NEET Chemistry States Of Matter MCQs Set 01

Practice NEET Chemistry States Of Matter MCQs Set 01 provided below. The MCQ Questions for NEET States Of Matter Chemistry with answers and follow the latest NEET/ NCERT and KVS patterns. Refer to more Chapter-wise MCQs for NEET NEET Chemistry and also download more latest study material for all subjects

MCQ for NEET Chemistry States Of Matter

NEET Chemistry students should review the 50 questions and answers to strengthen understanding of core concepts in States Of Matter

States Of Matter MCQ Questions NEET Chemistry with Answers

 

 

Question: A sample of gas occupies 10 L under a pressure of 1 atm. What will be its volume if the pressure is increased to 2 atm? Assuming that temperature of the gas sample does not change

  • a) 2 L
  • b) 5 L
  • c) 10 L
  • d) 1 L

Answer: 5 L

 

Question:  A gas at a pressure of 5 atm is heated from 0° to 546°C and simultaneously compressed to 1/3 rd of its original volume. Hence final pressure is

  • a) 10 atm
  • b) 45 atm
  • c) 30 atm
  • d) 5 atm

Answer: 45 atm

 

Question: How much should the pressure be increased in order to decrease the volume of a gas by 5% at a constant temperature?

  • a) 5%
  • b) 5.26%
  • c) 10%
  • d) 4.26%

Answer: 5.26%

 

Question:  When the temperature is raised through 1°C the volume is increased by 1/273 th times of the original volume. This is

  • a) Boyle's Law
  • b) Charles' Law
  • c) Avogadro Law
  • d) Graham's Law

Answer: Charles' Law

 

Question: Which curve shows Charles’ law?

  • a)

    NEET Chemistry States of Matter Online Test Set A-5

  • b)

    NEET Chemistry States of Matter Online Test Set A-5-2

  • c)

    NEET Chemistry States of Matter Online Test Set A-5-3

  • d)

    NEET Chemistry States of Matter Online Test Set A-5-4

Answer:

NEET Chemistry States of Matter Online Test Set A-5-2

 

Question:  I, II, III are three isotherms respectively at T1, T2, T. Temperature will be in order

NEET Chemistry States of Matter Online Test Set A-6

  • a) T1= T2= T3
  • b) T1< T2< T3
  • c) T1> T2> T3
  • d) T1> T2= T3

Answer:  T1> T2> T3

 

Question:  To what temperature must a neon gas sample be heated to double its pressure if the initial volume of gas at 75°C is decreased by 15.0%?

  • a) 592 K
  • b) 492 K
  • c) 542 K
  • d) 642 K

Answer: 592 K

 

Question:  When a gas filled in a closed vessel is heated through 1°C, its pressure is increased by 0.4%. The initial temperature of the gas was

  • a) 250 K
  • b) 2500 K
  • c) 250°C 
  • d) 25°C

Answer: 250 K

 

Question: “One gram molecules of a gas at N.T.P. occupies 22.4 litres”. This fact was derived from

  • a) Dalton’s theory
  • b) Avogadro’s hypothesis
  • c) Berzelius hypothesis
  • d) Law of gaseous volume

Answer: Avogadro’s hypothesis

 

Question:  A sample of gas at 1.2 atm and 27°C is heated at constant pressure to 57°C. Its final volume is found to be 4.75 litres. What was its original volume?

  • a) 4.32 litres
  • b) 5.02 litres
  • c) 4.22 litres
  • d) None of these

Answer: 4.32 litres

 

Question:  If the density of a certain gas at 30°C and 768 torr is 1.35 kg/m3 its density at STP would be

  • a) 1.48 kg/m3 
  • b) 1.58 kg/m3 
  • c) 1.25 kg/m3
  • d) 1.4 kg/m3

Answer:  1.48 kg/m3 

 

Question:  A vessel has 6 g of oxygen at a pressure P and temperature 400 K. A small hole is made in it so that Oleaks out. How much Oleaks out if the pressure is P/2 and temperature 300 K?

  • a) 5 g
  • b) 4 g
  • c) 2 g
  • d) 3 g

Answer: 2 g

 

Question:   What percent of a sample of nitrogen must be allowed to escape if its temperature, pressure and volume are to be changed from 220°C, 3 atm and 1.65 litre to 110°C, 0.7 atm and 1.00 litre respectively?

