BITSAT Physics Moving Charges and Magnetism MCQs

Practice BITSAT Physics Moving Charges and Magnetism MCQs provided below. The MCQ Questions for BITSAT Moving Charges and Magnetism Physics with answers and follow the latest BITSAT/ NCERT and KVS patterns. Refer to more Chapter-wise MCQs for BITSAT BITSAT Physics and also download more latest study material for all subjects

MCQ for BITSAT Physics Moving Charges and Magnetism

BITSAT Physics students should review the 50 questions and answers to strengthen understanding of core concepts in Moving Charges and Magnetism

Moving Charges and Magnetism MCQ Questions BITSAT Physics with Answers

 

Question: Two very long, straight, parallel wires carry steady currents I and -I respectively. The distance between the wires is d. At a certain instant of time, a point charge q is at a point equidistant from the two wires, in the plane of the wires. Its instantaneous velocity v is perpendicular to this plane. The magnitude of the force due to the magnetic field acting on the charge at this instant is

  • a)

    BITSAT Physics Moving Charges and Magnetism 1

  • b)

    BITSAT Physics Moving Charges and Magnetism 2

  • c)

    BITSAT Physics Moving Charges and Magnetism 3

  • d) 0

Answer: 0

 

Question: A charged particle moves through a magnetic field perpendicular to its direction. Then

  • a) Kinetic energy changes but the momentum is constant
  • b) The momentum changes but the kinetic energy is constant
  • c) Both momentum and kinetic energy of the particle are not constant
  • d) Both momentum and kinetic energy of the particle are constant

Answer: The momentum changes but the kinetic energy is constant

 

Question: A wire carrying current I has the shape as shown in adjoining figure. Linear parts of the wire are very long and parallel to X-axis while semicircular portion of radius R is lying in Y-Z plane. Magnetic field at point O is :

BITSAT Physics Moving Charges and Magnetism 4

  • a)

    BITSAT Physics Moving Charges and Magnetism 5

  • b)

    BITSAT Physics Moving Charges and Magnetism 7

  • c)

    BITSAT Physics Moving Charges and Magnetism 8

  • d)

    BITSAT Physics Moving Charges and Magnetism 9

Answer:

BITSAT Physics Moving Charges and Magnetism 7

 

Question: A deuteron of kinetic energy 50 keV is describing a circular orbit of radius 0.5 metre in a plane perpendicular to the magnetic field B. The kinetic energy of the proton that describes a circular orbit of radius 0.5 metre in the same plane with the same B is

  • a) 25 keV
  • b) 50 keV
  • c) 200 keV
  • d) 100 keV

Answer: 100 keV

 

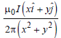
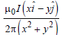
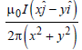
Question: A long straight wire along the Z-axis carries a current I in the negative Z-direction. The magnetic vector field B r at a point having coordinates (x, y) in the Z = 0 plane is

  • a)

    BITSAT Physics Moving Charges and Magnetism 10

  • b)

    BITSAT Physics Moving Charges and Magnetism 11

  • c)

    BITSAT Physics Moving Charges and Magnetism 12

  • d)

    BITSAT Physics Moving Charges and Magnetism 13

Answer:

BITSAT Physics Moving Charges and Magnetism 10

 

Question: A charged particle with velocity 2 × 103 m/s passes undeflected through electric and magnetic field. Magnetic field is 1.5 tesla. The electric field intensity would be

  • a) 2 × 103 N/C
  • b) 1.5 × 103 N/C
  • c) 3 × 103 N/C
  • d) 4/3 × 10–3 N/C

Answer: 3 × 103 N/C

 

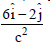
Question: A small current element of length dl and carryingcurrent is placed at (1, 1, 0) and is carrying current in ‘+z’ direction. If magnetic field at origin be BITSAT Physics Moving Charges and Magnetism 14 and at point (2, 2, 0) be BITSAT Physics Moving Charges and Magnetism 15 then

  • a)

     BITSAT Physics Moving Charges and Magnetism 14 =BITSAT Physics Moving Charges and Magnetism 15

  • b)

    |BITSAT Physics Moving Charges and Magnetism 14| = |2BITSAT Physics Moving Charges and Magnetism 15|

  • c)

    BITSAT Physics Moving Charges and Magnetism 14 =  -BITSAT Physics Moving Charges and Magnetism 15

  • d)

    BITSAT Physics Moving Charges and Magnetism 15= -2BITSAT Physics Moving Charges and Magnetism 14

Answer:

BITSAT Physics Moving Charges and Magnetism 14 =  -BITSAT Physics Moving Charges and Magnetism 15

 

Question: Field inside a solenoid is

  • a) Directly proportional to its length
  • b) Directly proportional to current
  • c) Inversely proportional to number of turns
  • d) Inversely proportional to current

