NEET UG Physics Thermodynamics MCQs

Practice NEET UG Physics Thermodynamics MCQs provided below. The MCQ Questions for NEET Thermodynamics Physics with answers and follow the latest NEET/ NCERT and KVS patterns. Refer to more Chapter-wise MCQs for NEET NEET Physics and also download more latest study material for all subjects

MCQ for NEET Physics Thermodynamics

NEET Physics students should review the 50 questions and answers to strengthen understanding of core concepts in Thermodynamics

Thermodynamics MCQ Questions NEET Physics with Answers


SUMMARY

• Thermal equilibrium, teroth law of thermodynamics, Concept of temperature.
•  Heat, work and internal energy. First law of thermodynamics.
•  Second law of thermodynamics, reversible and irrevessible processes.
Isothermal and adiabatic process.
•  Carnot engine and its efficency Refrigerators.

1. A difference of temperature of 250 C is equivalent to a difference of
(A) 720 F (B) 450 F (C) 320 F (D) 250 F

2. What is the value of absolute temperature on the Celsius Scale ?
(A) -273.150 C (B) 1000 C (C) -320 C (D) 00 C

3. The temperature of a substance increases by 270C What is the value of this increase of Kelvin scale?
(A) 300K (B) 2-46K (C) 7 K (D) 27 K

4. At Which temperature the density of water is maximum?
(A) 40 F (B) 420 F (C) 320 F (D) 39.20 F

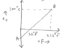
5. The graph AB Shown in figure is a plot of a temperature of a body in degree Fahrenheit than slope of line AB is 

NEET UG Physics Thermodynamics MCQs

(A) 5/9 (B) 9/5  (C) 1/9 (D) 3/9

6. The temperature on Celsius scale is 250 C What is the corresponding temperature on the Fahrenheit Scale?
(A) 400 F (B) 450 F (C) 500 F (D) 770 F

7. The temperature of a body on Kelvin Scale is found to be x.K. when it is measured by Fahrenheit thermometers. it is found to be x0F, then the value of x is .
(A) 313 (B) 301.24 (C) 574-25 (D) 40

8. A Centigrade and a Fahrenheit thermometers are dipped in boiling water-The water temperature is lowered until the Fahrenheit thermometers registered 1400 what is the fall in thermometers
(A) 800 (B) 600 (C) 400 (D) 300

9. A uniform metal rod is used as a bas pendulum. If the room temperature rises by 100C and the efficient of line as expansion of the metal of the rod is, 10-6 0-1 Cwhat will have percentage increase in the period of the pendulum ?
(A) -2×10-3 (B) 1×10-3 (C) -1×10-3 (D) 2×10-3

10. A gas expands from 1 litre to 3 litre at atmospheric pressure. The work done by the gas is about
(A) 200 J (B) 2 J (C) 300 J

NEET UG Physics Thermodynamics MCQs-3

NEET UG Physics Thermodynamics MCQs-4

NEET UG Physics Thermodynamics MCQs-2

NEET UG Physics Thermodynamics MCQs-5

 

21. If du represents the increase in internal energy of a thesmodynamic system and dw the work done by the system, which of the following statement is true ?
(A) du = dw in isothermal process (C) du = - dw in an aidabadic process
(B) du = dw in aidabadic process (D) da = - dw in an isothermal process

22. One mole of a monoatomic ideal gas is mixed with one mole of a diatomic ideal gas The molas specific heat of the micture at constant volume is ____
(A) 4 R (B) 3 R (C) R (D) 2R

23. One mole of a monoatomic gas is heate at a constant pressure of 1 atmosphere from 0k to 100 k.
If the gas constant R = 8.32 J/mol k the change in internal energy of the gas is approximate ?
(A) 23 J (B) 1.25×103 J (C) 8.67× 103 J (D) 46 J

24. A gas mixture consists of 2 mde of oxygen and 4 mole of argon at tempressure T.Neglecting all vibrational modes, the total internal energy of the system is
(A) 11 RT (B) 9 RT (C) 15 RT (D) 4 RT

 
NEET UG Physics Thermodynamics MCQs-6
NEET UG Physics Thermodynamics MCQs-7
NEET UG Physics Thermodynamics MCQs-8
 

34. The first law of thermodynamics is concerned with the conservation of
(A) momentum (B) energy (C) mass (D) temperature

35. If heat given to a system is 6 k cal and work done is 6kj. The change in internal energy is _____KJ.
(A) 12.4 (B) 25 (C) 19.1 (D) 0

36. The internal energy change in a system that has absorbed 2 Kcal of heat and done 500J of work is
(A) 7900 J (B) 4400 J (C) 6400 J (D ) 8900 J