  • a) 81.8%
  • b) 71.8%
  • c) 76.8%
  • d) 86.8%

Answer: 81.8%

 

Question:  2 g of gas A introduced in a evacuated flask at 25°C. The pressure of the gas is 1 atm. Now 3 g of another gas B is introduced in the same flask so total pressure becomes 1.5 atm. The ratio of molecular mass of A and B is

  • a) 3/1
  • b) 1/3
  • c) 1/4
  • d) 2/3

Answer: 1/3

 

Question: Which mixture of gases at room temperature does not obey Dalton's law of partial pressure?

  • a) NO2 and O2   
  • b) NH3 and HCl
  • c) CO and CO2
  • d) SO2 and SO3

Answer:  NH3 and HCl

 

Question: The two bulbs of volume 5 litre and 10 litre containing an ideal gas at 9 atm and 6 atm respectively are connected. What is the final pressure in the two bulbs if the temperature remains constant?

  • a) 15 atm
  • b) 7 atm
  • c) 12 atm
  • d) 21 atm

Answer: 7 atm

 

Question: Two non-reactive gases A and B are present in a container with partial pressures 200 and 180 mm of Hg. When a third non-reactive gas C is added then total pressure becomes 1 atm then mole fraction of C will be

  • a) 0.75
  • b) 0.5
  • c) 0.25
  • d) Cannot be calculated

Answer: 0.5

 

Question: The density of neon will be highest at

  • a) STP
  • b) 0°C and 2 atm 
  • c) 273°C and 1 atm 
  • d) 273°C and 2 atm

Answer:  0°C and 2 atm 

 

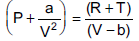
Question: Which of the following relation is correct for an ideal gas?

  • a)

    NEET Chemistry States of Matter Online Test Set A-20-1

  • b)

    NEET Chemistry States of Matter Online Test Set A-20

  • c)

    NEET Chemistry States of Matter Online Test Set A-20-3

  • d) All of these

Answer:

NEET Chemistry States of Matter Online Test Set A-20-3

 

Question: A bottle of dry ammonia and a bottle of dry hydrogen chloride connected through a long tube are opened simultaneously at both ends, the white ammonium chloride ring first formed will be

  • a) At the centre of the tube
  • b) Near the hydrogen chloride bottle
  • c) Near the ammonia bottle
  • d) Throughout the length of the tube

Answer: Near the hydrogen chloride bottle

 

Question: The rates of diffusion of gases A and B of molecular weights 100 and 81 respectively are in the ratio of

  • a) 9 : 10
  • b) 10 : 9
  • c) 100 : 18
  • d) 81 : 100

Answer: 9 : 10

 

More Questions........................................................

 

Question:  100 mL of O2 gas diffuses in 10 s. 100 mL of gas 'X' diffuses in 't' sec. Gas 'X' and time 't' can be

  • a) H2, 2.5 s
  • b) SO2, 16 s
  • c) CO, 10 s
  • d) He, 4 s

Answer:  H2, 2.5 s

 

Question: Pressure exerted by a perfect gas is equal to

  • a) Mean kinetic energy per unit volume
  • b) Half of the mean kinetic energy per unit volume
  • c) Two thirds of mean kinetic energy per unit volume
  • d) One third of mean kinetic energy per unit volume

Answer: Two thirds of mean kinetic energy per unit volume

 

Question: When there can be more deviation in the behaviour of a gas from the ideal gas equation PV = nRT

  • a) At high temperature and low pressure
  • b) At low temperature and high pressure
  • c) At high temperature and high pressure
  • d) At low temperature and low pressure

Answer: At low temperature and high pressure

 

Question: In van der Waal’s equation of state for a non-ideal gas, the term that accounts for intermolecular forces is

  • a) V – 1
  • b) RT
  • c)

    NEET Chemistry States of Matter Online Test Set A-26

  • d) (RT)–1

Answer:

NEET Chemistry States of Matter Online Test Set A-26

 

Question: van der Waal’s constant ‘a’ has the dimensions of

  • a) mol L–1 
  • b) atm L2 mol–2 
  • c) litre mol–1
  • d) atm L mol–2

Answer:  atm L2 mol–2 

 

Question: van der Waal found that two assumptions made by kinetic theory of gases were wrong, one of them is that gas molecules are

  • a) Very large
  • b) Compressible
  • c) Point particles without significant volume
  • d) Spherical

Answer: Point particles without significant volume

 

Question: Which one is correct relation for 1 mole of real gases?