Answer: Directly proportional to current


Question: A uniform electric field and uniform magnetic field are acting along the same direction in a certain region. If an electron is projected in the region such that its velocity is pointed along the direction of fields, then the electron

  • a) Will turn towards right of direction of motion
  • b) Speed will decrease
  • c) Speed will increase
  • d) Will turn towards left direction of motion

Answer: Speed will decrease


Question: A horizontal overhead powerline is at height of 4m from the ground and carries a current of 100A from east to west. The magnetic field directly below it on the ground is (μ0 = 4π × 10–7 Tm A–1)

  • a) 2.5×10–7 T southward
  • b) 5 × 10–6 T northward
  • c) 5 × 10–6 T southward
  • d) 2.5 × 10–7 T northward

Answer: 5 × 10–6 T southward

  

Question: If m is magnetic moment and B is the magnetic field, then the torque is given by

  • a)

    BITSAT Physics Moving Charges and Magnetism 16

  • b)

    BITSAT Physics Moving Charges and Magnetism 17

  • c)

    BITSAT Physics Moving Charges and Magnetism 18

  • d)

    BITSAT Physics Moving Charges and Magnetism 19

Answer:

BITSAT Physics Moving Charges and Magnetism 18

 

Question: A steady current is set up in a cubic network composed of wires of equal resistance and length d as shown in figure. What is the magnetic field at the centre P due to the cubic network

BITSAT Physics Moving Charges and Magnetism 20

  • a)

    BITSAT Physics Moving Charges and Magnetism 21

  • b)

    BITSAT Physics Moving Charges and Magnetism 22

  • c) 0
  • d)

    BITSAT Physics Moving Charges and Magnetism 23

Answer: 0

 

Question: The magnetic field at the origin due to the current flowing in the wire is –

BITSAT Physics Moving Charges and Magnetism 24

  • a)

    BITSAT Physics Moving Charges and Magnetism 25

  • b)

    BITSAT Physics Moving Charges and Magnetism 26

  • c)

    BITSAT Physics Moving Charges and Magnetism 27

  • d)

    BITSAT Physics Moving Charges and Magnetism 28

Answer:

BITSAT Physics Moving Charges and Magnetism 27

 

Question: A conducting circular loop of radius r carries a constant current i. It is placed in a uniform magnetic field  suchBITSAT Physics Moving Charges and Magnetism 29 that BITSAT Physics Moving Charges and Magnetism 29 is perpendicular to the plane of the loop. The magnetic force acting on the loop is

  • a)

    BITSAT Physics Moving Charges and Magnetism 30

  • b)

    BITSAT Physics Moving Charges and Magnetism 31

  • c) zero
  • d)

    BITSAT Physics Moving Charges and Magnetism 32

Answer: zero

 

Question: An ammeter reads upto 1 ampere. Its internal resistance is 0.81ohm. To increase the range to 10 A the value of the required shunt is

  • a) 0.03Ω
  • b) 0.3Ω
  • c) 0.9Ω
  • d) 0.09Ω

Answer: 0.09Ω

 

Question: Two parallel wires carrying currents in the same direction attract each other because of

  • a) Mutual inductance between them
  • b) Potential difference between them
  • c) Electric forces between them
  • d) Magnetic forces between them

Answer: Magnetic forces between them


Question: Calculate the magnetic field at the centre of a coil in the form of a square of side 2a carrying a current I.

  • a)

    BITSAT Physics Moving Charges and Magnetism 33

  • b)

    BITSAT Physics Moving Charges and Magnetism 34

  • c)

    BITSAT Physics Moving Charges and Magnetism 35

  • d)

    BITSAT Physics Moving Charges and Magnetism 36

Answer:

BITSAT Physics Moving Charges and Magnetism 34

 

Question: The work done by a magnetic field, on a moving charge is

  • a) zero because BITSAT Physics Moving Charges and Magnetism 37acts parallel toBITSAT Physics Moving Charges and Magnetism 38
  • b) Positive because BITSAT Physics Moving Charges and Magnetism 37acts perpendicular toBITSAT Physics Moving Charges and Magnetism 38
  • c) Zero because BITSAT Physics Moving Charges and Magnetism 37acts perpendicular toBITSAT Physics Moving Charges and Magnetism 38
  • d) Negative because BITSAT Physics Moving Charges and Magnetism 37acts parallel toBITSAT Physics Moving Charges and Magnetism 38

Answer: Zero because BITSAT Physics Moving Charges and Magnetism 37acts perpendicular toBITSAT Physics Moving Charges and Magnetism 38

 

Question: A circular loop of radius 0.3 cm lies parallel to a much bigger circular loop of radius 20 cm. The centre of the smaller loop is on the axis of the bigger loop. The distance between their centres is 15 cm. If a current of 2.0 A flows through the smaller loop, then the flux linked with bigger loop

