Practice BITSAT Mathematics Integrals MCQs provided below. The MCQ Questions for BITSAT Integrals Mathematics with answers and follow the latest BITSAT/ NCERT and KVS patterns. Refer to more Chapter-wise MCQs for BITSAT BITSAT Mathematics and also download more latest study material for all subjects
MCQ for BITSAT Mathematics Integrals
BITSAT Mathematics students should review the 50 questions and answers to strengthen understanding of core concepts in Integrals
Integrals MCQ Questions BITSAT Mathematics with Answers
Question: If
dx is equal to :
- a)
- b)
- c)
- d)
Answer:
Question: If
then
- a)
- b) g(x) = log x
- c) L = 1
- d) None of these
Answer: None of these
Question:
equals
- a) 0
- b) ∞
- c) 2
- d)
Answer:
Question: Let f(x) be a polynomial of degree three satisfying f(0) = – 1 and f(1) = 0. Also, 0 is a stationary point of f(x). If f(x) does not have an extremum at x = 0, then the value of
is
- a)
- b) x + C
- c)
- d) None of these
Answer: x + C
Question: Evaluate 
- a)
- b) tan-1 (2 tan x) + C
- c)
- d) None of these
Answer:
Question:
is equal to
- a) 10
- b) 5
- c) 2
- d)
Answer: 5
Question:
is equal to
- a)
- b)
- c)
- d) None of these
Answer:
Question: Evaluate 
- a) π/2
- b) π/4
- c) π/3
- d) π
Answer: π/4
Question:
- a) cos–1 x + c
- b) sec–1 x + c
- c) cot–1 x + c
- d) tan–1 x + c
Answer: sec–1 x + c
Question: Evaluate 
- a)
- b)
- c)
- d)
Answer:
Question:
equals
- a) 2
- b) π
- c) π/4
- d) π/2
Answer: π/4
Question: Evaluate 
- a)
- b)
- c)
- d) None of these
Answer:
Question: Find the value of 
- a) 8
- b) 6
- c) 4
- d) 2
Answer: 8
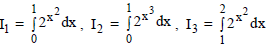
Question: Let
And
then
- a) I1 > I2
- b) I2 > I1
- c) I1= I2
- d) None of these
Answer: I2 > I1
Question:
dx
- a)
- b)
- c)
- d)
Answer:
Question: If
, where m € N, then I10 + 10 I9 is equal to -
- a) e10
- b)
- c) e
- d) e – 1
Answer: e
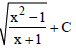
Question:
If = Aln | cos x + sin x - 2 | +Bx +C. Then the ordered triplet A, B, λ is –
- a)
- b)
- c)
- d)
Answer:
Question: Evaluate:∫ x tan-1 x dx
- a)
- b)
- c)
- d) None of these
Answer:
Question: Evaluate : 
- a) π/4
- b) π
- c) π/2
- d) π/3
Answer: π/4
Question: If
= 66, then n =
- a) 24
- b) 9
- c) 12
- d) 7
Answer: 12
Question:
- a)
- b)
- c) log(1+cos x) + c
- d)
Answer:
Question:
equals
- a) log 2 – 1
- b) log 2
- c) log 4 – 1
- d) – log 2
Answer: log 2
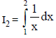
Question: If
and
then
- a) I2 > I1
- b) I1 > I2
- c) I3 = I4
- d) I3 > I4
Answer: I1 > I2
Question:
- a) x + cos x + C
- b) 1 + sin x + C
- c) sec x – tan x + C
- d) sec x + tan x + C
Answer: sec x + tan x + C
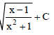
Question:
is equal to
- a)
- b)
- c)
- d)
Answer:
Question:
- a)
- b)
- c)
- d)
Answer:
Question: The value of integral
is
- a) π/4
- b) π/2
- c) π
- d) None of these
Answer: π/4
Question: If f (x) =
, then
is equal to
- a)
- b)
- c)
- d) 1
Answer:
Question: The value of
is –
- a) tan x – cot x + C
- b) tan x + cot x + C
- c) – tan x – cot x + C
- d) None of these
Answer: tan x – cot x + C
Question: Evaluate 
- a) 1
- b) 0
- c) 1/2
- d) 2
Answer: 1/2
| BITSAT Mathematics Application Of Derivatives MCQs |
| BITSAT Mathematics Application Of Integrals MCQs |
| BITSAT Mathematics Bionomial Theorem MCQs |
| BITSAT Mathematics Complex Numbers and Quadratic Equations MCQs |