  • a)

    NEET Chemistry States of Matter Online Test Set A-29-1

  • b)

    NEET Chemistry States of Matter Online Test Set A-29-2

  • c)

    NEET Chemistry States of Matter Online Test Set A-29-3

  • d) Both (1) & (2)

Answer: Both (1) & (2)

 

Question: For a real gas, Z shows

  • a) Z < 1, gas is less compressible
  • b) Z > 1, gas is more compressible
  • c) Z = ∞, for an ideal gas 
  • d) PV ≠ nRT, for real gas

Answer:  PV ≠ nRT, for real gas

 

Question: The compressibility factor ‘Z’ for the gas is given by

  • a) Z = PVobs
  • b)

    NEET Chemistry States of Matter Online Test Set A-31

  • c) Z = nRT
  • d) Z = PV.nRT

Answer:

NEET Chemistry States of Matter Online Test Set A-31

 

Question: Which of the following gas always shows positive deviation from ideal gas behaviour?

  • a) H2
  • b) CO2
  • c) NH3  
  • d) CH4

Answer:  H2

 

Question: For non-zero value of force of attraction between gas molecules, gas equation will be

  • a)

    NEET Chemistry States of Matter Online Test Set A-31

  • b) PV = nRT + nbP
  • c)

    NEET Chemistry States of Matter Online Test Set A-33-3

  • d) PV = nRT

Answer:

NEET Chemistry States of Matter Online Test Set A-31

 

Question:  What is the ratio of the average molecular kinetic energy of UF6 to that of H2 both at 300 K?

  • a) 1 : 1
  • b) 349 : 2
  • c) 2 : 349
  • d) None of these

Answer: 1 : 1

 

Question: If pressure of a fixed quantity of a gas is increased 4 times keeping the temperature constant, the r.m.s. velocity will be

  • a) 4 times
  • b) 2 times
  • c) Same
  • d) 1/2 times

Answer: Same

 

Question:  The total kinetic energy in joules of the molecules in 8 g of methane at 27°C is

  • a) 3741.30 J
  • b) 935.3J
  • c) 1870.65 J
  • d) 700 J

Answer: 1870.65 J

 

Question:  At what temperature the RMS velocity of oxygen will be same as that of methane at 27°C?

  • a) 54°C 
  • b) 327 K
  • c) 600 K
  • d) 573 K

Answer: 600 K

 

Question:  The temperature at which the root mean square velocity of SO2 molecules is the same as that of O2 at 27°C is

  • a) 600°C 
  • b) 300°C 
  • c) 327°C
  • d) 27°C

Answer:  327°C

 

Question:  The average velocity of an ideal gas molecule at 27°C is 0.3 m/s. The average velocity at 927°C will be

  • a) 0.6 m/s
  • b) 0.3 m/s
  • c) 0.9 m/s
  • d) 3.0 m/s

Answer: 0.6 m/s

 

Question: At what temperature will the total KE of 0.3 mol of He be the same as the total KE of 0.4 mol of Ar at 400 K?

  • a) 533 K
  • b) 400 K
  • c) 346 K
  • d) 300 K

Answer: 533 K

 

Question: The time taken for a certain volume of gas to diffuse through a small hole was 2 min. Under similar conditions an equal volume of oxygen took 5.65 minute to pass. The molecular mass of the gas is

  • a) 32.0
  • b) 11.33
  • c) 4.0
  • d) 8.0

Answer: 4.0

 

Question:  The r.m.s. velocity of hydrogen is √7 times the r.m.s. of nitrogen. If T is the temperature of the gas then

  • a)

    NEET Chemistry States of Matter Online Test Set B-42-1

  • b)

    NEET Chemistry States of Matter Online Test Set B-42-2

  • c)

    NEET Chemistry States of Matter Online Test Set B-42-3

  • d)

    NEET Chemistry States of Matter Online Test Set B-42-4

Answer:

NEET Chemistry States of Matter Online Test Set B-42-3

 

 

Question:   Distribution of fraction of molecules with velocity is represented in the figure.

NEET Chemistry States of Matter Online Test Set B-43

Velocity corresponding to point X is

  • a)

    NEET Chemistry States of Matter Online Test Set B-43-1

  • b)

    NEET Chemistry States of Matter Online Test Set B-43-2

  • c)

    NEET Chemistry States of Matter Online Test Set B-43-3

  • d)

    NEET Chemistry States of Matter Online Test Set B-43-4

Answer:

NEET Chemistry States of Matter Online Test Set B-43-1

 

Question:   Tc and Pc of a gas are 400 K and 41 atms. respectively. The Vc is

  • a)

    NEET Chemistry States of Matter Online Test Set B-44-1

  • b)

    NEET Chemistry States of Matter Online Test Set B-44-2

  • c)

