 4

a) 1 and 4

b) 2 and 3

c) 1 and 2

d) 1 and 3

Answer: 1 and 2

 

Question:

BITSAT Chemistry Hydrocarbons 5

The compounds A and B, respectively are

a) cis-but-2ene and rac-2, 3-dideuterobutane

b) trans-but-2ene and rac-2, 3- dideuterobutane

c) cis-but-2ene and meso-2, 3- dideuterobutane

d) trans-but-2ene and meso-2, 3- dideuterobutane

Answer: cis-but-2ene and meso-2, 3- dideuterobutane

 

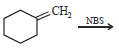
Question: Give the possible structure of X in the following reaction :

BITSAT Chemistry Hydrocarbons 6

a)

BITSAT Chemistry Hydrocarbons 7

b)

BITSAT Chemistry Hydrocarbons 8

c)

BITSAT Chemistry Hydrocarbons 9

d)

BITSAT Chemistry Hydrocarbons 10

Answer:

BITSAT Chemistry Hydrocarbons 10

 

Question: An organic compound A (C4H9Cl) on reaction with Na/diethyl ether gives a hydrocarbon which on monochlorination gives only one chloro derivative, then A is

a) Tert-butyl chloride

b) Sec-butyl chloride

c) Isobutyl chloride

d) N-butyl chloride

Answer: Tert-butyl chloride

 

Question: Which one of the following reactions is expected to readily give a hydrocarbon product in good yields ?

a)

BITSAT Chemistry Hydrocarbons 11

b)

BITSAT Chemistry Hydrocarbons 12

c)

BITSAT Chemistry Hydrocarbons 13

d)

BITSAT Chemistry Hydrocarbons 14

Answer:

BITSAT Chemistry Hydrocarbons 11

 

Question: Which of the following chemical system is non aromatic?

a)

BITSAT Chemistry Hydrocarbons 15

b)

BITSAT Chemistry Hydrocarbons 16

c)

BITSAT Chemistry Hydrocarbons 17

d)

BITSAT Chemistry Hydrocarbons 18

Answer:

BITSAT Chemistry Hydrocarbons 15

 

Question: Which alkene on ozonolysis gives CH3CH2CHO and BITSAT Chemistry Hydrocarbons 19

a)

BITSAT Chemistry Hydrocarbons 20

b) CH3CH2CH = CHCH2CH3

c) CH3 CH2 CH = CH CH3

d)

BITSAT Chemistry Hydrocarbons 21

Answer:

BITSAT Chemistry Hydrocarbons 20

 

Question: What will be the product in the following reaction?

BITSAT Chemistry Hydrocarbons 22

a)

BITSAT Chemistry Hydrocarbons 23

b)

BITSAT Chemistry Hydrocarbons 24

c)

BITSAT Chemistry Hydrocarbons 25

d)

BITSAT Chemistry Hydrocarbons 26

Answer:

BITSAT Chemistry Hydrocarbons 25

 

Question: Name of following reaction is

BITSAT Chemistry Hydrocarbons 27

a) Claisen Condensation

b) Diel’s Alder reaction

c) Dieckmann cyclisation

d) Michael addition reaction

Answer: Diel’s Alder reaction

 

Question: The unsaturated hydrocarbon which on ozonolysis gives one mole each of formaldehyde, acetaldehyde and methyl glyoxal (CH3COCHO) is

a) CH3 – CH = C( CH3 ) – CH3

b) CH2 = CH – CH2 – CH = CH2

c) CH2 = CH – C( CH3 ) = CH – CH3

d) (CH3 )2C = CH - CH3

Answer: CH2 = CH – C( CH3 ) = CH – CH3

  

Question: Which one of the following contain isopropyl group?

a) 2, 2, 3, 3-tetramethylpentane

b) 2-methylpentane

c) 2, 2, 3-trimethylpentane

d) 3, 3-dimethylpentane

Answer: 2-methylpentane

 

Question: Compound which has one quaternary carbon atom is :

a) (CH3)2 – C – (CH3)2

b)

BITSAT Chemistry Hydrocarbons 28

c) (CH3)3 CH

d) CH3 CH2 – (CH3)CH – CH3

Answer: (CH3)2 – C – (CH3)2

 

Question: Methane and ethane both can be prepared in one step by which of the following compound?

a) C2H4

b) CH3OH

c) CH3Br

d) CH3CH2OH

Answer: CH3Br

  