37. Which of the following is not a thermodynamical function.
(A) Enthalpy (B) Work done
(C) Gibb's energy (D) Internal energy

38. Which of the following is not a thermodynamic co-ordinate.
(A) R (B) P (C) T (D) V

39. The work of 62-25 KJ is performed in order to compress one kilo mole of gas adiabatically and in this process the temperature of the gas increases by 50C The gas is _______ R = 8-3    J/molk
(A) triatomic (C) monoatomic
(B) diatomic (D) a mixture of monoatomic and diatomic

 
NEET UG Physics Thermodynamics MCQs-9
NEET UG Physics Thermodynamics MCQs-10
 
47. Heat capacity of a body depends on the _____ as well as on ______
(A) material of the body, its mass (C) mass of the body, itd temperature
(B) material of the body, its temperature (D) Volume of the body, its mass
 
48. In thesmodynamics, the work done by the system is considered ______ and the work done on the system is Considered _____
(A) Positive, zero (B) nagative, Positive
(C) zero, negative (D) Positive, negative
 
49. A thesmodynamic system goes from States
(i) P,V to 2P, V (ii) P,V to P, 2V. Then what is work done in the two Cases.
(A) Zero, PV (B) Zero, Zero (C) PV, Zero (D) PV,PV
 
NEET UG Physics Thermodynamics MCQs-11
NEET UG Physics Thermodynamics MCQs-12
NEET UG Physics Thermodynamics MCQs-13
NEET UG Physics Thermodynamics MCQs-14
NEET UG Physics Thermodynamics MCQs-15
NEET UG Physics Thermodynamics MCQs-16
NEET UG Physics Thermodynamics MCQs-17
NEET UG Physics Thermodynamics MCQs-18
NEET UG Physics Thermodynamics MCQs-19
NEET UG Physics Thermodynamics MCQs-20
NEET UG Physics Thermodynamics MCQs-21
NEET UG Physics Thermodynamics MCQs-22
NEET UG Physics Thermodynamics MCQs-23
NEET UG Physics Thermodynamics MCQs-24
NEET UG Physics Thermodynamics MCQs-25
 

105. Efficiency of a car not engine is 50%, when temperature of outlet is 500K. in order to increase efficiency up to 60% keeping temperature of intake the same what is temperature of out let.
(A) 200 K (B) 400 K (C) 600 K (D) 800 K

106. A car not engine takes 3×106 cal of heat from a reservoir at 627°C , and gives to a sink at 27°C.
The work done by the engine is
(A) 4.2×106 J (B) 16.8×106 J (C) 8.4×106 J (D) Zero

107. For which combination of working temperatures the efficiency of Car not's engine is highest.
(A) 80 K, 60 K (B) 100 K, 80 K (C) 60 K, 40 K (D) 40 K, 20 K

108. An ideal heat engine working between temperature T1 and T2 has an efficiency n. The new efficiency if both the source and sink temperature are doubled, will be
(A) n (B) 2n (C) 3n (D) n/2

109. An ideal refrigerator has a freetes at a temperature of -13°C, The coefficent of perfomance of the engine is 5. The temperature of the air to which heat is rejected will be.
(A) 325°C (B) 39°C (C) 325 K (D) 320°C

110. An engine is supposed to operate between two reservoirs at temperature 727°C and 227°C. The maximum possible efficiency of such an engine is
(A) 3/4
(B) 1/4
(C) 1/2
(D) 1

 
NEET UG Physics Thermodynamics MCQs-26
 

117. If a heat engine absorbs 50KJ heat from a heat source and has efficiency of 40%, then the heat released by it in heat sink is _____
(A) 40 KJ (B) 30 KJ (C) 20 J (D) 20 KJ

118. The efficiency of heat engine is 30% If it gives 30KJ heat to the heat sink, than it should have absorbed _____ KJ heat from heat source.
(A) 42.8 (B) 39 (C) 29 (D) 9

119. If a heat engine absorbs 2KJ heat from a heat source and release 1.5KJ heat into cold reservoir, then its efficiency is ____
(A) 0.5% (B) 75% (C) 25% (D) 50%

120. If the doors of a refrigerators is kept open, then which of the following is true?
(A) Room is cooled (B) Room is eithers cooled or heated
(C) Room is neither cooled nor heated (D) Room is heated

 

Assertion-Reason

Instructions :-

Read the assertion and reason carefully to mask the correct option out of the options given below.
(A) If both assertion and reason are true and the reason is the correct explanation of the assertion.
(B) If both assertion and reason are true but reason is not be correct explanation of assertion.
(C) If assertion is true but reason is false.
(D) If the assertion and reason both are false.