    NEET Chemistry States of Matter Online Test Set B-44-3

  • d)

    NEET Chemistry States of Matter Online Test Set B-44-4

Answer:

NEET Chemistry States of Matter Online Test Set B-44-2

 

Question: Boyle’s temperature and inversion temperature are related as

  • a) Ti= Tb 
  • b) 2T = Tb 
  • c) Ti= 2Tb 
  • d) Ti=√Tb

Answer:  Ti= 2Tb 

 

Question: The critical temperature of a gas is related to van der Waal’s constants as

  • a) Tc= 3b
  • b)

    NEET Chemistry States of Matter Online Test Set B-46-2

  • c)

    NEET Chemistry States of Matter Online Test Set B-46-3

  • d)

    NEET Chemistry States of Matter Online Test Set B-46-4

Answer:

NEET Chemistry States of Matter Online Test Set B-46-3

 

Question:  Boyle’s temperature Tb is equal to 

  • a)

    NEET Chemistry States of Matter Online Test Set B-47-1

  • b)

    NEET Chemistry States of Matter Online Test Set B-47-2

  • c)

    NEET Chemistry States of Matter Online Test Set B-47-3

  • d)

    NEET Chemistry States of Matter Online Test Set B-47-4

Answer:

NEET Chemistry States of Matter Online Test Set B-47-2

 

Question: The point at which densities of a substance in gaseous as well as in liquid state are same called

  • a) Critical point
  • b) Isoelectric point
  • c) Isotonic point
  • d) Ideal point

Answer: Critical point

 

Question: Which of the following is correct regarding viscosity?

  • a) It is internal resistance of a liquid to flow
  • b) It increases with increase in temperature of the liquid
  • c) Coefficient of viscosity is not represented by ‘η’
  • d) All of these

Answer: It is internal resistance of a liquid to flow

 

Question: If saturated vapours are compressed slowly at constant temperature to half the initial volume, the vapour pressure will

  • a) Becomes double
  • b) Becomes 4 times
  • c) Becomes half
  • d) Remains unchanged

Answer: Remains unchanged

 

Question:  A graph of Maxwell distribution of molecular velocities is plotted below.

NEET Chemistry States of Matter Online Test Set B-1

Correct order of temperature

  • a) T1> T2> T3
  • b) T1< T2< T3 
  • c) T1= T2> T3
  • d) T1= T2= T3

Answer:  T1< T2< T3 

 

Question:  A spherical balloon of 21 cm diameter is to be filled up with H2 at NTP from a cylinder containing the gas at 20 atm at 27°C. The cylinder can hold 2.82 litre of water. The number of balloons that can be filled up

  • a) 11
  • b) 10
  • c) 8
  • d) 1

Answer: 10

 

Question: What is the correct increasing order of liquefiability of the gas?

  • a) H2< N2< CH4< CO2
  • b) H2< CO2< CH4< N
  • c) CO2< CH4< N2< H2  
  • d) CO2< CH4< H2< N2

Answer:  H2< N2< CH4< CO2

 

Question:  4 g argon (Atomic mass = 40) in a bulb at a temperature of T K has a pressure P atm. When the bulb was placed in hot bath at a temperature 50°C more than the first one, 0.8 g of gas had to be removed to get the original pressure. T is equal to

  • a) 510 K
  • b) 200 K
  • c) 100 K
  • d) 73 K

Answer: 200 K

 

Question: A flask containing air (open to atmosphere) is heated from 300 K to 500 K. Then percentage of air escaped to the atmosphere is

  • a) 20
  • b) 40
  • c) 60
  • d) 80

Answer: 40

 

Question:  Equal mass of H2, He and CH4 are mixed in empty container at 300 K, when total pressure is 2.6 atm. The partial pressure of H2 in the mixture is

  • a) 0.5 atm
  • b) 1.6 atm
  • c) 0.8 atm
  • d) 0.2 atm

Answer: 1.6 atm

 

Question:   At STP 16 mL of O2 diffused through a porous partition in t seconds. What volume of CO2 will diffuse in the same time and under the same conditions?

  • a) 13.65 mL
  • b) 10.5 mL
  • c) 20.2 mL
  • d) 224.8 mL

Answer: 13.65 mL

 

Question:   The molecular velocities of two gases at the same temperature are u1 and u2 and their molar masses are m1 and m2 respectively. Which of the following expressions are correct?