Question: The most suitable catalyst for the hydrogenation of BITSAT Chemistry Hydrocarbons 29 is

a) Pd–BaSO4

b) (Ph3P)3RhCl

c) 10% Pd—C

d) Raney Ni

Answer: Pd–BaSO4

 

Question: In preparation of alkene from alcohol using Al2O3 which is effective factor ?

a) Porosity of Al2O3

b) Temperature

c) Concentration

d) Surface area of Al2O3

Answer: Surface area of Al2O3

 

Question: Marsh gas contains

a) CO2

b) CH4

c) HCl

d) C2H2

Answer: CH4

 

Question: The reaction BITSAT Chemistry Hydrocarbons 30 is called

a) Addition reaction

b) Friedel-craft acylation

c) Friedel-craft alkylation

d) Friedel-craft benzoylation

Answer: Friedel-craft alkylation

 

Question: Which one of the following contain isopropyl group?

a) 2, 2, 3, 3-tetramethylpentane

b) 2-methylpentane

c) 2, 2, 3-trimethylpentane

d) 3, 3-dimethylpentane

Answer: 2-methylpentane

 

Question: Methane and ethane both can be prepared in one step by which of the following compound?

a) C2H4

b) CH3OH

c) CH3Br

d) CH3CH2OH

Answer: CH3Br

 

Question: An organic compound A (C4H9Cl) on reaction with Na/diethyl ether gives a hydrocarbon which on monochlorination gives only one chloro derivative, then A is

a) Tert-butyl chloride

b) Sec-butyl chloride

c) Isobutyl chloride

d) N-butyl chloride

Answer: Tert-butyl chloride
 

Question. CH3CH = CHCHO is oxidized to CH3CH = CHCOOH using:
a. Alkaline potassium permanganate
b. Acidified potassium permanganate
c. Selenium dioxide
d. Osmium tetroxide
Answer : B

Question. The preparation of ethane by electrolysis of aqueous solution of potassium acetate is called as:
a. Wurtz reaction
b. Sabatier-Senderen's reaction
c. Kolbe's synthesis
d. Grignard reaction
Answer : C

Question. Which of the following represents the most oxidized form of hydrocarbon?
a. CO2
b. RCHO
c. RCOOH
d. RCOOOH
Answer : A

Question. Which of the following hydrocarbons cannot be obtained by Sabatier and Senderen's reaction?
a. CH4
b. C2H6
c. C3H8
d. All
Answer : A

Question. Poisonous gas ‘Lewissite’ is obtained by the reaction of:
a. CH ≡≡ CH and AsCl3
b. CH2 == CH2 and AsCl3
c. CH ≡≡ CH and S2Cl2
d. CH2 == CH2 and NOCl
Answer : A

Question.

""BITSAT-Chemistry-Hydrocarbons-MCQs-1

a. Ethylene bromide
b. Ethanol
c. Ethyl bromide
d. Ethylidene bromide
Answer : C

Question. As the number of carbon atoms in a chain increases the boiling point of alkanes:
a. Increases
b. Decreases
c. Remains same
d. May increase or decrease
Answer : A

Question. The final product of complete oxidation of hydrocarbons is:
a. Acid
b. Aldehyde
c. H2 O+ CO2
d. Dihydric alcohol
Answer : C

Question. Markownikoff's rule provides guidance of addition of HBr on:
a. CH2 == CH2
b. CH3 —CH2 —CH3
c. CH3 CH == CHCH3
d. CH2 == CHBr
Answer : D

Question. Methane and ethane both can be obtained in single step from:
a. CH3I
b. C2H5I
c. CH3OH
d. C2H5OH
Answer : A

Question. In which of the following, addition of HBr does not take place against Markownikoff's rule or Anti-Markownikoff addition of HBr is not observed for?
a. Propene
b. But-1-ene
c. But-2-ene
d. Pent-2-ene
Answer : C

Question. When alcoholic solution of ethylene dibromide is heated with granulated zinc, the compound formed is?
a. Ethylene
b. Ethyne
c. Cyclobutane
d. Butane
Answer : A

Question. The ratio of σ and π bonds in benzene is
a. 2
b. 4
c. 6
d. 8
Answer : B

Question. Which of the following shows linear structure?
a. Ethane
b. Ethene
c. Acetylene
d. CCl4
Answer : C

Question. Which of the following used for the conversion of 2- hexyne into trans-2-hexane?
a. H2 / Pd / BaSO4
b. H2 ,PtO2
c. NaBH4
d. Li − NH3 /C2H5OH
Answer : D

Question. Which of the following is the most stable alkene?
a. R2C == CR2
b. RCH == CHR
c. RCH == CH2R
d. CH2 == CH2
Answer : A

Question. Ethene gives with acidic KMnO4 solution:
a. Ethylene glycol
b. Ethylene oxide
c. Formaldehyde
d. Acetaldehyde
Answer : C

Question.