 

121. Assertion : The melting point of ice decreases with increase of Pressure
        Reason : Ice contracts on melting.
(A) C (B) B (C) A (D) D

 

122. Assertion : Fahrenhit is the smallest unit measuring temperature.
        Reason : Fahrenhit was the first temperature scale used for measuring temperature.
(A) A (B) C (C) B (D) D

 

123. Assertion : A beakes is completely, filled with water at 4°C. It will overlow, both when heated or cooled.
        Reason : These is expansion of water below 40 C
(A) A (B) B (C) C (D) D

 

124.  Assertion : The total translation kinetic energy of all the molecules of a given mass of an ideal gas is 1-5 times the product of its Pressure and its volume.
         Reason : The molecules of a gas collide with each other and velocities of the molecules change due to the collision
(A) D (B) C (C) A (D) B

 

125. Assertion : The car not is useful in understanding the perfomance of heat engine
        Reason : The car not cycle provides a way of determining the maximum possible efficiency achivable with reservoirs of given temperatures.
(A) A (B) B (C) C (D) D

 
 
NEET UG Physics Thermodynamics MCQs-27

(A) A-p, B-s, C-r, D-q (C) A-r, B-p, C-s, D-q
(B) A-s, B-q, C-p, D-r (D) A-q, B-r, C-q, D-p

 

Comprehehsion Type

In a containes of negligible heat capacity, 200g ice at 0°C and 100g steam at 100°C are added to  200g of water that has temperature 55C.Assume no heat is lost to the surroundings and the pressure in the container is constant 1 atm. 

128. What is the final temperature the System ?
(A) 72°C (B) 48°C (C) 100°C (D) 94°C

129. At the final temperature, mass of the toal water present in the system is
(A) 493.6g (B) 483.3g (C) 472.6 g (D) 500 g

130. Amount of the Sm left in the system, is equal to
(A) 16-7 g (B) 8-4 g (C) 12 g (D) 0 g

 
NEET UG Physics Thermodynamics MCQs-28
Digital Electronics and Logic Gates
Digital Electronics and Logic Gates MCQs
Experiments
Experiments MCQs
Kinetic Theory of Gases
Kinetic Theory of Gases MCQs
Kinetics and Measurement
Kinetics and Measurement MCQs
Magnetic Effects of Electric Current
Magnetic Effects of Electric Current MCQs

MCQs for Thermodynamics Physics NEET

Students can use these MCQs for Thermodynamics to quickly test their knowledge of the chapter. These multiple-choice questions have been designed as per the latest syllabus for NEET Physics released by NEET. Our expert teachers suggest that you should practice daily and solving these objective questions of Thermodynamics to understand the important concepts and better marks in your school tests.

Thermodynamics NCERT Based Objective Questions

Our expert teachers have designed these Physics MCQs based on the official NCERT book for NEET. We have identified all questions from the most important topics that are always asked in exams. After solving these, please compare your choices with our provided answers. For better understanding of Thermodynamics, you should also refer to our NCERT solutions for NEET Physics created by our team.

Online Practice and Revision for Thermodynamics Physics

To prepare for your exams you should also take the NEET Physics MCQ Test for this chapter on our website. This will help you improve your speed and accuracy and its also free for you. Regular revision of these Physics topics will make you an expert in all important chapters of your course.

FAQs

Where can I access latest NEET UG Physics Thermodynamics MCQs?

You can get most exhaustive NEET UG Physics Thermodynamics MCQs for free on StudiesToday.com. These MCQs for NEET Physics are updated for the 2026-27 academic session as per NEET examination standards.

Are Assertion-Reasoning and Case-Study MCQs included in the Physics NEET material?

Yes, our NEET UG Physics Thermodynamics MCQs include the latest type of questions, such as Assertion-Reasoning and Case-based MCQs. 50% of the NEET paper is now competency-based.

How do practicing Physics MCQs help in scoring full marks in NEET exams?

By solving our NEET UG Physics Thermodynamics MCQs, NEET students can improve their accuracy and speed which is important as objective questions provide a chance to secure 100% marks in the Physics.

Do you provide answers and explanations for NEET UG Physics Thermodynamics MCQs?

Yes, Physics MCQs for NEET have answer key and brief explanations to help students understand logic behind the correct option as its important for 2026 competency-focused NEET exams.

Can I practice these Physics NEET MCQs online?

Yes, you can also access online interactive tests for NEET UG Physics Thermodynamics MCQs on StudiesToday.com as they provide instant answers and score to help you track your progress in Physics.