  • a)

    NEET Chemistry States of Matter Online Test Set B-8-1

  • b)

    NEET Chemistry States of Matter Online Test Set B-8-2

  • c)

    NEET Chemistry States of Matter Online Test Set B-8-3

  • d)

    NEET Chemistry States of Matter Online Test Set B-8-4

Answer:

NEET Chemistry States of Matter Online Test Set B-8-4

 

Question: Correct statement

  • a) At constant temperature, the KE of all the gas molecules is the same
  • b) At constant temperature, average KE of gas molecules remain constant but KE of individual molecule may differ
  • c) At constant temperature, the KE is greater for heavier gas molecules
  • d) At constant temperature, the KE is less for heavier gas molecules

Answer: At constant temperature, average KE of gas molecules remain constant but KE of individual molecule may differ

 

Question:   Air contains 23% oxygen and 77% nitrogen by weight. The percentage of O2 by volume is

  • a) 28.1
  • b) 20.7
  • c) 21.8
  • d) 23.0

Answer: 20.7

 

Question: The density of gas A is twice that of gas B at the same temperature. The molecular weight of gas B is thrice that of A. The ratio of pressure acting on A and B will be

  • a) 6 : 1
  • b) 7 : 8
  • c) 2 : 5
  • d) 1 : 4

Answer: 6 : 1

Biomolecule
Biomolecule MCQs
Chemical Bonding
Chemical Bonding MCQs
Chemical Thermodynamics
Chemical Thermodynamics MCQs
Chemistry in Everyday Life
In Everyday Life MCQs
Classification of Elements
Classification of Elements MCQs
D and F Block Elements
D and F Block Elements MCQs
Isolation of Metals
Isolation of Metals MCQs
Organic Chemistry
Organic Chemistry MCQs
Organic Compound Containing Halogens
Organic Compounds Containing Halogens MCQs
Organic Compound Containing Nitrogen
Organic Compound Containing Nitrogen MCQs
Organic Compounds
Organic Compounds MCQs
Organic Compounds Containing Oxygen
Organic Compounds Containing Oxygen MCQs
P Block Elements
P Block Elements MCQs
Practicals
Practicals MCQs
Redox Reactions and Electrochemistry
Redox Reactions and Electrochemistry MCQs
S Block Elements
S Block Elements MCQs
States of Matter
States of Matter MCQs
Structure of Atom
Structure of Atom MCQs

MCQs for States Of Matter Chemistry NEET

Students can use these MCQs for States Of Matter to quickly test their knowledge of the chapter. These multiple-choice questions have been designed as per the latest syllabus for NEET Chemistry released by NEET. Our expert teachers suggest that you should practice daily and solving these objective questions of States Of Matter to understand the important concepts and better marks in your school tests.

States Of Matter NCERT Based Objective Questions

Our expert teachers have designed these Chemistry MCQs based on the official NCERT book for NEET. We have identified all questions from the most important topics that are always asked in exams. After solving these, please compare your choices with our provided answers. For better understanding of States Of Matter, you should also refer to our NCERT solutions for NEET Chemistry created by our team.

Online Practice and Revision for States Of Matter Chemistry

To prepare for your exams you should also take the NEET Chemistry MCQ Test for this chapter on our website. This will help you improve your speed and accuracy and its also free for you. Regular revision of these Chemistry topics will make you an expert in all important chapters of your course.

FAQs

Where can I access latest NEET Chemistry States Of Matter MCQs Set 01?

You can get most exhaustive NEET Chemistry States Of Matter MCQs Set 01 for free on StudiesToday.com. These MCQs for NEET Chemistry are updated for the 2026-27 academic session as per NEET examination standards.

Are Assertion-Reasoning and Case-Study MCQs included in the Chemistry NEET material?

Yes, our NEET Chemistry States Of Matter MCQs Set 01 include the latest type of questions, such as Assertion-Reasoning and Case-based MCQs. 50% of the NEET paper is now competency-based.

How do practicing Chemistry MCQs help in scoring full marks in NEET exams?

By solving our NEET Chemistry States Of Matter MCQs Set 01, NEET students can improve their accuracy and speed which is important as objective questions provide a chance to secure 100% marks in the Chemistry.

Do you provide answers and explanations for NEET Chemistry States Of Matter MCQs Set 01?

Yes, Chemistry MCQs for NEET have answer key and brief explanations to help students understand logic behind the correct option as its important for 2026 competency-focused NEET exams.

Can I practice these Chemistry NEET MCQs online?

Yes, you can also access online interactive tests for NEET Chemistry States Of Matter MCQs Set 01 on StudiesToday.com as they provide instant answers and score to help you track your progress in Chemistry.