Practice CBSE Class 5 Mathematics IMO Olympiad MCQs with Answers Set 07 provided below. The MCQ Questions for Class 5 IMO Olympiad Mathematics with answers and follow the latest CBSE/ NCERT and KVS patterns. Refer to more Chapter-wise MCQs for CBSE Class 5 Mathematics and also download more latest study material for all subjects
MCQ for Class 5 Mathematics IMO Olympiad
Class 5 Mathematics students should review the 50 questions and answers to strengthen understanding of core concepts in IMO Olympiad
IMO Olympiad MCQ Questions Class 5 Mathematics with Answers
LOGICAL REASONING
Question. If 'wall' is called 'window', 'window' is called 'door', 'door' is called 'floor' and 'floor' is called 'ventilator', then what will a person stand on?
A. window
B. wall
C. floor
D. ventilator
Answer : D
Question. From his house, Samrath went 15 km to the North.
Then he turned West and covered 10 km. Then, he turned South and covered 5 km. Finally, turning to East, he covered 10 km. In which direction is he from his house?
A. East
B. West
C. North
D. South
Answer : C
Question. Which of the following words cann ot be formed from the letters of the given word?
THERMOLYSIS
A. LOITER
B. LORIS
C. LOTUS
D. SISTER
Answer : C
Question. Trishu knows more than Sidak. Kavleen knows as much as Mini. Mohit knows only less than Samrath.
Sidak knows more than Mini but less than Mohit. Who is the most knowledgeable person amongst all?
A. Trishu
B. Kavleen
C. Sidak
D. Samrath
Answer : D
Question. Which of the following Venn diagrams best depicts the relationship amongst, “Travellers, Train and Bus ”?
Answer : C
Question. Select the odd one out.
A. VUXY
B. FEHI
C. JILM
D. HGIK
Answer : D
Question. Select the number from the options that will complete the given series.
20, 19, 17, ? , 10, 5
A. 12
B. 13
C. 14
D. 15
Answer : C
Question. The given table shows the possible food choices for lunch. How many different types of lunch can be made each including 1 type of soup, 1 type of sandwich and 1 type of salad?
A. 2
B. 3
C. 6
D. 8
Answer : D
Question. The given diagram shows the original position of a wheel. Which of the following diagrams shows the correct position of the wheel after it has been turned 2(1/8) turns to the left ?
Answer : D
Question. Study the given arrangement carefully.
1 A F 3 D U K J 9 R B 2 E K L 8 G P
Which of the following is eighth to the right of seventh letter from the left end in the above arrangement?
A. F
B. P
C. L
D. 2
Answer : C
Question. There is a certain relationship between figures 1 and 2. Establish the similar relationship between figures 3 and 4 by selecting a figure from the options which will replace the (?) in figure 4.
Answer : D
Question. Select a figure from the given options which will replace the (?) to form the series as established by the problem figures
Answer : B
Question. Find the missing number, if same rule is followed in all the three figures.
A. 5
B. 8
C. 9
D. 7
Answer : B
Question. Find the total number of cubes in the given figure.
A. 13
B. 14
C. 15
D. 16
Answer : B
Question. Select a figure from the options in which Fig.(X) is exactly embedded as one of its part.
Answer : D
MATHEMATICAL REASONING
Question. The given figure is made up of identical squares.
The total area of the figure is 576 cm2. What is the perimeter of the figure?
A. 320 cm
B. 160 cm
C. 240 cm
D. 200 cm
Answer : B
Question. The value of 5 tens, 5 tenths and 15 hundredths is the same as _______.
A. 50 + 65/10
B. 50 + 5/100 + 15/1000
C. 50 + 0.565
D. 50 + 0.6 + 0.05
Answer : D
Question. Which of the following options shows the same property between a rectangle and a square?
A. Both have only 1 pair of parallel lines.
B. Both have all the angles of measure 90°.
C. Diagonals cut each other perpendicularly.
D. Both have all sides of equal length.
Answer : B
Question. How many of the following alphabets has atleast one line of symmetry?
ACDFGHIL
A. 4
B. 5
C. 3
D. 6
Answer : B
Question. Using all the given digits, form the greatest possible 7-digit even number, if repetition of digits is allowed.