  • a) 9.1 × 10–11 weber
  • b) 6 × 10–11 weber
  • c) 3.3 × 10–11 weber
  • d) 6.6 × 10–9 weber

Answer: 9.1 × 10–11 weber

 

Question: A particle is moving with velocity BITSAT Physics Moving Charges and Magnetism 39and it produces an electric field at a point given by BITSAT Physics Moving Charges and Magnetism 40. It will produce magnetic field at that point equal to (all quantities are in SI units) [

  • a)

    BITSAT Physics Moving Charges and Magnetism 41

  • b)

    BITSAT Physics Moving Charges and Magnetism 42

  • c) zero
  • d) cannot be determined from the given data

Answer:

BITSAT Physics Moving Charges and Magnetism 41

 

Alternating Current
Alternating Current MCQs
Current Electricity
Current Electricity MCQs
Dual Nature Of Radiation and Matter
Dual Nature Of Radiation and Matter MCQs
Electric Charges and Fields
Electric Charges and Fields MCQs
Electromagnetic Induction
Electromagnetic Induction MCQs
Electromagnetic Waves
Electromagnetic Waves MCQs
Electrostatic Potential and Capacitance
Electrostatic Potential and Capacitance MCQs
Gravitation
Gravitation MCQs
Kinetic Theory
Kinetic Theory MCQs
Laws Of Motion
Laws Of Motion MCQs
Mechanical Properties Of Fluids
Mechanical Properties Of Fluids MCQs
Mechanical Properties Of Solids
Mechanical Properties Of Solids MCQs
Motion In A Plane
Motion In A Plane MCQs
Motion In A Straight Line
Motion In A Straight Line MCQs
Moving Charges and Magnetism
Moving Charges and Magnetism MCQs
Oscillations
Oscillations MCQs
Ray Optics and Optical Instruments
Ray Optics and Optical Instruments MCQs
Semiconductor Electronics Materials Devices and Simple Circuits
Semiconductor Electronics Materials Devices and Simple Circuits MCQs
System Of Particles and Rotational Motion
System Of Particles and Rotational Motion MCQs
Thermal Properties Of Matter
Thermal Properties Of Matter MCQs
Thermodynamics
Thermodynamics MCQs
Units and Measurements
Units and Measurements MCQs
Wave Optics
Wave Optics MCQs
Work Energy and Power
Work Energy and Power MCQs

MCQs for Moving Charges and Magnetism Physics BITSAT

Students can use these MCQs for Moving Charges and Magnetism to quickly test their knowledge of the chapter. These multiple-choice questions have been designed as per the latest syllabus for BITSAT Physics released by BITSAT. Our expert teachers suggest that you should practice daily and solving these objective questions of Moving Charges and Magnetism to understand the important concepts and better marks in your school tests.

Moving Charges and Magnetism NCERT Based Objective Questions

Our expert teachers have designed these Physics MCQs based on the official NCERT book for BITSAT. We have identified all questions from the most important topics that are always asked in exams. After solving these, please compare your choices with our provided answers. For better understanding of Moving Charges and Magnetism, you should also refer to our NCERT solutions for BITSAT Physics created by our team.

Online Practice and Revision for Moving Charges and Magnetism Physics

To prepare for your exams you should also take the BITSAT Physics MCQ Test for this chapter on our website. This will help you improve your speed and accuracy and its also free for you. Regular revision of these Physics topics will make you an expert in all important chapters of your course.

FAQs

Where can I access latest BITSAT Physics Moving Charges and Magnetism MCQs?

You can get most exhaustive BITSAT Physics Moving Charges and Magnetism MCQs for free on StudiesToday.com. These MCQs for BITSAT Physics are updated for the 2026-27 academic session as per BITSAT examination standards.

Are Assertion-Reasoning and Case-Study MCQs included in the Physics BITSAT material?

Yes, our BITSAT Physics Moving Charges and Magnetism MCQs include the latest type of questions, such as Assertion-Reasoning and Case-based MCQs. 50% of the BITSAT paper is now competency-based.

How do practicing Physics MCQs help in scoring full marks in BITSAT exams?

By solving our BITSAT Physics Moving Charges and Magnetism MCQs, BITSAT students can improve their accuracy and speed which is important as objective questions provide a chance to secure 100% marks in the Physics.

Do you provide answers and explanations for BITSAT Physics Moving Charges and Magnetism MCQs?

Yes, Physics MCQs for BITSAT have answer key and brief explanations to help students understand logic behind the correct option as its important for 2026 competency-focused BITSAT exams.

Can I practice these Physics BITSAT MCQs online?

Yes, you can also access online interactive tests for BITSAT Physics Moving Charges and Magnetism MCQs on StudiesToday.com as they provide instant answers and score to help you track your progress in Physics.