JEE Mathematics Relation and Functions MCQs Set 03

Practice JEE Mathematics Relation and Functions MCQs Set 03 provided below. The MCQ Questions for JEE Relation and Functions Mathematics with answers and follow the latest JEE/ NCERT and KVS patterns. Refer to more Chapter-wise MCQs for JEE JEE Mathematics and also download more latest study material for all subjects

MCQ for JEE Mathematics Relation and Functions

JEE Mathematics students should review the 50 questions and answers to strengthen understanding of core concepts in Relation and Functions

Relation and Functions MCQ Questions JEE Mathematics with Answers

 

JEE Mathematics Relation and Functions MCQs Set C

JEE Mathematics Relation and Functions MCQs Set C-

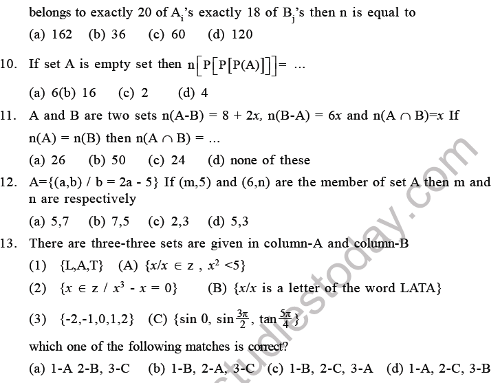
JEE Mathematics Relation and Functions MCQs Set C-1

JEE Mathematics Relation and Functions MCQs Set C-2

JEE Mathematics Relation and Functions MCQs Set C-3

JEE Mathematics Relation and Functions MCQs Set C-4

JEE Mathematics Relation and Functions MCQs Set C-5

JEE Mathematics Relation and Functions MCQs Set C-6

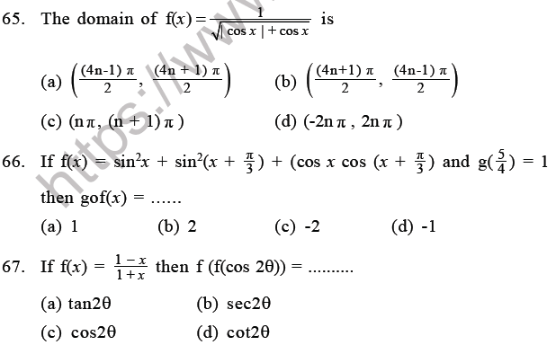
JEE Mathematics Relation and Functions MCQs Set C-7

JEE Mathematics Relation and Functions MCQs Set C-8

JEE Mathematics Relation and Functions MCQs Set C-9

JEE Mathematics Relation and Functions MCQs Set C-10

JEE Mathematics Relation and Functions MCQs Set C-11

JEE Mathematics Relation and Functions MCQs Set C-12

JEE Mathematics Relation and Functions MCQs Set C-13

JEE Mathematics Relation and Functions MCQs Set C-14

JEE Mathematics Relation and Functions MCQs Set C-15

JEE Mathematics Relation and Functions MCQs Set C-16

JEE Mathematics Relation and Functions MCQs Set C-17

JEE Mathematics Relation and Functions MCQs Set C-18

JEE Mathematics Relation and Functions MCQs Set C-19

JEE Mathematics Relation and Functions MCQs Set C-20

JEE Mathematics Relation and Functions MCQs Set C-21

JEE Mathematics Relation and Functions MCQs Set C-22

JEE Mathematics Relation and Functions MCQs Set C-23

JEE Mathematics Relation and Functions MCQs Set C-24

 

ANSWERS

JEE Mathematics Relation and Functions MCQs Set C-Ans

JEE Mathematics Relation and Functions MCQs Set C-Ans-

MCQs for Relation and Functions Mathematics JEE

Students can use these MCQs for Relation and Functions to quickly test their knowledge of the chapter. These multiple-choice questions have been designed as per the latest syllabus for JEE Mathematics released by JEE. Our expert teachers suggest that you should practice daily and solving these objective questions of Relation and Functions to understand the important concepts and better marks in your school tests.

Relation and Functions NCERT Based Objective Questions

Our expert teachers have designed these Mathematics MCQs based on the official NCERT book for JEE. We have identified all questions from the most important topics that are always asked in exams. After solving these, please compare your choices with our provided answers. For better understanding of Relation and Functions, you should also refer to our NCERT solutions for JEE Mathematics created by our team.

Online Practice and Revision for Relation and Functions Mathematics

To prepare for your exams you should also take the JEE Mathematics MCQ Test for this chapter on our website. This will help you improve your speed and accuracy and its also free for you. Regular revision of these Mathematics topics will make you an expert in all important chapters of your course.

FAQs

Where can I access latest JEE Mathematics Relation and Functions MCQs Set 03?

You can get most exhaustive JEE Mathematics Relation and Functions MCQs Set 03 for free on StudiesToday.com. These MCQs for JEE Mathematics are updated for the 2026-27 academic session as per JEE examination standards.

Are Assertion-Reasoning and Case-Study MCQs included in the Mathematics JEE material?

Yes, our JEE Mathematics Relation and Functions MCQs Set 03 include the latest type of questions, such as Assertion-Reasoning and Case-based MCQs. 50% of the JEE paper is now competency-based.

How do practicing Mathematics MCQs help in scoring full marks in JEE exams?

By solving our JEE Mathematics Relation and Functions MCQs Set 03, JEE students can improve their accuracy and speed which is important as objective questions provide a chance to secure 100% marks in the Mathematics.

Do you provide answers and explanations for JEE Mathematics Relation and Functions MCQs Set 03?

Yes, Mathematics MCQs for JEE have answer key and brief explanations to help students understand logic behind the correct option as its important for 2026 competency-focused JEE exams.

Can I practice these Mathematics JEE MCQs online?

Yes, you can also access online interactive tests for JEE Mathematics Relation and Functions MCQs Set 03 on StudiesToday.com as they provide instant answers and score to help you track your progress in Mathematics.