9 3 0 8
A. 9830000
B. 9998830
C. 9988330
D. 9999830
Answer : D
Question. A cricket stadium manager counted the number of matches held in each month.
In which month, the stadium had the lowest number of matches?
A. August
B. September
C. October
D. November
Answer : B
Question. Which of the following options is correct for the fraction of shaded parts in figures I and II?
A. I > II
B. II > I
C. I = II
D. Can't be determined
Answer : A
Question. If
A. 1500 g
B. 1650 g
C. 1800 g
D. 1000 g
Answer : B
Question. Subtract 65 minutes from the sum of 145 minutes and 1 hour 20 minutes. The answer is _______.
A. 165 mins
B. 2 hrs 40 mins
C. 215 mins
D. 3 hrs 40 mins
Answer : B
Question. What is the missing number in the box?
600.051 = 600 + ⬜ + 0.001
A. 0.005
B. 0.05
C. 0.5
D. 5
Answer : B
Question. Four girls each made a statement about the givenfig ure.
Sanchi : “I can see 6 pairs of perpendicular lines”.
Trishika : “There are 7 angles in the figure”.
Sidak : “There is only one pair of parallel lines”.
Mini : “6 of the angles are less than a right angle”.
Which girl made the correct statement ?
A. Sanchi
B. Trishika
C. Sidak
D. Mini
Answer : A
Question. What is the difference in the place value of the digits 8 and 6 in the numeral 8962321?
A. 7994000
B. 7904000
C. 7960000
D. 7940000
Answer : D
Question. Which of the following shapes has more than 1 line of symmetry?
Answer : B
Question. Mohit cycled from his house to the post office, then to the market, then to the hospital and then he went to his house. The distances are marked in the given figure. What is the total distance covered by Mohit?
A. 12.5 km
B. 17.4 km
C. 9.53 km
D. 10.3 km
Answer : B
Question. The given figure is made up of identical squares.
Find the area of the shaded region.
A. 50 cm2
B. 54 cm2
C. 58 cm2
D. 52 cm2
Answer : D
Question. 28845 is written in words as ______.
A. Twenty eight thousand eight hundred and forty five.
B. Twenty thousand eighty eight hundred and forty five.
C. Two thousand eight hundred and five.
D. Two hundred and eighty eight and forty five.
Answer : A
Question. Sum of factors of 78 is ________.
A. 168
B. 170
C. 167
D. 189
Answer : A
Question. If
A. 70
B. 75
C. 65
D. 80
Answer : D
Direction (a - b): The given graph shows the number of toy cars some children have.
Question a. ________ has thrice as many toy cars as the total number of toy cars Samay and Kiara have.
A. Trishu
B. Kiara
C. Pratik
D. Samay
Answer : C
Question b. If 3 toy cars are sold for ₹48, how much will the children earn if they sell all their toy cars?
A. ₹ 1720
B. ₹ 1920
C. ₹ 1900
D. ₹ 1860
Answer : B
EVERYDAY MATHEMATICS
Question. Golu's toothbrush is 14.5 cm long and Samaksh's toothbrush is 12.8 cm long. How much longer is Golu's toothbrush than Samaksh?
A. 1.7 cm
B. 1.6 cm
C. 2.7 cm
D. 1.9 cm
Answer : A
Question. Neha weighs 35.4 kg and Manju weighs 42.9 kg. IfAa shish, Neha and Manju weigh 117 kg altogether, then what is Aashish's weight?
A. 38 kg
B. 38.9 kg
C. 38.7 kg
D. 38.6 kg
Answer : C
Question. Mrs Priya bought 3 litres of milk in the morning.
There was 5/8 litres left in the evening. How much milk was used during the day?
A. (2/8)litre
B. (17/8)litres
C. (23/8)litres
D. (19/8)litres
Answer : D
Question. There are 21827 children in school XYZ. Each child pays ₹ 489 per month as the tuition fee. How much money is collected by the school per month?
A. ₹ 1,06,73,403
B. ₹ 1,60,73,403
C. ₹ 1,60,37,304
D. ₹ 1,40,37,403
Answer : A
Question. The air hostess of Jet Airways reported for duty at 13:30 hours. She completed 8 hours of duty. At what time did her duty get over?
