Practice NEET Chemistry Hydrocarbons MCQs Set 03 provided below. The MCQ Questions for NEET Hydrocarbons Chemistry with answers and follow the latest NEET/ NCERT and KVS patterns. Refer to more Chapter-wise MCQs for NEET NEET Chemistry and also download more latest study material for all subjects
MCQ for NEET Chemistry Hydrocarbons
NEET Chemistry students should review the 50 questions and answers to strengthen understanding of core concepts in Hydrocarbons
Hydrocarbons MCQ Questions NEET Chemistry with Answers
Question: When CH3CH2CHCl2 is treated with NaNH2 , the product formed is
- a) CH3– CH = CH2
- b) CH3– C ≡ CH
- c)
- d)
Answer: CH3– C ≡ CH
Question: 2-Bromopentane is heated with potassium ethoxide in ethanol. The major product obtained is
- a) trans-pent-2-ene
- b) Pent-1-ene
- c) 2-ethoxypentane
- d) cis-pent-2-ene
Answer: trans-pent-2-ene
Question: In the following reaction
the product ‘X’ is
- a) C6H5CH2OCH2C6H5
- b) C6H5CH2OH
- c) C6H5CH3
- d) C6H5CH2CH2C6H5
Answer: C6H5CH3
Question: When 3, 3-dimethyl 2-butanol is heated with H2SO4 , the major product obtained is
- a) 2, 3-dimethyl 2-butene
- b) cis and trans isomers of 2, 3-dimethyl 2-butene
- c) 2, 3-dimethyl 1-butene
- d) 3, 3-dimethyl 1-butene
Answer: 2, 3-dimethyl 2-butene
Question: Identify Z in the sequence of reaction
- a)
- b) CH3– CH2– CH2– CH2– Br
- c)
- d) None of these
Answer: CH3– CH2– CH2– CH2– Br
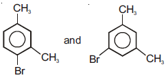
Question: In the following reaction
The major product is
- a)
- b)
- c)
- d)
Answer:
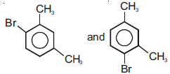
Question: What products are formed when the following compound is treated with Br2 in the presence of FeBr3?
- a)
- b)
- c)
- d)
Answer:
Question: One of the following which does not observe the anti-Markownikoff’s addition of HBr, is
- a) Pent-2-ene
- b) Propene
- c) But-2-ene
- d) But-1-ene
Answer: But-2-ene
Question: Which of the compounds with molecular formula C5H10 yields acetone on ozonolysis?
- a) 3-methylbut-1-ene
- b) Cyclopentane
- c) 2-methylbut-1-ene
- d) 2-methylbut-2-ene
Answer: 2-methylbut-2-ene
More Questions............................................
Question: In preparation of alkene from alcohol using Al2O3 which is the effective factor?
- a) Porosity of Al2O3
- b) Temperature
- c) Concentration
- d) Surface area of Al2O3
Answer: Temperature
Question: Dihedral angle in staggered form of ethane is
- a) 0°
- b) 120°
- c) 60°
- d) 180°
Answer: 60°
Question: 2-butene shows geometrical isomerism due to
- a) Restricted rotation about double bond
- b) Free rotation about double bond
- c) Free rotation about single bond
- d) Chiral carbon
Answer: Restricted rotation about double bond
Question: Gammexane is
- a) Bromobenzene
- b) Benzyl Chloride
- c) Chlorobenzene
- d) Benzene hexachloride
Answer: Benzene hexachloride
Question: In Friedel-Crafts reaction, toluene can be prepared by
- a) C6H6+ CH3Cl
- b) C6H5Cl + CH4
- c) C6H6+ CH2Cl2
- d) C6H6+ CH3COCl
Answer: C6H6+ CH3Cl
Question: When acetylene is passed through dil. H2SO4 in the presence of HgSO4 , the compound formed is
- a) Acetic acid
- b) Ketone
- c) Ether
- d) Acetaldehyde
Answer: Acetaldehyde
Question: In the commercial gasolines, the type of hydrocarbons which are more desirable is
- a) Linear unsaturated hydrocarbon
- b) Toluene
- c) Branched hydrocarbon
- d) Straight-chain hydrocarbon
Answer: Branched hydrocarbon
Question: Which one of these is not compatible with arenes?
- a) Electrophilic additions
- b) Delocalisation of π-electrons
- c) Greater stability
- d) Resonance
Answer: Electrophilic additions
Question: The cylindrical shape of alkyne is due to
- a) Two sigma C–C and one π C–C bonds
- b) One sigma C–C and two π C–C bonds
- c) Three sigma C–C bonds
- d) Three π C–C bonds
Answer: One sigma C–C and two π C–C bonds
Question: Which of the following is used as an anti-knocking material?
