BITSAT Physics Work Energy and Power MCQs

Practice BITSAT Physics Work Energy and Power MCQs provided below. The MCQ Questions for BITSAT Work Energy and Power Physics with answers and follow the latest BITSAT/ NCERT and KVS patterns. Refer to more Chapter-wise MCQs for BITSAT BITSAT Physics and also download more latest study material for all subjects

MCQ for BITSAT Physics Work Energy and Power

BITSAT Physics students should review the 50 questions and answers to strengthen understanding of core concepts in Work Energy and Power

Work Energy and Power MCQ Questions BITSAT Physics with Answers

 

Question: A particle of mass m moving in the x direction with speed 2v is hit by another particle of mass 2m moving in the y direction with speed v. If the collision is perfectly inelastic, the percentage loss in the energy during the collision is close to

  • a) 56%
  • b) 62%
  • c) 44%
  • d) 50%

Answer: 56%


 

Question: Consider elastic collision of a particle of mass m moving with a velocity u with another particle of the same mass at rest. After the collision the projectile and the struck particle move in directions making angles θ1 and θ2 respectively with the initial direction of motion. The sum of the angles θ1 + θ2, is :

 

  • a) 45°
  • b) 90°
  • c) 135°
  • d) 180°

Answer: 90°


Question: A neutron moving with speed v makes a head on collision with a hydrogen atom in ground state kept at rest. The minimum kinetic energy of the neutron for which inelastic collision takes place is

  • a) 10.2 eV
  • b) 20.4 eV
  • c) 12.1 eV
  • d) 16.8 eV

Answer: 20.4 eV


Question: An elastic string of unstretched length L and force constant k is stretched by a small length x. It is further stretched by another small length y. The work done in the second stretching is

  • a) 1/2 Ky2 
  • b) 1/2 Ky(2x + y)
  • c) 1/2 K(x2 + y2)
  • d) 1/2 k (x + y)2

Answer: 1/2 Ky(2x + y)

 

Question: A small block of mass m is kept on a rough inclined surface of inclination q fixed in a elevator. The elevator goes up with a uniform velocity v and the block does not slide on the wedge. The work done by the force of friction on the block in time t will be :

  • a) zero 
  • b) mgvt cos2θ
  • c) mgvt sin2θ
  • d) mgvt sin 2θ

Answer: mgvt sin2θ

 

Question: A 3.628 kg freight car moving along a horizontal rail road spur track at 7.2 km/hour strikes a bumper whose coil springs experiences a maximum compression of 30 cm in stopping the car. The elastic potential energy of the springs at the instant when they are compressed 15 cm is

  • a) 12.1 × 104J
  • b) 121 × 104J
  • c) 1.21 × 104
  • d) 1.21 × 106J

Answer: 1.21 × 104

 

Question: Work done by a conservative force is positive if

  • a) P.E. of the body increases
  • b) P.E. of the body decreases
  • c) K.E. of the body increases
  • d) K.E. of the body decreases

Answer: P.E. of the body decreases


Question: If the unit of force and length be each increased by four times, then the unit of energy is increased by

  • a) 16 times
  • b) 8 times
  • c) 2 times
  • d) 4 times

Answer: 16 times


Question: Which of the following must be known in order to determine the power output of an automobile?

  • a) Final velocity and height
  • b) Mass and amount of work performed
  • c) Force exerted and distance of motion
  • d) Work performed and elapsed time of work

Answer: Work performed and elapsed time of work


Question: A massless platform is kept on a light elastic spring as shown in fig. When a sand particle of mass 0.1 kg is dropped on the pan from a height of 0.24 m, the particle strikes the pan and spring is compressed by 0.01 m. From what height should the particle be dropped to cause a compression of 0.04 m.

BITSAT Physics Units and Measurements 71

  • a) 3.96 m
  • b) 0.396 m
  • c) 4 m
  • d) 0.4 m

Answer: 0.396 m

 

Question: The potential energy for a force field BITSAT Physics Units and Measurements 72 r is given by U (x,y) = cos (x + y). The force acting on a particle at position given by coordinates (0, π / 4) is –

  • a)

    BITSAT Physics Units and Measurements 73

  • b)

    BITSAT Physics Units and Measurements 74

  • c)

    BITSAT Physics Units and Measurements 75

  • d)

    BITSAT Physics Units and Measurements 76

Answer:

BITSAT Physics Units and Measurements 74

 

Question: A long string is stretched by 2 cm and the potential energy is V. If the spring is stretched by 10 cm, its potential energy will be

  • a) V / 25
  • b) V/5
  • c) 5 V
  • d) 25 V

Answer: 25 V


Question: A chain of mass M is placed on a smooth table with 1/n of its length L hanging over the edge. The work done in pulling the hanging portion of the chain back to the surface of the table is

  • a) MgL/n  
  • b) MgL/2n
  • c) MgL/n2
  • d) MgL/2n2

Answer: MgL/2n2

 

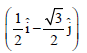
Question: A particle of mass 10 kg moving eastwards with a speed 5 ms–1 collides with another particle of the same mass moving north-wards with the same speed 5 ms–1. The two particles coalesce on collision. The new particle of mass 20 kg will move in the north-east direction with velocity

  • a) 10 ms–1
  • b) 5 ms–1
  • c)

    BITSAT Physics Units and Measurements 77

  • d) None of these

Answer:

BITSAT Physics Units and Measurements 77

 

Question: A ball is allowed to fall from a height of 10 m. If there is 40% loss of energy due to impact, then after one impact ball will go up to

  • a) 10 m
  • b) 8 m
  • c) 4 m
  • d) 6 m

Answer: 6 m


Question: When two bodies stick together after collision, the collision is said to be

