Practice NEET Biology Reproduction in Organisms MCQs Set 01 provided below. The MCQ Questions for NEET Reproduction in Organisms Biology with answers and follow the latest NEET/ NCERT and KVS patterns. Refer to more Chapter-wise MCQs for NEET NEET Biology and also download more latest study material for all subjects
MCQ for NEET Biology Reproduction in Organisms
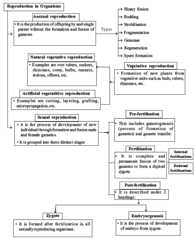
NEET Biology students should review the 50 questions and answers to strengthen understanding of core concepts in Reproduction in Organisms
Reproduction in Organisms MCQ Questions NEET Biology with Answers
| Anatomy Of Flowering Plants MCQs Set 2 |
| Anatomy Of Flowering Plants MCQs Set 1 |
| Animal Husbandry and Plant Breeding MCQs Set 3 |
| Animal Husbandry and Plant Breeding MCQs Set 2 |
| Animal Husbandry and Plant Breeding MCQs Set 1 |
| Animal Kingdom MCQs |
| Classification of Animal Kingdom MCQs Set 1 |
| Animal Morphology and Anatomy MCQs Set 2 |
| Animal Morphology and Anatomy MCQs Set 1 |
| Animal Kingdom MCQs |
| Animal Tissue MCQs |
| Animal Tissues MCQs Set 4 |
| Animal Tissues MCQs Set 3 |
| Animal Tissues MCQs Set 2 |
| Animal Tissues MCQs Set 1 |
| Biodiversity and its Conservation MCQs |
| Biomolecules MCQs |
| Biomolecules MCQs |
| Biomolecules MCQs Set 6 |
| Biomolecules MCQs Set 5 |
| Biomolecules MCQs Set 3 |
| Biomolecules MCQs Set 2 |
| Biomolecules MCQs Set 1 |
| Biotechnology and Its Applications MCQs Set 3 |
| Biotechnology and Its Applications MCQs Set 2 |
| Biotechnology and Its Applications MCQs Set 1 |
| Biotechnology Its applications MCQs |
| Biotechnology Principles and processes MCQs |
| Biotechnology Principles and Processes MCQs |
| Body Fluids and Circulation MCQs |
| Breathing and Exchange of Gases MCQs |
| Breathing and Exchange of Gases MCQs Set 2 |
| Breathing and Exchange of Gases MCQs Set 1 |
| Cell Cycle and Cell Divisions MCQs |
| Cell structure MCQs |
| Cell Structure and Function MCQs Set 3 |
| Cell Structure and Function MCQs Set 2 |
| Cell Structure and Function MCQs Set 1 |
| Chemical Coordination and Control MCQs |
| Classification Aids MCQs |
| Classification Aids MCQs |
| Classification of Plant Kingdom MCQs |
| Cockroach Comparative Study MCQs |
| Digestion and Absorption MCQs |
| Digestion and Absorption MCQs Set 3 |
| Digestion and Absorption MCQs Set 2 |
| Digestion and Absorption MCQs Set 1 |
| Environmental Issues MCQs |
| Environmental Issues MCQs Set 4 |
| Environmental Issues MCQs Set 3 |
| Environmental Issues MCQs Set 2 |
| Environmental Issues MCQs Set 1 |
| Excretory Products MCQs |
| Excretory Products and Their Elimination MCQs Set 3 |
| Excretory Products and Their Elimination MCQs Set 2 |
| Excretory Products and Their Elimination MCQs Set 1 |
| Growth and Development In plants MCQs |
| Heredity and Variation MCQs |
| Heredity and Variation MCQs Set 3 |
| Heredity and Variation MCQs Set 2 |
| Heredity and Variation MCQs Set 1 |
| Human Health and Diseases MCQs |
| Human Health and Diseases MCQs Set 3 |
| Human Health and Diseases MCQs Set 2 |
| Human Health and Diseases MCQs Set 1 |
| Human Reproduction MCQs |
| Human Reproduction MCQs Set 3 |
| Human Reproduction MCQs Set 2 |
| Human Reproduction MCQs Set 1 |
| Biomolecules MCQs Set 4 |
| Life Processes Excretion MCQs Set 2 |
| Life Processes Excretion MCQs Set 1 |
| Life Processes Life Process MCQs Set 2 |
| Life Processes Life Process MCQs Set 1 |
| Locomotion and Movement MCQs |
| Locomotion and Movement MCQs Set 3 |
| Locomotion and Movement MCQs Set 2 |
| Locomotion and Movement MCQs Set 1 |
| Microbes and Human Welfare MCQs |
| All Chapters MCQs Set 2 |
| Neural Control and Coordination in Animals MCQs |
