BITSAT Physics Ray Optics and Optical Instruments MCQs

Practice BITSAT Physics Ray Optics and Optical Instruments MCQs provided below. The MCQ Questions for BITSAT Ray Optics and Optical Instruments Physics with answers and follow the latest BITSAT/ NCERT and KVS patterns. Refer to more Chapter-wise MCQs for BITSAT BITSAT Physics and also download more latest study material for all subjects

MCQ for BITSAT Physics Ray Optics and Optical Instruments

BITSAT Physics students should review the 50 questions and answers to strengthen understanding of core concepts in Ray Optics and Optical Instruments

Ray Optics and Optical Instruments MCQ Questions BITSAT Physics with Answers

 

Question: Two plano-concave lenses (1 and 2) of glass of refractive index 1.5 have radii of curvature 25 cm and 20 cm. They are placed in contact with their curved surface towards each other and the space between them is filled with liquid of refractive index 4/3. Then the combination is

BITSAT Physics Ray Optics and Optical Instruments 1

  • a) Convex lens of focal length 70 cm
  • b) Concave lens of focal length 70 cm
  • c) Concave lens of focal length 66.6 cm
  • d) Convex lens of focal length 66.6 cm

Answer: Concave lens of focal length 66.6 cm


Question: On a hypotenuse of a right angle prism (30° – 60° – 90°) of refractive index 1.50, a drop of liquid is placed as shown in figure. Light is allowed to fall normally on the short face of the prism. In order that the ray of light may get totally reflected, the maximum value of refractive index is :

BITSAT Physics Ray Optics and Optical Instruments 2

  • a) 1.30
  • b) 1.47
  • c) 1.20
  • d) 1.25

Answer: 1.30

 

Question: A biconvex lens has a radius of curvature of magnitude 20 cm. Which one of the following options best describe the image formed of an object of height 2 cm placed 30 cm from the lens?

  • a) Virtual, upright, height = 1 cm
  • b) Virtual, upright, height = 0.5 cm
  • c) Real, inverted, height = 4 cm
  • d) Real, inverted, height = 1cm

Answer: Real, inverted, height = 4 cm


Question: For the angle of minimum deviation of a prism to be equal to its refracting angle, the prism must be made of a material whose refractive index :

  • a) lies between √2 and 1
  • b) lies between 2 and √2
  • c) is less than 1
  • d) is greater than 2

Answer: lies between 2 and √2 

Question:  A lens having focal length f and aperture of diameter d forms an image of intensity I. Aperture of diameter BITSAT Physics Ray Optics and Optical Instruments 3in central region of lens is covered by a black paper. Focal length of lens and intensity of image now will be respectively;

  • a)

    BITSAT Physics Ray Optics and Optical Instruments 4

  • b)

    BITSAT Physics Ray Optics and Optical Instruments 5

  • c)

    BITSAT Physics Ray Optics and Optical Instruments 6

  • d)

    BITSAT Physics Ray Optics and Optical Instruments 7

Answer:

BITSAT Physics Ray Optics and Optical Instruments 6

 

Question: A ray parallel to principal axis is incident at 30° from normal on concave mirror having radius of curvature R. The point on principal axis where rays are focussed is Q such that PQ is

BITSAT Physics Ray Optics and Optical Instruments 8

  • a)

    BITSAT Physics Ray Optics and Optical Instruments 9

  • b)

    BITSAT Physics Ray Optics and Optical Instruments 10

  • c)

    BITSAT Physics Ray Optics and Optical Instruments 11

  • d)

    BITSAT Physics Ray Optics and Optical Instruments 12

Answer:

BITSAT Physics Ray Optics and Optical Instruments 12

 

Question: A planoconvex lens fits exactly into a planoconcave lens. Their plane surface are parallel to each other. If the lenses are made of different materials of refractive indices μ1 & μ2 and R is the radius of curvature of the curved surface of the lenses, then focal length of combination is

  • a)

    BITSAT Physics Ray Optics and Optical Instruments 13

  • b)

    BITSAT Physics Ray Optics and Optical Instruments 14

  • c)

    BITSAT Physics Ray Optics and Optical Instruments 15

  • d)

    BITSAT Physics Ray Optics and Optical Instruments 16

Answer:

BITSAT Physics Ray Optics and Optical Instruments 13

 

Question: The magnifying power of a telescope is 9. When it is adjusted for parallel rays, the distance between the objective and the eye piece is found to be 20 cm. The focal length of lenses are

  • a) 18 cm, 2 cm
  • b) 11 cm, 9 cm
  • c) 10 cm, 10 cm
  • d) 15 cm, 5 cm

Answer: 18 cm, 2 cm


Question: When light is refracted, which of the following does not change ?

