NEET Chemistry Organic Chemistry Some Basic Principles and Techniques MCQs Set 02

Practice NEET Chemistry Organic Chemistry Some Basic Principles and Techniques MCQs Set 02 provided below. The MCQ Questions for NEET Organic Chemistry Some Basic Principles and Techniques Chemistry with answers and follow the latest NEET/ NCERT and KVS patterns. Refer to more Chapter-wise MCQs for NEET NEET Chemistry and also download more latest study material for all subjects

MCQ for NEET Chemistry Organic Chemistry Some Basic Principles and Techniques

NEET Chemistry students should review the 50 questions and answers to strengthen understanding of core concepts in Organic Chemistry Some Basic Principles and Techniques

Organic Chemistry Some Basic Principles and Techniques MCQ Questions NEET Chemistry with Answers

 

 

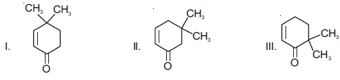
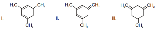
Question:  Given :

NEET Chemistry Organic Chemistry Some Basic Principles and Techniques Online Test Set C-Q6-1

The enthalpy of hydrogenation of these compounds will be in the order as 

  • a) II > I > III
  • b) I > II > III
  • c) III > II > I
  • d) II > III > I

Answer: III > II > I

 

Question: In Duma's method for estimation of nitrogen, 0.25 g of an organic compound gave 40 mL of nitrogen collected at 300 K temperature and 725 mm pressure. If the aqueous tension at 300 K is 25 mm, the percentage of nitrogen in the compound is

  • a) 15.76
  • b) 17.36
  • c) 18.20
  • d) 16.76

Answer: 16.76

 

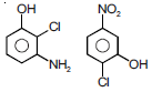
Question:  Given

NEET Chemistry Organic Chemistry Some Basic Principles and Techniques Online Test Set C-Q8

Which of the given compounds can exhibit tautomerism? 

  • a) I, II and III
  • b) I and II
  • c) I and III
  • d) II and III

Answer: I, II and III

 

Question:  In the Kjeldahl's method for estimation of nitrogen present in a soil sample, ammonia evolved from 0.75 g of sample neutralized 10 mL of 1 M H2SO4. The percentage of nitrogen in the soil is 

  • a) 37.33
  • b) 45.33
  • c) 35.33
  • d) 43.33

Answer: 37.33

 

Question: The structure of isobutyl group in an organic compound is

  • a)

    NEET Chemistry Organic Chemistry Some Basic Principles and Techniques Online Test Set C-Q10-1

  • b) CH3–CH2–CH2–CH2
  • c)

    NEET Chemistry Organic Chemistry Some Basic Principles and Techniques Online Test Set C-Q10-3

  • d)

    NEET Chemistry Organic Chemistry Some Basic Principles and Techniques Online Test Set C-Q10-4

Answer:

NEET Chemistry Organic Chemistry Some Basic Principles and Techniques Online Test Set C-Q10-4

 

Question:  The radical,

NEET Chemistry Organic Chemistry Some Basic Principles and Techniques Online Test Set D

is aromatic because it has 

  • a) 7 p-orbitals and 6 unpaired electrons
  • b) 7 p-orbitals and 7 unpaired electrons
  • c) 6 p-orbitals and 7 unpaired electrons
  • d) 6 p-orbitals and 1 unpaired electron

Answer: 6 p-orbitals and 1 unpaired electron

 

Question:  The order of stability of the following tautomeric compounds is

NEET Chemistry Organic Chemistry Some Basic Principles and Techniques Online Test Set D-

  • a) III > II > I
  • b) II > I > III
  • c) II > III > II
  • d) I > II > III

Answer: III > II > I

 

Question: Structure of the compound whose IUPAC name is 3-ethyl-2-hydroxy-4-methylhex-3-en-5-ynoic acid is

  • a)

    NEET Chemistry Organic Chemistry Some Basic Principles and Techniques Online Test Set D-Q13-1

  • b)

    NEET Chemistry Organic Chemistry Some Basic Principles and Techniques Online Test Set D-Q13-2

  • c)

    NEET Chemistry Organic Chemistry Some Basic Principles and Techniques Online Test Set D-Q13-3

  • d)

    NEET Chemistry Organic Chemistry Some Basic Principles and Techniques Online Test Set D-Q13-4

Answer:

NEET Chemistry Organic Chemistry Some Basic Principles and Techniques Online Test Set D-Q13-1

 

Question: Some meta-directing substituents in aromatic substitution are given. Which one is most deactivating?

