NEET UG Physics Kinetics MCQs

Practice NEET UG Physics Kinetics MCQs provided below. The MCQ Questions for NEET Kinetics Physics with answers and follow the latest NEET/ NCERT and KVS patterns. Refer to more Chapter-wise MCQs for NEET NEET Physics and also download more latest study material for all subjects

MCQ for NEET Physics Kinetics

NEET Physics students should review the 50 questions and answers to strengthen understanding of core concepts in Kinetics

Kinetics MCQ Questions NEET Physics with Answers

 

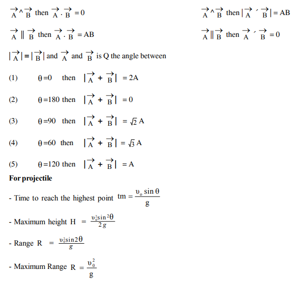
 NEET_UG_physics_035

NEET_UG_physics_036

NEET_UG_physics_037

MCQ

 

For the answer of the following questions choose the correct alternative from among the given ones.
(1) A branch of physics dealing with motion without considering its causes is known as ___
(A) Kinematicas
(B) dynamics
(C) Hydrodynemics
 (D) mechanics

(2) Mechanics is a branch of physics. This branch is ____
(A) Kinematics without dynamics
(B) dynamics without Kinematics
(C) Kinematics and dynamics
 (D) Kinematics or dynamics

(3) To locate the position of the particle we need___
(A) a frame of referance
(B) direction of the particle
(C) size of the particle
(D) mass of the particle

(4) Frame of reference is a ___ and a ____ from where an obeserver takes his observation,
(A) place, size
(B) size, situation
(C) situation, size
(D) place, situation

 
NEET UG Physics Kinetics and Measurement MCQs-19
NEET UG Physics Kinetics and Measurement MCQs-20
NEET UG Physics Kinetics and Measurement MCQs-21
NEET UG Physics Kinetics and Measurement MCQs-22
 
(A) x > y (B) x < y (C) x = y (D) x ≥ y
 
NEET UG Physics Kinetics and Measurement MCQs-23
NEET UG Physics Kinetics and Measurement MCQs-24
NEET UG Physics Kinetics and Measurement MCQs-25
NEET UG Physics Kinetics and Measurement MCQs-26
NEET UG Physics Kinetics MCQs
NEET UG Physics Kinetics MCQs-
NEET UG Physics Kinetics MCQs-1
NEET UG Physics Kinetics MCQs-2
 

(40) Slope of the velocity-time graph gives of a moving body.
(A) displacement
(B) acceleration
(C) initial velocity
(D) final velocity

(41) The intercept of the velocity-time graph on the velocity axis gives.
(A) initial velocity
(B) final velocity
(C) average velocity
(D) instanteneous velocity

 
NEET UG Physics Kinetics MCQs-3
NEET UG Physics Kinetics MCQs-4
 

(46) In a uniformly accelerated motion the slope of velocity - time graph gives ___
(A) The instantaneous velocity
(B) The acceleration
(C) The initial velocity
(D) The final velocity

(47) The area covered by the curve of V – t graph and time axis is equal to magnitude of ___
(A) change in velocity
(B) change in acceleration
(C) displacement
(D) final velocity

(48) An object moves in a straight line. It starts from the rest and its acceleration is 2ms–2. After reaching a certain point it comes back to the original point. In this movement its acceleration is -3ms-2. till it comes to rest.
The total time taken for the movement is 5 second. Calculate the maximum velocity.
(A) 6 ms–1
(B) 5 ms–1
(C) 10 ms–1
(D) 4 ms–1

(49) The relation between time and displacement of a moving particle is given by t = 2αx2 where α is a constant. The shape of the graph x →y is ____
(A) parabola
(B) hyperbola
(C) ellips
(D) circle

 
NEET UG Physics Kinetics MCQs-5
NEET UG Physics Kinetics MCQs-6
 

(52) Which area shows the displacement covered by the particle after time t
(A) closed fig AODCA
(B) closed fig. ABCA
(C) closed fig. AODCBA
(D) none of above