  • a) Wavelength
  • b) Frequency
  • c) Velocity
  • d) Amplitude

Answer: Frequency


Question: A Convex lens of crown glass (μ = 1.525) will behave as a divergent lens if immersed in

  • a) water (μ = 1.33)
  • b) in a medium of μ = 1.525
  • c) carbon disulphide (μ = 1.66)
  • d) it cannot act as a divergent lens

Answer: carbon disulphide (μ = 1.66)

  

Question: Wavelength of light used in an optical instrument are λ1 = 4000Å and λ2 = 5000 Å, then ratio of their respective resolving powers (corresponding to λ1 and λ2) is

  • a) 16 : 25
  • b) 9 : 1
  • c) 4 : 5
  • d) 5 : 4

Answer: 5 : 4


Question: A thin convergent glass lens (μg = 1.5) has a power of + 5.0 D. When this lens is immersed in a liquid of refractive index m, it acts as a divergent lens of focal length 100 cm. The value of m must be

  • a) 4/3
  • b) 5/3
  • c) 5/4
  • d) 6/5

Answer: 5/3


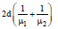
Question: A vessel of depth 2d cm. is half filled with a liquid of refractive index μ1 and the upper half with a liquid of refractive index μ2. The apparent depth of the vessel seen perpendicularly is –

  • a)

    BITSAT Physics Ray Optics and Optical Instruments 17

  • b)

    BITSAT Physics Ray Optics and Optical Instruments 18

  • c)

    BITSAT Physics Ray Optics and Optical Instruments 19

  • d)

    BITSAT Physics Ray Optics and Optical Instruments 20

Answer:

BITSAT Physics Ray Optics and Optical Instruments 18

 

Question: A plano-convex lens of focal length 30 cm has its plane surface silvered. An object is placed 40 cm from the lens on the convex side. The distance of the image from the lens is

  • a) 18 cm
  • b) 24 cm
  • c) 30 cm
  • d) 40 cm

Answer: 24 cm


Question: Time taken to cross a 4 mm window glass of refractive index 1.5 will be-

  • a) 2 × 10–8 sec
  • b) 2 × 108 sec
  • c) 2 × 10–11 sec
  • d) 2 × 1011 sec

Answer: 2 × 10–11 sec

 

Question: A fish looking up through the water sees the outside world contained in a circular horizon. If the refractive index of water is 4/3 and the fish is 12 cm. below the surface, the radius of this circle in cm is –

  • a) 36 √5
  • b) 4 √5
  • c) 36 √7
  • d) 36/ √7

Answer: 36/ √7

 

Question: An air bubble under water shines brightly because of the phenomenon of :

  • a) Diffraction
  • b) Dispersion
  • c) Interference
  • d) Total internal reflection

Answer: Total internal reflection


Question: A vessel is half filled with a liquid of refractive index μ. The other half of the vessel is filled with an immiscible liquid of refrative index 1.5 μ. The apparent depth of the vessel is 50% of the actual depth. Then μ is

  • a) 1.4
  • b) 1.5
  • c) 1.6
  • d) 1.67

Answer: 1.67


Question: A biconvex lens has a radius of curvature of magnitude 20 cm. Which one of the following options best describe the image formed of an object of height 2 cm placed 30 cm from the lens?

  • a) Virtual, upright, height = 1 cm
  • b) Virtual, upright, height = 0.5 cm
  • c) Real, inverted, height = 4 cm
  • d) Real, inverted, height = 1cm

Answer: Real, inverted, height = 4 cm

 

Question: When light is refracted, which of the following does not change ?