A. 22:30 hours
B. 20:00 hours
C. 19:00 hours
D. 21:30 hours
Answer : D
Question. A rectangular garden is 32 m wide and 48 m long.
How much fencing will be needed to enclose the garden? If fencing costs ₹98 per metre, how much will it cost to fence the garden?
A. 160 m, ₹ 15680
B. 180 m, ₹ 15860
C. 160 m, ₹ 15000
D. 170 m, ₹ 15600
Answer : A
Question. A tea plucker plucked 4,12,250; 3,34,278; and 2,43,581 tea leaves on three successive days. How many tea leaves did he pluck in all the three days?
A. 9,09,109
B. 9,90,109
C. 9,00,109
D. 9,99,109
Answer : B
Question. 21,35,680 voters are to be equally distributed among 235 polling booths. How many voters will be there in each polling booth?
A. 9080
B. 9800
C. 9088
D. 8800
Answer : C
Question. A school van covers a distance of 34.25 km to pick students from their homes in a day. What distance will it cover in 66 days?
A. 2160.50 km
B. 3160.50 km
C. 2260.50 km
D. 2006.50 km
Answer : C
Question. 12685 books were bought for the primary section; 15790 books were bought for the middle section; and 13698 books were bought for the senior section of the school library. What was the total number of books bought for the library?
A. 42163
B. 42173
C. 42130
D. 42193
Answer : B
ACHIEVERS SECTION
Question. The given figure is made up of a square and a rectangle.
The breadth of the rectangle is (1/3)rd the length of the edge of the square. If the area of the whole figure is 384 cm2, find the length of the rectangle
A. 12 cm
B. 8 cm
C. 10 cm
D. 9 cm
Answer : C
Question. Alisha is thinking of a 5-digit even number. The first digit is 4 more than the smallest odd number. The second digit is a common factor of the numbers 2 and 11. The third digit is the product of the first 2 digits.
The sum of the fourth and fifth digit is 9. The fifth digit is a multiple of 6. What is the number Alisha thinking of ?
A. 41436
B. 41463
C. 51536
D. 51563
Answer : C
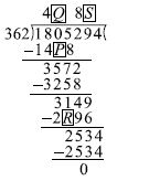
Question. Find the value of (Q+R÷P/22) x S
A. 6.9
B. 3.5
C. 4.5
D. 4.8
Answer : B
Question. Read the following statements and select the correct option.
Statement 1 : The value of CM – CD + CVII is 607.
Statement 2 : Symbol C can be added to every Roman symbol, but it can be subtracted from D and M only.
A. Statement 1 is true and Statement 2 is false.
B. Statement 1 is false and Statement 2 is true.
C. Both the Statement 1 and Statement 2 are true.
D. Both the Statement 1 and Statement 2 are false.
Answer : C
Question. Find P, Q, R and S in the given statements.
(i) Commas are inserted in a number after each _P_.
(ii) Place value of a digit becomes ___Q___ times as it moves from ten's place to thousand's place.
(iii) There is no roman numeral to represent ___R___.
(iv) 100 + 100 + 100 in roman numerals is written as___ S___.
