BITSAT Mathematics Bionomial Theorem MCQs

Practice BITSAT Mathematics Bionomial Theorem MCQs provided below. The MCQ Questions for BITSAT Bionomial Theorem Mathematics with answers and follow the latest BITSAT/ NCERT and KVS patterns. Refer to more Chapter-wise MCQs for BITSAT BITSAT Mathematics and also download more latest study material for all subjects

MCQ for BITSAT Mathematics Bionomial Theorem

BITSAT Mathematics students should review the 50 questions and answers to strengthen understanding of core concepts in Bionomial Theorem

Bionomial Theorem MCQ Questions BITSAT Mathematics with Answers

 

Question: The integer just greater than (3+ √5)2n is divisible by (n € N)

  • a) 2n–1
  • b) 2n+1
  • c) 2n+2
  • d) Not divisible by 2

Answer: 2n+1

 

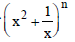
Question: If

 BITSAT Mathematics Bionomial 1

 then n =

  • a) 8
  • b) 4
  • c) 6
  • d) 5

Answer: 5


Question: If the sum of odd numbered terms and the sum of even numbered terms in the expansion of (x +a)n are A and B respectively, then the value of (x2 – a2)n is

  • a) A2 – B2
  • b) A2 + B2
  • c) 4AB
  • d) None of these

Answer: A2 – B2

 

Question: If the third term in the expansion of [x + xlog10 x ]5 is 106, then x may be

  • a) 1
  • b) √10
  • c) 10
  • d) 10-2 / 5

Answer: 10

 

Question: The coefficient of x4 in the expansion of (1 + x + x2 + x3)11, is

  • a) 440
  • b) 770
  • c) 990
  • d) 1001

Answer: 990

 

Question: If T0,T1,T2....Tn represent the terms in the expansion of (x + a)n, then (T0 –T2 + T4 – .......)2+ (T1 – T3 + T5 – .....)2 =

  • a) (x2 + a2 )
  • b) (x2 + a2 )n
  • c) (x2 + a2 )1/ n
  • d) (x2 + a2 )-1/ n

Answer: (x2 + a2 )n

 

Question: The coefficient of the middle term in the expansion of(2 + 3x)4 is :

  • a) 6
  • b) 5!
  • c) 8!
  • d) 216

Answer: 216

 

Question: If C0, C1, C2, .............. Cn denote the binomial coefficients in the expansion of (1 + x)n, then the value of C0 + (C0 + C1) + (C0+ C1 + C2) + .... + (C0+ C1 +.....+ Cn–1)

  • a) n.2n–1
  • b) n.2n
  • c) (n – 1).2n–1
  • d) (n – 1).2n

Answer: n.2n–1

 

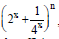
Question: The coefficient of x20 in the expansion of

 BITSAT Mathematics Bionomial 2

is

  • a) 30C10
  • b) 30C25
  • c) 1
  • d) None of these

Answer: 30C25

 

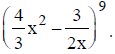
Question: The term independent of x in the expansion of

 BITSAT Mathematics Bionomial 3

is a times the corresponding binomial coefficient. Then a is

  • a) 3
  • b) 1/3
  • c) –1/3
  • d) None of these

Answer: None of these

 

Question: In the binomial (21/3 + 3-1/3)n, if the ratio of the seventh term from the beginning of the expansion to the seventh term from its end is 1/6 , then n equal to

  • a) 6
  • b) 9
  • c) 12
  • d) 15

Answer: 9 

 

Question: The coefficient of x32 in the expansion of :

 BITSAT Mathematics Bionomial 4is

  • a) –15C3
  • b) 15C4
  • c) –15C5
  • d) 15C2

Answer: 15C4

 

Question: If in the expansion of

 BITSAT Mathematics Bionomial 5

 T3 = 7T2 and sum of the binomial coefficients of second and third terms is 36, then the value of x is –

  • a) –1/3
  • b) – 1/2
  • c) 1/3
  • d) 1/2

Answer: –1/3

 

Question: If the second, third and fourth terms in the expansion of (a + b)n are 135, 30 and 10/3 respectively, then find the value of n.

  • a) 3
  • b) 4
  • c) 5
  • d) 6

Answer: 5

 

Question: If the middle term in the expansion of

 BITSAT Mathematics Bionomial 6

is 924 x6, then find n.