  • a) –SO3
  • b) –COOH
  • c) –NO2  
  • d) –C≡N

Answer: –NO2  

 

Question: Which of the following compounds will not undergo Friedal-Craft's reaction easily?

  • a) Xylene
  • b) Nitrobenzene
  • c) Toluene
  • d) Cumene

Answer: Nitrobenzene

 

Question: Among the following compounds the one that is most reactive towards electrophilic nitration is

  • a) Toluene
  • b) Benzene
  • c) Benzoic acid
  • d) Nitrobenzene

Answer: Toluene

 

Question: In Dumas' method of estimation of nitrogen 0.35 g of an organic compound gave 55 mL of nitrogen collected at 300 K temperature and 715 mm pressure. The percentage composition of nitrogen in the compound would be: (Aqueous tension at 300 K = 15 mm)

  • a) 14.45
  • b) 15.45
  • c) 16.45
  • d) 17.45

Answer: 16.45

 

Question: Considering the state of hybridization of carbon atoms, find out the molecule among the following which is linear?

  • a) CH3– CH2– CH2– CH
  • b) CH3– CH = CH – CH3
  • c) CH3– C ≡ C – CH3  
  • d) CH2= CH – CH2– C ≡  CH

Answer: CH3– C ≡ C – CH3  

 

Question: The Lassaigne's extract is boiled with conc. HNO3 while testing for halogens. By doing so it 

  • a) Increases the concentration of NO3 ions  
  • b) Decomposes Na2S and NaCN, if formed
  • c) Helps in the precipitation of AgCl
  • d) Increases the solubility product of AgCl

Answer:  Decomposes Na2S and NaCN, if formed

 

Question:  The correct IUPAC name of the compound

NEET Chemistry Organic Chemistry Some Basic Principles and Techniques Online Test Set D-Q21

  • a) 3-(1-ethyl propyl) hex-1-ene
  • b) 4-Ethyl-3-propyl hex-1-ene
  • c) 3-Ethyl-4-ethenyl heptane
  • d) 3-Ethyl-4-propyl hex-5-ene

Answer: 4-Ethyl-3-propyl hex-1-ene

 

Question: Which one of the following is most reactive towards electrophillic reagent?

  • a)

    NEET Chemistry Organic Chemistry Some Basic Principles and Techniques Online Test Set D-Q22-1

  • b)

    NEET Chemistry Organic Chemistry Some Basic Principles and Techniques Online Test Set D-Q22-2

  • c)

    NEET Chemistry Organic Chemistry Some Basic Principles and Techniques Online Test Set D-Q22-3

  • d)

    NEET Chemistry Organic Chemistry Some Basic Principles and Techniques Online Test Set D-Q22-4

Answer:

NEET Chemistry Organic Chemistry Some Basic Principles and Techniques Online Test Set D-Q22-3

 

 

Question:  The IUPAC name of the following compound is

NEET Chemistry Organic Chemistry Some Basic Principles and Techniques Online Test Set D-Q23

  • a) trans-3-iodo-4-chloro-3-pentene
  • b) cis-3-chloro-3-iodo-2-pentene
  • c) trans-2-chloro-3-iodo-2-pentene
  • d) cis-3-iodo-4-chloro-3-pentene

Answer: trans-2-chloro-3-iodo-2-pentene

 

Question: Which of the following species is not electrophilic in nature ?