""BITSAT-Chemistry-Hydrocarbons-MCQs

a. Benzene
b. Ethane
c. Cycloctatetraene
d. Cyclohexane
Answer : C

Question. Which of the following is a hydrocarbon?
a. Urea
b. Benzene
c. Ammonium cyanate
d. Phenol
Answer : B

Question. In chlorination of benzene, the reactive species is:
a. Cl+
b. Cl
c. Cl2
d. Cl2
Answer : A

Question. The reaction of toluene with chlorine in presence of ferric chloride gives predominantly:
a. Benzoyl chloride
b. m-chlorotoluene
c. Benzyl chloride
d. o- and p-chlorotoluenes
Answer : D

Question. Shortest C–C bond length is present in
a. CH3 −CH2 −CH3
b. CH3CH2CH2CH3
c. CH2 = CH −CH = CH2
d. CH ≡ C−C ≡ CH
Answer : D

Question. What happens when a mixture of acetylene an hydrogen is passed over heated Lindlar’s catalyst?
a. Ethane and water are formed
b. Ethylene is formed
c. Acetylene and ethane are formed
d. None of these
Answer : B

Question. What is the product when 2-butyne is treated with liquid NH3 in presence of lithium?
a. n-butane
b. cis-2-butene
c. trans-2-butene
d. 1-butene
Answer : C

Question. Which of the following compounds exhibit geometrical isomerism?

""BITSAT-Chemistry-Hydrocarbons-MCQs-2

Answer : A, B, C

Classification Of Elements and Periodic Properties
BITSAT Chemistry Classification Of Elements and Periodic Properties MCQs
General Principles & Processes Of Isolation Of Elements
BITSAT Chemistry General Principles & Processes Of Isolation Of Elements MCQs

MCQs for Hydrocarbons Chemistry BITSAT

Students can use these MCQs for Hydrocarbons to quickly test their knowledge of the chapter. These multiple-choice questions have been designed as per the latest syllabus for BITSAT Chemistry released by BITSAT. Our expert teachers suggest that you should practice daily and solving these objective questions of Hydrocarbons to understand the important concepts and better marks in your school tests.

Hydrocarbons NCERT Based Objective Questions

Our expert teachers have designed these Chemistry MCQs based on the official NCERT book for BITSAT. We have identified all questions from the most important topics that are always asked in exams. After solving these, please compare your choices with our provided answers. For better understanding of Hydrocarbons, you should also refer to our NCERT solutions for BITSAT Chemistry created by our team.

Online Practice and Revision for Hydrocarbons Chemistry

To prepare for your exams you should also take the BITSAT Chemistry MCQ Test for this chapter on our website. This will help you improve your speed and accuracy and its also free for you. Regular revision of these Chemistry topics will make you an expert in all important chapters of your course.

Where can I access latest BITSAT Chemistry Hydrocarbons MCQs?

You can get most exhaustive BITSAT Chemistry Hydrocarbons MCQs for free on StudiesToday.com. These MCQs for BITSAT Chemistry are updated for the 2025-26 academic session as per BITSAT examination standards.

Are Assertion-Reasoning and Case-Study MCQs included in the Chemistry BITSAT material?

Yes, our BITSAT Chemistry Hydrocarbons MCQs include the latest type of questions, such as Assertion-Reasoning and Case-based MCQs. 50% of the BITSAT paper is now competency-based.

How do practicing Chemistry MCQs help in scoring full marks in BITSAT exams?

By solving our BITSAT Chemistry Hydrocarbons MCQs, BITSAT students can improve their accuracy and speed which is important as objective questions provide a chance to secure 100% marks in the Chemistry.

Do you provide answers and explanations for BITSAT Chemistry Hydrocarbons MCQs?

Yes, Chemistry MCQs for BITSAT have answer key and brief explanations to help students understand logic behind the correct option as its important for 2026 competency-focused BITSAT exams.

Can I practice these Chemistry BITSAT MCQs online?

Yes, you can also access online interactive tests for BITSAT Chemistry Hydrocarbons MCQs on StudiesToday.com as they provide instant answers and score to help you track your progress in Chemistry.