  • a) Partially elastic
  • b) Elastic
  • c) Inelastic
  • d) Perfectly inelastic

Answer: Perfectly inelastic


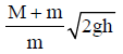
Question: A sphere of mass m, moving with velocity V, enters a hanging bag of sand and stops. If the mass of the bag is M and it is raised by height h, then the velocity of the sphere was –

  • a)

    BITSAT Physics Units and Measurements 78

  • b)

    BITSAT Physics Units and Measurements 79

  • c)

    BITSAT Physics Units and Measurements 80

  • d)

    BITSAT Physics Units and Measurements 81

Answer:

BITSAT Physics Units and Measurements 78

 

Question: Which one of the following statements does not hold good when two balls of masses m1 and m2 undergo elastic collision

  • a) When m1 < m2 and m2 at rest, there will be maximum transfer of momentum.
  • b) When m1 > m2 and m2 at rest, after collision the ball of mass m2 moves with four times the velocity of m1.
  • c) When m1 = m2 and m2 at rest, there will be maximum transfer of K. E.
  • d) When collision is oblique and m2 at rest with m1 = m2 after collision the ball moves in opposite directions.

Answer: When collision is oblique and m2 at rest with m1 = m2 after collision the ball moves in opposite directions.

 

Question: In the figure shown the potential energy U of a particle is plotted against its position ‘x’ from origin. Then which of the following statement is correct. A particle at –

BITSAT Physics Units and Measurements 82

  • a) x1 is in stable equilibrium
  • b) x2 is in stable equilibrium
  • c) x3 is in stable equilibrium
  • d) None of these

Answer: None of these

 

Question: A mass m1 moves with a great velocity. It strikes another mass m2 at rest in a head on collision. It comes back along its path with low speed, after collision. Then

  • a) m1 > m2
  • b) m1 < m2
  • c) m1 = m2
  • d) m1 ³ m2

Answer: m1 < m2

 

Alternating Current
Alternating Current MCQs
Current Electricity
Current Electricity MCQs
Dual Nature Of Radiation and Matter
Dual Nature Of Radiation and Matter MCQs
Electric Charges and Fields
Electric Charges and Fields MCQs
Electromagnetic Induction
Electromagnetic Induction MCQs
Electromagnetic Waves
Electromagnetic Waves MCQs
Electrostatic Potential and Capacitance
Electrostatic Potential and Capacitance MCQs
Gravitation
Gravitation MCQs
Kinetic Theory
Kinetic Theory MCQs
Laws Of Motion
Laws Of Motion MCQs
Mechanical Properties Of Fluids
Mechanical Properties Of Fluids MCQs
Mechanical Properties Of Solids
Mechanical Properties Of Solids MCQs
Motion In A Plane
Motion In A Plane MCQs
Motion In A Straight Line
Motion In A Straight Line MCQs
Moving Charges and Magnetism
Moving Charges and Magnetism MCQs
Oscillations
Oscillations MCQs
Ray Optics and Optical Instruments
Ray Optics and Optical Instruments MCQs
Semiconductor Electronics Materials Devices and Simple Circuits
Semiconductor Electronics Materials Devices and Simple Circuits MCQs
System Of Particles and Rotational Motion
System Of Particles and Rotational Motion MCQs
Thermal Properties Of Matter
Thermal Properties Of Matter MCQs
Thermodynamics
Thermodynamics MCQs
Units and Measurements
Units and Measurements MCQs
Wave Optics
Wave Optics MCQs
Work Energy and Power
Work Energy and Power MCQs

MCQs for Work Energy and Power Physics BITSAT

Students can use these MCQs for Work Energy and Power to quickly test their knowledge of the chapter. These multiple-choice questions have been designed as per the latest syllabus for BITSAT Physics released by BITSAT. Our expert teachers suggest that you should practice daily and solving these objective questions of Work Energy and Power to understand the important concepts and better marks in your school tests.

Work Energy and Power NCERT Based Objective Questions

Our expert teachers have designed these Physics MCQs based on the official NCERT book for BITSAT. We have identified all questions from the most important topics that are always asked in exams. After solving these, please compare your choices with our provided answers. For better understanding of Work Energy and Power, you should also refer to our NCERT solutions for BITSAT Physics created by our team.

Online Practice and Revision for Work Energy and Power Physics

To prepare for your exams you should also take the BITSAT Physics MCQ Test for this chapter on our website. This will help you improve your speed and accuracy and its also free for you. Regular revision of these Physics topics will make you an expert in all important chapters of your course.

FAQs

Where can I access latest BITSAT Physics Work Energy and Power MCQs?

You can get most exhaustive BITSAT Physics Work Energy and Power MCQs for free on StudiesToday.com. These MCQs for BITSAT Physics are updated for the 2026-27 academic session as per BITSAT examination standards.

Are Assertion-Reasoning and Case-Study MCQs included in the Physics BITSAT material?

Yes, our BITSAT Physics Work Energy and Power MCQs include the latest type of questions, such as Assertion-Reasoning and Case-based MCQs. 50% of the BITSAT paper is now competency-based.

How do practicing Physics MCQs help in scoring full marks in BITSAT exams?

By solving our BITSAT Physics Work Energy and Power MCQs, BITSAT students can improve their accuracy and speed which is important as objective questions provide a chance to secure 100% marks in the Physics.

Do you provide answers and explanations for BITSAT Physics Work Energy and Power MCQs?

Yes, Physics MCQs for BITSAT have answer key and brief explanations to help students understand logic behind the correct option as its important for 2026 competency-focused BITSAT exams.

Can I practice these Physics BITSAT MCQs online?

Yes, you can also access online interactive tests for BITSAT Physics Work Energy and Power MCQs on StudiesToday.com as they provide instant answers and score to help you track your progress in Physics.