  • a) 58
  • b) 18
  • c) 12
  • d) 20

Answer: 12

 

Question: If the third term in the expansion of [x + xlog10 x ]5 is 106, then x may be

  • a) 1
  • b) √10
  • c) 10
  • d) 10-2 / 5

Answer: 10

 

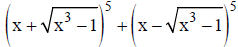
Question:

BITSAT Mathematics Bionomial 7

is a polynomial of the order of

  • a) 5
  • b) 6
  • c) 7
  • d) 8

Answer: 7

 

Question: if 

BITSAT Mathematics Bionomial 8

 then a0 + a2 + a4 + .... + a2n equals

  • a)

    BITSAT Mathematics Bionomial 9

  • b)

    BITSAT Mathematics Bionomial 10

  • c)

    BITSAT Mathematics Bionomial 11

  • d)

    BITSAT Mathematics Bionomial 12

Answer:

BITSAT Mathematics Bionomial 9

 

Question:  Find the term independent of x in the expansion of

 BITSAT Mathematics Bionomial 13

  • a) 4
  • b) 7
  • c) 8
  • d) 10

Answer: 7

 

Question: In the binomial (21/3 + 3-1/3)n, if the ratio of the seventh term from the beginning of the expansion to the seventh term from its end is 1/6 , then n equal to

  • a) 6
  • b) 9
  • c) 12
  • d) 15

Answer: 9

 

Application Of Derivatives
Application Of Derivatives MCQs
Application Of Integrals
Application Of Integrals MCQs
Bionomial Theorem
Bionomial Theorem MCQs
Complex Numbers and Quadratic Equations
Complex Numbers and Quadratic Equations MCQs
Conic Sections
Conic Sections MCQs
Continuity and Differentiability
Continuity and Differentiability MCQs
Determinants
Determinants MCQs
Differential Equations
Differential Equations MCQs
Integrals
Integrals MCQs
Inverse Trigonometric Functions
Inverse Trigonometric Functions MCQs
Limits and Derivatives
Limits and Derivatives MCQs
Linear Inequalities
Linear Inequalities MCQs
Linear Programming
Linear Programming MCQs
Mathematical Reasoning
Mathematical Reasoning MCQs
Permutations and Combinations
Permutations and Combinations MCQs
Principle Of Mathematical Induction
Principle Of Mathematical Induction MCQs
Probability
Probability MCQs
Properties Of Triangles
Properties Of Triangles MCQs
Relations and Functions
Relations and Functions MCQs
Sequences and Series
Sequences and Series MCQs
Statistics
Statistics MCQs
Straight Lines and Pair Of Straight Lines
Straight Lines and Pair Of Straight Lines MCQs
Three Dimensional Geometry
Three Dimensional Geometry MCQs
Trigonometric Functions
Trigonometric Functions MCQs
Vector Algebra
Vector Algebra MCQs

MCQs for Bionomial Theorem Mathematics BITSAT

Students can use these MCQs for Bionomial Theorem to quickly test their knowledge of the chapter. These multiple-choice questions have been designed as per the latest syllabus for BITSAT Mathematics released by BITSAT. Our expert teachers suggest that you should practice daily and solving these objective questions of Bionomial Theorem to understand the important concepts and better marks in your school tests.

Bionomial Theorem NCERT Based Objective Questions

Our expert teachers have designed these Mathematics MCQs based on the official NCERT book for BITSAT. We have identified all questions from the most important topics that are always asked in exams. After solving these, please compare your choices with our provided answers. For better understanding of Bionomial Theorem, you should also refer to our NCERT solutions for BITSAT Mathematics created by our team.

Online Practice and Revision for Bionomial Theorem Mathematics

To prepare for your exams you should also take the BITSAT Mathematics MCQ Test for this chapter on our website. This will help you improve your speed and accuracy and its also free for you. Regular revision of these Mathematics topics will make you an expert in all important chapters of your course.

FAQs

Where can I access latest BITSAT Mathematics Bionomial Theorem MCQs?

You can get most exhaustive BITSAT Mathematics Bionomial Theorem MCQs for free on StudiesToday.com. These MCQs for BITSAT Mathematics are updated for the 2026-27 academic session as per BITSAT examination standards.

Are Assertion-Reasoning and Case-Study MCQs included in the Mathematics BITSAT material?

Yes, our BITSAT Mathematics Bionomial Theorem MCQs include the latest type of questions, such as Assertion-Reasoning and Case-based MCQs. 50% of the BITSAT paper is now competency-based.

How do practicing Mathematics MCQs help in scoring full marks in BITSAT exams?

By solving our BITSAT Mathematics Bionomial Theorem MCQs, BITSAT students can improve their accuracy and speed which is important as objective questions provide a chance to secure 100% marks in the Mathematics.

Do you provide answers and explanations for BITSAT Mathematics Bionomial Theorem MCQs?

Yes, Mathematics MCQs for BITSAT have answer key and brief explanations to help students understand logic behind the correct option as its important for 2026 competency-focused BITSAT exams.

Can I practice these Mathematics BITSAT MCQs online?

Yes, you can also access online interactive tests for BITSAT Mathematics Bionomial Theorem MCQs on StudiesToday.com as they provide instant answers and score to help you track your progress in Mathematics.