  • a)

    NEET Chemistry Organic Chemistry Some Basic Principles and Techniques Online Test Set D-Q24-1

  • b) BH3
  • c)

    NEET Chemistry Organic Chemistry Some Basic Principles and Techniques Online Test Set D-Q24-3

  • d)

    NEET Chemistry Organic Chemistry Some Basic Principles and Techniques Online Test Set D-Q24-4

Answer:

NEET Chemistry Organic Chemistry Some Basic Principles and Techniques Online Test Set D-Q24-3

 

Question:  The IUPAC name of the compound CH3CH =CHC ≡ CH is 

  • a) Pent-4-yn-2-ene
  • b) Pent-3-en-1-yne
  • c) Pent-2-en-4-yne
  • d) Pent-1-yn-3-ene

Answer: Pent-3-en-1-yne

 

Question:  The state of hybridization of C2, C3, C5 and C6 of the hydrocarbon,

NEET Chemistry Organic Chemistry Some Basic Principles and Techniques Online Test Set D-Q26

is in the following  sequence 

  • a) sp3, sp2, sp2 and sp 
  • b) sp, sp2, sp2 and sp3
  • c) sp, sp2, sp3 and sp2 
  • d) sp, sp3, sp2 and sp3

Answer:  sp, sp3, sp2 and sp3

 

Question:  The IUPAC name of the compound having the formula 

NEET Chemistry Organic Chemistry Some Basic Principles and Techniques Online Test Set D-Q27  is 

  • a) 1-butyn-3-ene
  • b) but-1-yne-3-ene
  • c) 1-butene-3-yne
  • d) 3-butene-1-yne

Answer: 1-butene-3-yne

 

More Questions.......................................

 

Question: Which of the following compounds will exhibit cis-trans (geometrical) isomerism?

  • a) Butanol
  • b) 2-Butyne
  • c) 2-Butenol
  • d) 2-Butene

Answer: 2-Butene

 

Question:  In the hydrocarbon  

NEET Chemistry Organic Chemistry Some Basic Principles and Techniques Online Test Set D-Q29

The state of hybridization of carbons 1,3 and 5 are in the following sequence 

  • a) sp3, sp2, sp 
  • b) sp2, sp, sp3
  • c) sp, sp3, sp2 
  • d) sp, sp2, sp3

Answer: sp, sp3, sp2 

 

Question:  The stability of carbanions in the following

NEET Chemistry Organic Chemistry Some Basic Principles and Techniques Online Test Set D-Q30

is in the order of 

  • a) a > c > b > d
  • b) a > b > c > d
  • c) b > c > d > a
  • d) d > b > c > a

Answer: a > b > c > d

 

Question:  Base strength of

NEET Chemistry Organic Chemistry Some Basic Principles and Techniques Online Test Set D-Q31

is in the order of 

  • a) a > b > c
  • b) b > a > c
  • c) c > b > a
  • d) a > c > b

Answer: a > b > c

 

Question: Which one of the following is most reactive towards electrophilic attack?

  • a)

    NEET Chemistry Organic Chemistry Some Basic Principles and Techniques Online Test Set D-Q32-1

  • b)

    NEET Chemistry Organic Chemistry Some Basic Principles and Techniques Online Test Set D-Q32-2

  • c)

    NEET Chemistry Organic Chemistry Some Basic Principles and Techniques Online Test Set D-Q32-3

  • d)

    NEET Chemistry Organic Chemistry Some Basic Principles and Techniques Online Test Set D-Q32-4

Answer:

NEET Chemistry Organic Chemistry Some Basic Principles and Techniques Online Test Set D-Q32-4

 

Question: The general molecular formula, which represents the homologous series of alkanols is

  • a) CnH2nO
  • b) CnH2nO
  • c) CnH2n+1O
  • d) CnH2n+2O

Answer:  CnH2n+2O

 

Question:  The IUPAC name of

NEET Chemistry Organic Chemistry Some Basic Principles and Techniques Online Test Set D-Q35

  • a) 3, 4-dimethylpentanoyl chloride
  • b) 1-chloro-1-oxo-2, 3-dimethylpentane
  • c) 2-ethyl-3-methylbutanoyl chloride
  • d) 2, 3-dimethylpentanoyl chloride

Answer: 2, 3-dimethylpentanoyl chloride

 

Question: Which amongst the following is the most stable carbocation?

  • a)

    NEET Chemistry Organic Chemistry Some Basic Principles and Techniques Online Test Set D-Q36-1

  • b)

    NEET Chemistry Organic Chemistry Some Basic Principles and Techniques Online Test Set D-Q36-2

  • c)

    NEET Chemistry Organic Chemistry Some Basic Principles and Techniques Online Test Set D-Q36-3

  • d)

    NEET Chemistry Organic Chemistry Some Basic Principles and Techniques Online Test Set D-Q36-4

Answer:

NEET Chemistry Organic Chemistry Some Basic Principles and Techniques Online Test Set D-Q36-2

 

Question: Which one of the following pairs represents stereoisomerism?