(53) Which part shows initial velocity of the particle ?
(A) OA
(B) AB
(C) AC
(D) AOA

(54) How will you calculate the acceleration of the particle ?
(A) taking length of AB
(B) taking magnitude of BC
(C) taking slope of AC
(D) taking slope of AB

 
NEET UG Physics Kinetics MCQs-7
NEET UG Physics Kinetics MCQs-8
NEET UG Physics Kinetics MCQs-9
NEET UG Physics Kinetics MCQs-10
NEET UG Physics Kinetics MCQs-11
NEET UG Physics Kinetics MCQs-12
NEET UG Physics Kinetics MCQs-13
NEET UG Physics Kinetics MCQs-14
NEET UG Physics Kinetics MCQs-15
NEET UG Physics Kinetics MCQs-16
NEET UG Physics Kinetics MCQs-17
NEET UG Physics Kinetics MCQs-18
NEET UG Physics Kinetics MCQs-19
NEET UG Physics Kinetics MCQs-20
NEET UG Physics Kinetics MCQs-21
NEET UG Physics Kinetics MCQs-22
NEET UG Physics Kinetics MCQs-23
NEET UG Physics Kinetics MCQs-24
NEET UG Physics Kinetics MCQs-25
NEET UG Physics Kinetics MCQs-26
NEET UG Physics Kinetics MCQs-28
NEET UG Physics Kinetics MCQs-29
NEET UG Physics Kinetics MCQs-30
NEET UG Physics Kinetics MCQs-31
NEET UG Physics Kinetics MCQs-32
 
 
ANSWERS
 
NEET UG Physics Kinetics MCQs-33
 
Digital Electronics and Logic Gates
Digital Electronics and Logic Gates MCQs
Experiments
Experiments MCQs
Kinetic Theory of Gases
Kinetic Theory of Gases MCQs
Kinetics and Measurement
Kinetics and Measurement MCQs
Magnetic Effects of Electric Current
Magnetic Effects of Electric Current MCQs

MCQs for Kinetics Physics NEET

Students can use these MCQs for Kinetics to quickly test their knowledge of the chapter. These multiple-choice questions have been designed as per the latest syllabus for NEET Physics released by NEET. Our expert teachers suggest that you should practice daily and solving these objective questions of Kinetics to understand the important concepts and better marks in your school tests.

Kinetics NCERT Based Objective Questions

Our expert teachers have designed these Physics MCQs based on the official NCERT book for NEET. We have identified all questions from the most important topics that are always asked in exams. After solving these, please compare your choices with our provided answers. For better understanding of Kinetics, you should also refer to our NCERT solutions for NEET Physics created by our team.

Online Practice and Revision for Kinetics Physics

To prepare for your exams you should also take the NEET Physics MCQ Test for this chapter on our website. This will help you improve your speed and accuracy and its also free for you. Regular revision of these Physics topics will make you an expert in all important chapters of your course.

FAQs

Where can I access latest NEET UG Physics Kinetics MCQs?

You can get most exhaustive NEET UG Physics Kinetics MCQs for free on StudiesToday.com. These MCQs for NEET Physics are updated for the 2026-27 academic session as per NEET examination standards.

Are Assertion-Reasoning and Case-Study MCQs included in the Physics NEET material?

Yes, our NEET UG Physics Kinetics MCQs include the latest type of questions, such as Assertion-Reasoning and Case-based MCQs. 50% of the NEET paper is now competency-based.

How do practicing Physics MCQs help in scoring full marks in NEET exams?

By solving our NEET UG Physics Kinetics MCQs, NEET students can improve their accuracy and speed which is important as objective questions provide a chance to secure 100% marks in the Physics.

Do you provide answers and explanations for NEET UG Physics Kinetics MCQs?

Yes, Physics MCQs for NEET have answer key and brief explanations to help students understand logic behind the correct option as its important for 2026 competency-focused NEET exams.

Can I practice these Physics NEET MCQs online?

Yes, you can also access online interactive tests for NEET UG Physics Kinetics MCQs on StudiesToday.com as they provide instant answers and score to help you track your progress in Physics.