| Organism and Population MCQs |
| Organisms and Populations MCQs Set 2 |
| Organisms and Populations MCQs Set 1 |
| Organism and Population MCQs Set 2 |
| Organism and Population MCQs Set 1 |
| Photosynthesis MCQs |
| Photosynthesis MCQs Set 3 |
| Photosynthesis MCQs Set 2 |
| Photosynthesis MCQs Set 1 |
| Photosynthesis In Higher Plants MCQs Set 2 |
| Photosynthesis In Higher Plants MCQs Set 1 |
| Plant Anatomy Plant Tissues MCQs |
| Plant Anatomy Plant Tissues MCQs Set 2 |
| Plant Anatomy Plant Tissues MCQs Set 1 |
| Plant Kingdom MCQs Set 3 |
| Plant Kingdom MCQs Set 2 |
| Plant Kingdom MCQs Set 1 |
| Classification Of Plant Kingdom MCQs Set 2 |
| Classification of Plant Kingdom MCQs Set 1 |
| Principles of Inheritance and Variation MCQs Set 3 |
| Principles of Inheritance and Variation MCQs Set 2 |
| Principles of Inheritance and Variation MCQs Set 1 |
| Reproduction in Organisms MCQs |
| Reproduction in Organisms MCQs Set 3 |
| Reproduction in Organisms MCQs Set 2 |
| Reproduction in Organisms MCQs Set 1 |
| Reproductive Health MCQs |
| Reproductive Health MCQs Set 3 |
| Reproductive Health MCQs Set 2 |
| Reproductive Health MCQs Set 1 |
| Sexual Reproduction in Flowering Plants MCQs |
| Strategies for Enhancement In Food Production MCQs Set 2 |
| Strategies for Enhancement In Food Production MCQs Set 1 |
| Taxonomical Aids MCQs Set 1 |
MCQs for Reproduction in Organisms Biology NEET
Students can use these MCQs for Reproduction in Organisms to quickly test their knowledge of the chapter. These multiple-choice questions have been designed as per the latest syllabus for NEET Biology released by NEET. Our expert teachers suggest that you should practice daily and solving these objective questions of Reproduction in Organisms to understand the important concepts and better marks in your school tests.
Reproduction in Organisms NCERT Based Objective Questions
Our expert teachers have designed these Biology MCQs based on the official NCERT book for NEET. We have identified all questions from the most important topics that are always asked in exams. After solving these, please compare your choices with our provided answers. For better understanding of Reproduction in Organisms, you should also refer to our NCERT solutions for NEET Biology created by our team.
Online Practice and Revision for Reproduction in Organisms Biology
To prepare for your exams you should also take the NEET Biology MCQ Test for this chapter on our website. This will help you improve your speed and accuracy and its also free for you. Regular revision of these Biology topics will make you an expert in all important chapters of your course.
FAQs
You can get most exhaustive NEET Biology Reproduction in Organisms MCQs Set 01 for free on StudiesToday.com. These MCQs for NEET Biology are updated for the 2026-27 academic session as per NEET examination standards.
Yes, our NEET Biology Reproduction in Organisms MCQs Set 01 include the latest type of questions, such as Assertion-Reasoning and Case-based MCQs. 50% of the NEET paper is now competency-based.
By solving our NEET Biology Reproduction in Organisms MCQs Set 01, NEET students can improve their accuracy and speed which is important as objective questions provide a chance to secure 100% marks in the Biology.
Yes, Biology MCQs for NEET have answer key and brief explanations to help students understand logic behind the correct option as its important for 2026 competency-focused NEET exams.
Yes, you can also access online interactive tests for NEET Biology Reproduction in Organisms MCQs Set 01 on StudiesToday.com as they provide instant answers and score to help you track your progress in Biology.