| P | Q | R | S | |
| A | Digit | 100 | 0 | CCC |
| B | Digit | 10 | 100 | XXX |
| C | Period | 1000 | 10 | MMM |
| D | Period | 100 | 0 | CCC |
Answer : D
| CBSE Class 5 Mathematics Distance Time and Speed MCQs |
| CBSE Class 5 Mathematics Factors and Multiples MCQs |
| CBSE Class 5 Mathematics Geometric Constructions MCQs |
| CBSE Class 5 Mathematics Introduction to Algebra MCQs |
| CBSE Class 5 Mathematics Large Numbers MCQs |
| CBSE Class 5 Mathematics Fractions MCQs Set 03 |
| CBSE Class 5 Mathematics Fractions MCQs Set 02 |
| CBSE Class 5 Mathematics Fractions MCQs Set 01 |
| CBSE Class 5 Mathematics Angles as Turns MCQs Set 03 |
| CBSE Class 5 Mathematics Angles as Turns MCQs Set 02 |
| CBSE Class 5 Mathematics Angles as Turns MCQs Set 01 |
| CBSE Class 5 Mathematics Far and Near MCQs Set 03 |
| CBSE Class 5 Mathematics Far and Near MCQs Set 02 |
| CBSE Class 5 Mathematics Far and Near MCQs Set 01 |
| CBSE Class 5 Mathematics The Dairy Farm MCQs Set 03 |
| CBSE Class 5 Mathematics The Dairy Farm MCQs Set 02 |
| CBSE Class 5 Mathematics The Dairy Farm MCQs Set 01 |
| CBSE Class 5 Mathematics Coconut Farm MCQs Set 03 |
| CBSE Class 5 Mathematics Coconut Farm MCQs Set 02 |
| CBSE Class 5 Mathematics Coconut Farm MCQs Set 01 |
| CBSE Class 5 Mathematics Racing Seconds MCQs Set 03 |
| CBSE Class 5 Mathematics Racing Seconds MCQs Set 02 |
| CBSE Class 5 Mathematics Racing Seconds MCQs Set 01 |
| CBSE Class 5 Mathematics Animal Jumps MCQs Set 03 |
| CBSE Class 5 Mathematics Animal Jumps MCQs Set 02 |
| CBSE Class 5 Mathematics Animal Jumps MCQs Set 01 |
| CBSE Class 5 Mathematics Measurement MCQs |
| CBSE Class 5 Mathematics Measuring Temperature MCQs |
| CBSE Class 5 Mathematics Operations on Large Numbers MCQs |
| CBSE Class 5 Mathematics Order of Operations MCQs |
| CBSE Class 5 Mathematics Percentage MCQs |
| CBSE Class 5 Mathematics Perimeter and Area MCQs |
| CBSE Class 5 Mathematics Profit and Loss MCQs |
| CBSE Class 5 Mathematics Rounding off Numbers MCQs |
| CBSE Class 5 Mathematics Simple Interest MCQs |
| CBSE Class 5 Mathematics Symmetry and Nets of Solids MCQs |
| CBSE Class 5 Mathematics Time and Distance MCQs |
| CBSE Class 5 Mathematics Time and Work MCQs |
| CBSE Class 5 Mathematics Unitary Method MCQs |
Free study material for Mathematics
MCQs for IMO Olympiad Mathematics Class 5
Students can use these MCQs for IMO Olympiad to quickly test their knowledge of the chapter. These multiple-choice questions have been designed as per the latest syllabus for Class 5 Mathematics released by CBSE. Our expert teachers suggest that you should practice daily and solving these objective questions of IMO Olympiad to understand the important concepts and better marks in your school tests.
IMO Olympiad NCERT Based Objective Questions
Our expert teachers have designed these Mathematics MCQs based on the official NCERT book for Class 5. We have identified all questions from the most important topics that are always asked in exams. After solving these, please compare your choices with our provided answers. For better understanding of IMO Olympiad, you should also refer to our NCERT solutions for Class 5 Mathematics created by our team.
Online Practice and Revision for IMO Olympiad Mathematics
To prepare for your exams you should also take the Class 5 Mathematics MCQ Test for this chapter on our website. This will help you improve your speed and accuracy and its also free for you. Regular revision of these Mathematics topics will make you an expert in all important chapters of your course.
You can get most exhaustive CBSE Class 5 Mathematics IMO Olympiad MCQs with Answers Set 07 for free on StudiesToday.com. These MCQs for Class 5 Mathematics are updated for the 2025-26 academic session as per CBSE examination standards.
Yes, our CBSE Class 5 Mathematics IMO Olympiad MCQs with Answers Set 07 include the latest type of questions, such as Assertion-Reasoning and Case-based MCQs. 50% of the CBSE paper is now competency-based.
By solving our CBSE Class 5 Mathematics IMO Olympiad MCQs with Answers Set 07, Class 5 students can improve their accuracy and speed which is important as objective questions provide a chance to secure 100% marks in the Mathematics.
Yes, Mathematics MCQs for Class 5 have answer key and brief explanations to help students understand logic behind the correct option as its important for 2026 competency-focused CBSE exams.
Yes, you can also access online interactive tests for CBSE Class 5 Mathematics IMO Olympiad MCQs with Answers Set 07 on StudiesToday.com as they provide instant answers and score to help you track your progress in Mathematics.