  • a) Wavelength
  • b) Frequency
  • c) Velocity
  • d) Amplitude

Answer: Frequency

Alternating Current
Alternating Current MCQs
Current Electricity
Current Electricity MCQs
Dual Nature Of Radiation and Matter
Dual Nature Of Radiation and Matter MCQs
Electric Charges and Fields
Electric Charges and Fields MCQs
Electromagnetic Induction
Electromagnetic Induction MCQs
Electromagnetic Waves
Electromagnetic Waves MCQs
Electrostatic Potential and Capacitance
Electrostatic Potential and Capacitance MCQs
Gravitation
Gravitation MCQs
Kinetic Theory
Kinetic Theory MCQs
Laws Of Motion
Laws Of Motion MCQs
Mechanical Properties Of Fluids
Mechanical Properties Of Fluids MCQs
Mechanical Properties Of Solids
Mechanical Properties Of Solids MCQs
Motion In A Plane
Motion In A Plane MCQs
Motion In A Straight Line
Motion In A Straight Line MCQs
Moving Charges and Magnetism
Moving Charges and Magnetism MCQs
Oscillations
Oscillations MCQs
Ray Optics and Optical Instruments
Ray Optics and Optical Instruments MCQs
Semiconductor Electronics Materials Devices and Simple Circuits
Semiconductor Electronics Materials Devices and Simple Circuits MCQs
System Of Particles and Rotational Motion
System Of Particles and Rotational Motion MCQs
Thermal Properties Of Matter
Thermal Properties Of Matter MCQs
Thermodynamics
Thermodynamics MCQs
Units and Measurements
Units and Measurements MCQs
Wave Optics
Wave Optics MCQs
Work Energy and Power
Work Energy and Power MCQs

MCQs for Ray Optics and Optical Instruments Physics BITSAT

Students can use these MCQs for Ray Optics and Optical Instruments to quickly test their knowledge of the chapter. These multiple-choice questions have been designed as per the latest syllabus for BITSAT Physics released by BITSAT. Our expert teachers suggest that you should practice daily and solving these objective questions of Ray Optics and Optical Instruments to understand the important concepts and better marks in your school tests.

Ray Optics and Optical Instruments NCERT Based Objective Questions

Our expert teachers have designed these Physics MCQs based on the official NCERT book for BITSAT. We have identified all questions from the most important topics that are always asked in exams. After solving these, please compare your choices with our provided answers. For better understanding of Ray Optics and Optical Instruments, you should also refer to our NCERT solutions for BITSAT Physics created by our team.

Online Practice and Revision for Ray Optics and Optical Instruments Physics

To prepare for your exams you should also take the BITSAT Physics MCQ Test for this chapter on our website. This will help you improve your speed and accuracy and its also free for you. Regular revision of these Physics topics will make you an expert in all important chapters of your course.

FAQs

Where can I access latest BITSAT Physics Ray Optics and Optical Instruments MCQs?

You can get most exhaustive BITSAT Physics Ray Optics and Optical Instruments MCQs for free on StudiesToday.com. These MCQs for BITSAT Physics are updated for the 2026-27 academic session as per BITSAT examination standards.

Are Assertion-Reasoning and Case-Study MCQs included in the Physics BITSAT material?

Yes, our BITSAT Physics Ray Optics and Optical Instruments MCQs include the latest type of questions, such as Assertion-Reasoning and Case-based MCQs. 50% of the BITSAT paper is now competency-based.

How do practicing Physics MCQs help in scoring full marks in BITSAT exams?

By solving our BITSAT Physics Ray Optics and Optical Instruments MCQs, BITSAT students can improve their accuracy and speed which is important as objective questions provide a chance to secure 100% marks in the Physics.

Do you provide answers and explanations for BITSAT Physics Ray Optics and Optical Instruments MCQs?

Yes, Physics MCQs for BITSAT have answer key and brief explanations to help students understand logic behind the correct option as its important for 2026 competency-focused BITSAT exams.

Can I practice these Physics BITSAT MCQs online?

Yes, you can also access online interactive tests for BITSAT Physics Ray Optics and Optical Instruments MCQs on StudiesToday.com as they provide instant answers and score to help you track your progress in Physics.