| BITSAT Mathematics Conic Sections MCQs |
| BITSAT Mathematics Continuity and Differentiability MCQs |
| BITSAT Mathematics Determinants MCQs |
| BITSAT Mathematics Differential Equations MCQs |
| BITSAT Mathematics Integrals MCQs |
| BITSAT Mathematics Inverse Trigonometric Functions MCQs |
| BITSAT Mathematics Limits and Derivatives MCQs |
| BITSAT Mathematics Linear Inequalities MCQs |
| BITSAT Mathematics Linear Programming MCQs |
| BITSAT Mathematics Mathematical Reasoning MCQs |
| BITSAT Mathematics Matrices MCQs |
| BITSAT Mathematics Permutations and Combinations MCQs |
| BITSAT Mathematics Principle Of Mathematical Induction MCQs |
| BITSAT Mathematics Probability MCQs |
| BITSAT Mathematics Properties Of Triangles MCQs |
| BITSAT Mathematics Relations and Functions MCQs |
| BITSAT Mathematics Sequences and Series MCQs |
| BITSAT Mathematics Statistics MCQs |
| BITSAT Mathematics Straight Lines and Pair Of Straight Lines MCQs |
| BITSAT Mathematics Three Dimensional Geometry MCQs |
| BITSAT Mathematics Trigonometric Functions MCQs |
| BITSAT Mathematics Vector Algebra MCQs |
Free study material for Mathematics
MCQs for Integrals Mathematics BITSAT
Students can use these MCQs for Integrals to quickly test their knowledge of the chapter. These multiple-choice questions have been designed as per the latest syllabus for BITSAT Mathematics released by BITSAT. Our expert teachers suggest that you should practice daily and solving these objective questions of Integrals to understand the important concepts and better marks in your school tests.
Integrals NCERT Based Objective Questions
Our expert teachers have designed these Mathematics MCQs based on the official NCERT book for BITSAT. We have identified all questions from the most important topics that are always asked in exams. After solving these, please compare your choices with our provided answers. For better understanding of Integrals, you should also refer to our NCERT solutions for BITSAT Mathematics created by our team.
Online Practice and Revision for Integrals Mathematics
To prepare for your exams you should also take the BITSAT Mathematics MCQ Test for this chapter on our website. This will help you improve your speed and accuracy and its also free for you. Regular revision of these Mathematics topics will make you an expert in all important chapters of your course.
You can get most exhaustive BITSAT Mathematics Integrals MCQs for free on StudiesToday.com. These MCQs for BITSAT Mathematics are updated for the 2025-26 academic session as per BITSAT examination standards.
Yes, our BITSAT Mathematics Integrals MCQs include the latest type of questions, such as Assertion-Reasoning and Case-based MCQs. 50% of the BITSAT paper is now competency-based.
By solving our BITSAT Mathematics Integrals MCQs, BITSAT students can improve their accuracy and speed which is important as objective questions provide a chance to secure 100% marks in the Mathematics.
Yes, Mathematics MCQs for BITSAT have answer key and brief explanations to help students understand logic behind the correct option as its important for 2026 competency-focused BITSAT exams.
Yes, you can also access online interactive tests for BITSAT Mathematics Integrals MCQs on StudiesToday.com as they provide instant answers and score to help you track your progress in Mathematics.