  • a) Chain isomerism and rotational isomerism
  • b) Structural isomerism and geometric isomersm
  • c) Linkage isomerism and geometric isomerism
  • d) Optical isomerism and geometric isomerism

Answer: Optical isomerism and geometric isomerism

 

Question: The substance which can be used as an adsorbent in column chromatography is

  • a) Na2
  • b) NaCl
  • c) Al2O3
  • d) Alum

Answer:  Al2O3

 

Question:  In the estimation of Duma's method 1.18g of an organic compound gave 224 ml of N2(g) at NTP. The percentage of N in the compound is about

  • a) 20.0
  • b) 11.8
  • c) 47.5
  • d) 23.7

Answer: 23.7

 

Question:  0.5 g of an organic compound cantaining N on kjeldahlising required 29 ml of N/5 H2SO4 for complete neutralization of NH3. The percentage of N in the compound is

  • a) 34.3
  • b) 16.2
  • c) 21.6
  • d) 14.8

Answer: 16.2

 

Question: 0.4 g of Organic Compound gave 0.188g of AgBr. The percentage of Br in the compound is

  • a) 39.8
  • b) 46.0
  • c) 20.0
  • d) 40.0

Answer: 20.0

 

Question: F cannot be tested by "Lassaigne's test" because

  • a) F is highly reactive
  • b) AgF is soluble in H2O
  • c) F is more electronegative
  • d) F– shows high lattice energy

Answer:  AgF is soluble in H2O

 

Question:  0.20 g of organic compound gave 0.5544 g of BaSO4. The percentage of S is

  • a) 38%
  • b) 19%
  • c) 18%
  • d) 83%

Answer: 38%

 

Question:  0.64 g of organic compound give 1.2535 g of Mg2P2O7. The percentage of P is

  • a) 53.86%
  • b) 35.86%
  • c) 50%
  • d) 60%

Answer: 53.86%

 

Question: Which of the following will not give the Lassaigne test for nitrogen?

  • a) NH2–NH2  
  • b) C6H5– N = N – C6H5
  • c) CH3CONH2
  • d) CH3CN

Answer: NH2–NH2  

 

Question:  In detection of 'P' by fusing with Na2O2 and then extracting it with water, we add HNO3(conc.) and ammonium molybdate to get

  • a) Yellow ppt of (NH3)3PO4   
  • b) Yellow ppt of (NH4)3PO4.12MoO3
  • c) White ppt of (NH4)3PO4  
  • d) White ppt. of (NH4)2HPO3

Answer: Yellow ppt of (NH4)3PO4.12MoO3

 

Question: Which is not correct match?

  • a) Carius method – Halogens
  • b) Leibig’s method – C and hydrogen
  • c) Kjeldahl’s method – N2
  • d) Lassaigne’s test – O2

Answer: Lassaigne’s test – O2

 

Question:  Which of the following should be a sp3 hybridised free radical?

  • a)

    NEET Chemistry Organic Chemistry Some Basic Principles and Techniques Online Test Set C

  • b)

    NEET Chemistry Organic Chemistry Some Basic Principles and Techniques Online Test Set C-2

  • c)

    NEET Chemistry Organic Chemistry Some Basic Principles and Techniques Online Test Set C-3

  • d) Both (2) & (3)

Answer: Both (2) & (3)

 

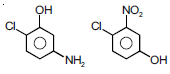
Question:

NEET Chemistry Organic Chemistry Some Basic Principles and Techniques Online Test Set C-Q2

Above two molecules are

  • a) Chain isomers
  • b) Position isomers
  • c) Metamers
  • d) All of these

Answer: Chain isomers

 

Question: Aromatic enol is not possible in

  • a)

    NEET Chemistry Organic Chemistry Some Basic Principles and Techniques Online Test Set C-Q3-1

  • b)

    NEET Chemistry Organic Chemistry Some Basic Principles and Techniques Online Test Set C-Q3-2