- a) Glyoxal
- b) Freon
- c) T.E.L.
- d) Ethyl alcohol
Answer: T.E.L.
Question: The bond length between central carbon atom and other carbon atom is minimum in
- a) Propene
- b) Propyne
- c) Propane
- d) Pentane
Answer: Propyne
Question: Geometrical isomers differ in
- a) Position of functional group
- b) Position of atoms
- c) Spatial arrangement of atoms
- d) Length of carbon chain
Answer: Spatial arrangement of atoms
Question: Liquid hydrocarbons can be converted to a mixture of gaseous hydrocarbons by
- a) Oxidation
- b) Cracking
- c) Distillation under reduced pressure
- d) Hydrolysis
Answer: Cracking
Question: Eclipsed form of ethane has higher energy due to
- a) Torsional strain
- b) Steric strain
- c) Angle strain
- d) Both (1) & (2)
Answer: Both (1) & (2)
Question: The difference in potential energy between eclipsed and staggered form of ethane is
- a) 4 kJ/mol
- b) 12.55 kJ/mol
- c) 2 kJ/mol
- d) 44 kJ/mol
Answer: 12.55 kJ/mol
Question: Which one is most stable?
- a) Cyclopropane
- b) Cyclobutane
- c) Cyclopentane
- d) Cyclohexane
Answer: Cyclohexane
Question: In iodination ; for preparation of iodomethane compound used is
- a) HIO3
- b) HgO
- c) Both (1) & (2)
- d) HI
Answer: Both (1) & (2)
Question: In chlorination the relation rate of abstraction of H in 3°, 2° and 1°C atom respectively
- a) 5 : 3.8 : 2
- b) 5 : 3.8 : 1
- c) 1600 : 82 : 1
- d) 1600 : 5 : 82
Answer: 5 : 3.8 : 1
Question: In which alkane isomerization will not occur?
- a) C2H6
- b) C4H10
- c) C5H10
- d) C6H14
Answer: C2H6
Question: C6H5CH2CH2CH3 is when oxidised in the presence of alk. KMnO4, the product obtained is
- a) C6H5CHO
- b) C6H5COOH
- c) C6H5CH2CH2CHO
- d) C6H5COCH3
Answer: C6H5COOH
Question: Liquid hydrocarbons can be converted to a mixture of gaseous hydrocarbons by
- a) Oxidation
- b) Cracking
- c) Distillation under reduced pressure
- d) Hydrolysis
Answer: Cracking
| NEET Chemistry Alcohols Phenols and Ethers MCQs Set 02 |
| NEET Chemistry Alcohols Phenols and Ethers MCQs Set 01 |
| NEET Chemistry Aldehydes Ketones and Carboxylic Acids MCQs Set 02 |
| NEET Chemistry Aldehydes Ketones and Carboxylic Acids MCQs Set 01 |
| NEET UG Chemistry Biomolecule MCQs |
| NEET UG Chemistry Chemical Bonding MCQs |
| NEET Chemistry Chemical Bonding and Molecular Structure MCQs Set 02 |
| NEET Chemistry Chemical Bonding and Molecular Structure MCQs Set 01 |
| NEET UG Chemistry Chemical Kinetics MCQs |
| NEET Chemistry Chemical Kinetics MCQs Set 02 |
| NEET Chemistry Chemical Kinetics MCQs Set 01 |
| NEET UG Chemistry Chemical Thermodynamics MCQs |
| NEET UG Chemistry in Everyday Life MCQs |
| NEET Chemistry Chemistry In Everyday Life MCQs Set 02 |
| NEET Chemistry Chemistry In Everyday Life MCQs Set 01 |
| NEET UG Chemistry Classification of Elements MCQs |
| NEET Chemistry Classification Of Elements and Periodicity In Properties MCQs Set 02 |
| NEET Chemistry Classification Of Elements and Periodicity In Properties MCQs Set 01 |
| NEET UG Chemistry D and F Block Elements MCQs |
| NEET Chemistry Electrochemistry MCQs Set 03 |
| NEET Chemistry Electrochemistry MCQs Set 02 |
| NEET Chemistry Electrochemistry MCQs Set 01 |
| NEET UG Chemistry Environmental Chemistry MCQs |
| NEET Chemistry Environmental Chemistry MCQs Set 02 |
| NEET Chemistry Environmental Chemistry MCQs Set 01 |
| NEET UG Chemistry Equilibrium MCQs |
| NEET Chemistry Equilibrium MCQs Set 03 |
| NEET Chemistry Equilibrium MCQs Set 02 |
| NEET Chemistry Equilibrium MCQs Set 01 |
| NEET Chemistry General Principles and Processes Of Isolation Of Elements MCQs Set 02 |
| NEET Chemistry General Principles and Processes Of Isolation Of Elements MCQs Set 01 |
| NEET Chemistry Haloalkanes and Haloarenes MCQs Set 02 |
| NEET Chemistry Haloalkanes and Haloarenes MCQs Set 01 |
| NEET UG Chemistry Hydrocarbons MCQs |
| NEET Chemistry Hydrocarbons MCQs Set 03 |