  • c)

    NEET Chemistry Organic Chemistry Some Basic Principles and Techniques Online Test Set C-Q3-3

  • d)

    NEET Chemistry Organic Chemistry Some Basic Principles and Techniques Online Test Set C-Q3-4

Answer:

NEET Chemistry Organic Chemistry Some Basic Principles and Techniques Online Test Set C-Q3-3

 

Question: The correct order of +I effect is

  • a)

    NEET Chemistry Organic Chemistry Some Basic Principles and Techniques Online Test Set C-Q4-1

  • b)

    NEET Chemistry Organic Chemistry Some Basic Principles and Techniques Online Test Set C-Q4-2

  • c)

    NEET Chemistry Organic Chemistry Some Basic Principles and Techniques Online Test Set C-Q4-3

  • d)

    NEET Chemistry Organic Chemistry Some Basic Principles and Techniques Online Test Set C-Q4-4

Answer:

NEET Chemistry Organic Chemistry Some Basic Principles and Techniques Online Test Set C-Q4-2

 

Question: The charge on given atom cannot be dispersed on other atom in

  • a)

    NEET Chemistry Organic Chemistry Some Basic Principles and Techniques Online Test Set C-Q5-1

  • b)

    NEET Chemistry Organic Chemistry Some Basic Principles and Techniques Online Test Set C-Q5-2

  • c)

    NEET Chemistry Organic Chemistry Some Basic Principles and Techniques Online Test Set C-Q5-3

  • d) All of these

Answer:

NEET Chemistry Organic Chemistry Some Basic Principles and Techniques Online Test Set C-Q5-3

 

Question:  The correct order of stability of given carbocations is

NEET Chemistry Organic Chemistry Some Basic Principles and Techniques Online Test Set C-Q7

  • a) I > IV > III > II
  • b) I > IV > II > III
  • c) IV > I > III > II
  • d) IV > I > II > III

Answer: IV > I > II > III

 

Question:  The correct order of stability of given corbocations is

NEET Chemistry Organic Chemistry Some Basic Principles and Techniques Online Test Set C-Q7-

  • a) VII > III > II > IV > V > I > VI
  • b) V > III > IV > II > VI > I > VII
  • c) V > IV > III > II > VII > I > VI
  • d) VI > I > VII > III > II > V > IV

Answer: V > IV > III > II > VII > I > VI

 

Question: The stability of alkyl free radicals is due to

  • a) Hyperconjugation
  • b) + I effect
  • c) – I effect
  • d) Both (2) & (3)

Answer: Both (2) & (3)

 

Question:  In the given compound

NEET Chemistry Organic Chemistry Some Basic Principles and Techniques Online Test Set C-Q9

The correct order of reactivity of H atoms towards free radical substitution is

  • a) 2 > 4 > 6 > 5 > 3 > 1
  • b) 2 > 4 > 5 > 6 > 1 > 3
  • c) 1 > 4 > 2 > 5 > 6 > 3
  • d) 3 > 1 > 5 > 6 > 4 > 2

Answer: 2 > 4 > 5 > 6 > 1 > 3

 

Question:  Which of the following is the correct order of reactivity of chlorides for given compounds?

NEET Chemistry Organic Chemistry Some Basic Principles and Techniques Online Test Set C-Q10

  • a) I > II > III > IV > V
  • b) I > III > II > IV > V
  • c) III > I > IV > V > II
  • d) I > III > IV > V > II

Answer: I > III > IV > V > II

 

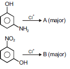
Question:  In the given reaction

NEET Chemistry Organic Chemistry Some Basic Principles and Techniques Online Test Set C-Q11

A and B are respectively

  • a)

    NEET Chemistry Organic Chemistry Some Basic Principles and Techniques Online Test Set C-Q11-1

  • b)

    NEET Chemistry Organic Chemistry Some Basic Principles and Techniques Online Test Set C-Q11-2

  • c)

    NEET Chemistry Organic Chemistry Some Basic Principles and Techniques Online Test Set C-Q11-3

  • d)

    NEET Chemistry Organic Chemistry Some Basic Principles and Techniques Online Test Set C-Q11-4

Answer:

NEET Chemistry Organic Chemistry Some Basic Principles and Techniques Online Test Set C-Q11-4

 

Question:

NEET Chemistry Organic Chemistry Some Basic Principles and Techniques Online Test Set C-Q12 Intermediate (Major)

The most stable carbocation is

  • a)

    NEET Chemistry Organic Chemistry Some Basic Principles and Techniques Online Test Set C-Q12-1

  • b)

    NEET Chemistry Organic Chemistry Some Basic Principles and Techniques Online Test Set C-Q12-2

  • c)

    NEET Chemistry Organic Chemistry Some Basic Principles and Techniques Online Test Set C-Q12-3

  • d)

    NEET Chemistry Organic Chemistry Some Basic Principles and Techniques Online Test Set C-Q12-4

Answer:

NEET Chemistry Organic Chemistry Some Basic Principles and Techniques Online Test Set C-Q12-3

 

Question:  In which of the following rearranged 3° carbocation will not be formed?

  • a)

    NEET Chemistry Organic Chemistry Some Basic Principles and Techniques Online Test Set C-Q13-1

  • b)

    NEET Chemistry Organic Chemistry Some Basic Principles and Techniques Online Test Set C-Q13-2

  • c)

    NEET Chemistry Organic Chemistry Some Basic Principles and Techniques Online Test Set C-Q13-3

  • d) Both (1) & (3)

Answer: Both (1) & (3)

 

Question: The least reactive alkene towards dil. HCl is

  • a)

    NEET Chemistry Organic Chemistry Some Basic Principles and Techniques Online Test Set C-Q14-1

  • b)

    NEET Chemistry Organic Chemistry Some Basic Principles and Techniques Online Test Set C-Q14-2

  • c)

    NEET Chemistry Organic Chemistry Some Basic Principles and Techniques Online Test Set C-Q14-3

  • d)

    NEET Chemistry Organic Chemistry Some Basic Principles and Techniques Online Test Set C-Q14-4

Answer:

NEET Chemistry Organic Chemistry Some Basic Principles and Techniques Online Test Set C-Q14-4

 

Question: The most stable carbocation is

  • a)

    NEET Chemistry Organic Chemistry Some Basic Principles and Techniques Online Test Set C-Q15-1

  • b)

    NEET Chemistry Organic Chemistry Some Basic Principles and Techniques Online Test Set C-Q15-2

  • c)

    NEET Chemistry Organic Chemistry Some Basic Principles and Techniques Online Test Set C-Q15-3

  • d)

    NEET Chemistry Organic Chemistry Some Basic Principles and Techniques Online Test Set C-Q15-4

Answer:

NEET Chemistry Organic Chemistry Some Basic Principles and Techniques Online Test Set C-Q15-2

 

 

Question: 2,3-Dimethyl-2-butene can be prepared by heating which of the following compounds with a strong acid?

  • a) (CH3)2C = CH – CH2– CH3
  • b) (CH3)2CH – CH2– CH = CH2
  • c)

    NEET Chemistry Organic Chemistry Some Basic Principles and Techniques Online Test Set C-3--

  • d) (CH3)3C – CH = CH2

Answer:  (CH3)3C – CH = CH2

 

Question:  The number of structural isomers possible from the molecular formula C3H9N is 

  • a) 2
  • b) 3
  • c) 4
  • d) 5

Answer: 4

 

Question: Which of the following statements is not correct for a nucleophile?

  • a) Nucleophiles attack low e density sites
  • b) Nucleophiles are not electron seeking
  • c) Nucleophile is a Lewis acid
  • d) Ammonia is a nucleophile

Answer: Nucleophile is a Lewis acid

 

Question:  Consider the following compounds

NEET Chemistry Organic Chemistry Some Basic Principles and Techniques Online Test Set C-Q3

Hyperconjugation occurs in 

  • a) I and III
  • b) I only
  • c) II only
  • d) III only

Answer: III only

 

Question: Which of the following is the most correct electron displacement for a nucleophilic reaction to take place?