| NEET Chemistry Hydrocarbons MCQs Set 02 |
| NEET Chemistry Hydrocarbons MCQs Set 01 |
| NEET UG Chemistry Hydrogen MCQs |
| NEET Chemistry Hydrogen MCQs Set 02 |
| NEET Chemistry Hydrogen MCQs Set 01 |
| NEET UG Chemistry Isolation of Metals MCQs |
| NEET UG Chemistry Organic Chemistry MCQs |
| NEET UG Chemistry Organic Compounds Containing Halogens MCQs |
| NEET UG Chemistry Organic Compound Containing Nitrogen MCQs |
| NEET UG Chemistry Organic Compounds MCQs |
| NEET UG Chemistry Organic Compounds Containing Oxygen MCQs |
| NEET UG Chemistry P Block Elements MCQs |
| NEET UG Chemistry Practicals MCQs |
| NEET UG Chemistry Redox Reactions and Electrochemistry MCQs |
| NEET UG Chemistry S Block Elements MCQs |
| NEET UG Chemistry Solutions MCQs |
| NEET Chemistry Solutions MCQs Set 02 |
| NEET Chemistry Solutions MCQs Set 01 |
| NEET UG Chemistry Some Basic Concepts MCQs |
| NEET Chemistry Some Basic Concepts Of Chemistry MCQs Set 02 |
| NEET Chemistry Some Basic Concepts Of Chemistry MCQs Set 01 |
| NEET UG Chemistry States of Matter MCQs |
| NEET Chemistry States Of Matter MCQs Set 02 |
| NEET Chemistry States Of Matter MCQs Set 01 |
| NEET UG Chemistry Structure of Atom MCQs |
| NEET Chemistry Structure Of Atom MCQs Set 02 |
| NEET Chemistry Structure Of Atom MCQs Set 01 |
| NEET UG Chemistry Surface Chemistry MCQs |
| NEET Chemistry Surface Chemistry MCQs Set 01 |
| NEET Chemistry The D and F Block Elements MCQs Set 02 |
| NEET Chemistry The D and F Block Elements MCQs Set 01 |
| NEET Chemistry The P Block Elements MCQs Set 03 |
| NEET Chemistry The P Block Elements MCQs Set 02 |
| NEET Chemistry The P Block Elements MCQs Set 01 |
MCQs for Hydrocarbons Chemistry NEET
Students can use these MCQs for Hydrocarbons to quickly test their knowledge of the chapter. These multiple-choice questions have been designed as per the latest syllabus for NEET Chemistry released by NEET. Our expert teachers suggest that you should practice daily and solving these objective questions of Hydrocarbons to understand the important concepts and better marks in your school tests.
Hydrocarbons NCERT Based Objective Questions
Our expert teachers have designed these Chemistry MCQs based on the official NCERT book for NEET. We have identified all questions from the most important topics that are always asked in exams. After solving these, please compare your choices with our provided answers. For better understanding of Hydrocarbons, you should also refer to our NCERT solutions for NEET Chemistry created by our team.
Online Practice and Revision for Hydrocarbons Chemistry
To prepare for your exams you should also take the NEET Chemistry MCQ Test for this chapter on our website. This will help you improve your speed and accuracy and its also free for you. Regular revision of these Chemistry topics will make you an expert in all important chapters of your course.
You can get most exhaustive NEET Chemistry Hydrocarbons MCQs Set 03 for free on StudiesToday.com. These MCQs for NEET Chemistry are updated for the 2025-26 academic session as per NEET examination standards.
Yes, our NEET Chemistry Hydrocarbons MCQs Set 03 include the latest type of questions, such as Assertion-Reasoning and Case-based MCQs. 50% of the NEET paper is now competency-based.
By solving our NEET Chemistry Hydrocarbons MCQs Set 03, NEET students can improve their accuracy and speed which is important as objective questions provide a chance to secure 100% marks in the Chemistry.
Yes, Chemistry MCQs for NEET have answer key and brief explanations to help students understand logic behind the correct option as its important for 2026 competency-focused NEET exams.
Yes, you can also access online interactive tests for NEET Chemistry Hydrocarbons MCQs Set 03 on StudiesToday.com as they provide instant answers and score to help you track your progress in Chemistry.