  • a)

    NEET Chemistry Organic Chemistry Some Basic Principles and Techniques Online Test Set C-SbQ5-1

  • b)

    NEET Chemistry Organic Chemistry Some Basic Principles and Techniques Online Test Set C-SbQ5-2

  • c)

    NEET Chemistry Organic Chemistry Some Basic Principles and Techniques Online Test Set C-SbQ5-3

  • d)

    NEET Chemistry Organic Chemistry Some Basic Principles and Techniques Online Test Set C-SbQ5-4

Answer:

NEET Chemistry Organic Chemistry Some Basic Principles and Techniques Online Test Set C-SbQ5-4

 

Biomolecule
Biomolecule MCQs
Chemical Bonding
Chemical Bonding MCQs
Chemical Thermodynamics
Chemical Thermodynamics MCQs
Chemistry in Everyday Life
In Everyday Life MCQs
Classification of Elements
Classification of Elements MCQs
D and F Block Elements
D and F Block Elements MCQs
Isolation of Metals
Isolation of Metals MCQs
Organic Chemistry
Organic Chemistry MCQs
Organic Compound Containing Halogens
Organic Compounds Containing Halogens MCQs
Organic Compound Containing Nitrogen
Organic Compound Containing Nitrogen MCQs
Organic Compounds
Organic Compounds MCQs
Organic Compounds Containing Oxygen
Organic Compounds Containing Oxygen MCQs
P Block Elements
P Block Elements MCQs
Practicals
Practicals MCQs
Redox Reactions and Electrochemistry
Redox Reactions and Electrochemistry MCQs
S Block Elements
S Block Elements MCQs
States of Matter
States of Matter MCQs
Structure of Atom
Structure of Atom MCQs

MCQs for Organic Chemistry Some Basic Principles and Techniques Chemistry NEET

Students can use these MCQs for Organic Chemistry Some Basic Principles and Techniques to quickly test their knowledge of the chapter. These multiple-choice questions have been designed as per the latest syllabus for NEET Chemistry released by NEET. Our expert teachers suggest that you should practice daily and solving these objective questions of Organic Chemistry Some Basic Principles and Techniques to understand the important concepts and better marks in your school tests.

Organic Chemistry Some Basic Principles and Techniques NCERT Based Objective Questions

Our expert teachers have designed these Chemistry MCQs based on the official NCERT book for NEET. We have identified all questions from the most important topics that are always asked in exams. After solving these, please compare your choices with our provided answers. For better understanding of Organic Chemistry Some Basic Principles and Techniques, you should also refer to our NCERT solutions for NEET Chemistry created by our team.

Online Practice and Revision for Organic Chemistry Some Basic Principles and Techniques Chemistry

To prepare for your exams you should also take the NEET Chemistry MCQ Test for this chapter on our website. This will help you improve your speed and accuracy and its also free for you. Regular revision of these Chemistry topics will make you an expert in all important chapters of your course.

FAQs

Where can I access latest NEET Chemistry Organic Chemistry Some Basic Principles and Techniques MCQs Set 02?

You can get most exhaustive NEET Chemistry Organic Chemistry Some Basic Principles and Techniques MCQs Set 02 for free on StudiesToday.com. These MCQs for NEET Chemistry are updated for the 2026-27 academic session as per NEET examination standards.

Are Assertion-Reasoning and Case-Study MCQs included in the Chemistry NEET material?

Yes, our NEET Chemistry Organic Chemistry Some Basic Principles and Techniques MCQs Set 02 include the latest type of questions, such as Assertion-Reasoning and Case-based MCQs. 50% of the NEET paper is now competency-based.

How do practicing Chemistry MCQs help in scoring full marks in NEET exams?

By solving our NEET Chemistry Organic Chemistry Some Basic Principles and Techniques MCQs Set 02, NEET students can improve their accuracy and speed which is important as objective questions provide a chance to secure 100% marks in the Chemistry.

Do you provide answers and explanations for NEET Chemistry Organic Chemistry Some Basic Principles and Techniques MCQs Set 02?

Yes, Chemistry MCQs for NEET have answer key and brief explanations to help students understand logic behind the correct option as its important for 2026 competency-focused NEET exams.

Can I practice these Chemistry NEET MCQs online?

Yes, you can also access online interactive tests for NEET Chemistry Organic Chemistry Some Basic Principles and Techniques MCQs Set 02 on StudiesToday.com as they provide instant answers and score to help you track your progress in Chemistry.