Get the most accurate NCERT Solutions for Class 10 Science Chapter 11 Electricity here. Updated for the 2025-26 academic session, these solutions are based on the latest NCERT textbooks for Class 10 Science. Our expert-created answers for Class 10 Science are available for free download in PDF format.
Detailed Chapter 11 Electricity NCERT Solutions for Class 10 Science
For Class 10 students, solving NCERT textbook questions is the most effective way to build a strong conceptual foundation. Our Class 10 Science solutions follow a detailed, step-by-step approach to ensure you understand the logic behind every answer. Practicing these Chapter 11 Electricity solutions will improve your exam performance.
Class 10 Science Chapter 11 Electricity NCERT Solutions PDF
Question : What does an electric circuit mean?
Answer: An electric circuit consists of electric devices, switching devices, source of electricity, etc. that are connected by conducting wires.
Question : Define the unit of current.
Answer: The unit of electric current is ampere (A). 1 A is defined as the flow of 1 C of charge through a wire in 1 s.
Question : Calculate the number of electrons constituting one coulomb of charge.
Answer: One electron possesses a charge of 1.6 × 10−19 C, i.e., 1.6 × 10−19 C of charge is contained in 1 electron.

Question : Name a device that helps to maintain a potential difference across a conductor.
Answer: A source of electricity such as cell, battery, power supply, etc. helps to maintain a potential difference across a conductor.
Question : What is meant by saying that the potential difference between two points is 1 V?
Answer: If 1 J of work is required to move a charge of amount 1 C from one point to another, then it is said that the potential difference between the two points is 1 V.
Question : How much energy is given to each coulomb of charge passing through a 6 V battery?
Answer: The energy given to each coulomb of charge is equal to the amount of work required to move it. The amount of work is given by the expression,

Therefore, 6 J of energy is given to each coulomb of charge passing through a battery of 6 V.
Question : On what factors does the resistance of a conductor depend?
Answer: The resistance of a conductor depends upon the following factors:
(a) Length of the conductor
(b) Cross-sectional area of the conductor
(c) Material of the conductor
(d) Temperature of the conductor
Question : Will current flow more easily through a thick wire or a thin wire of the same material,when connected to the same source? Why?
Answer: Resistance of a wire, R= p1/A
Where,
p = Resistivity of the material of the wire
l = Length of the wire
A = Area of cross-section of the wire
Resistance is inversely proportional to the area of cross-section of the wire.
Thicker the wire, lower is the resistance of the wire and vice-versa. Therefore, current can flow more easily through a thick wire than a thin wire.
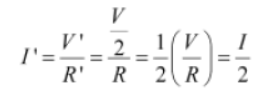
Question : Let the resistance of an electrical component remains constant while the potential difference across the two ends of the component decreases to half of its former value.What change will occur in the current through it?
Answer: The change in the current flowing through the component is given by Ohm’s law as
V=IR
I=V/R
Where,
Resistance of the electrical component = R
Potential difference = V
Current = I
The potential difference is reduced to half, keeping resistance constant.
Let the new resistance be R' and the new amount of current be I '.
Therefore, from Ohm’s law, we obtain the amount of new current.

Therefore, the amount of current flowing through the electrical component is reduced by half.
Question : Why are coils of electric toasters and electric irons made of an alloy rather than a pure metal?
Answer: The resistivity of an alloy is higher than the pure metal. Moreover, at high temperatures, the alloys do not melt readily. Hence, the coils of heating appliances such as electric toasters and electric irons are made of an alloy rather than a pure metal.
Question : Use the data in Table 12.2 to answer the following −
Table 12.2 Electrical resistivity of some substances at 20°C


(b) It can be observed from Table 12.2 that the resistivity of silver is the lowest among the listed materials. Hence, it is the best conductor.
Question 1: Draw a schematic diagram of a circuit consisting of a battery of three cells of 2 V each, a 5 Ω resistor, an 8 Ω resistor, and a 12 Ω resistor, and a plug key, all connected in series.
Answer: Three cells of potential 2 V, each connected in series, is equivalent to a battery of potential 2 V + 2 V + 2 V = 6V. The following circuit diagram shows three resistors of resistances 5 Ω, 8 Ω and 12 Ω respectively connected in series and a battery of potential 6 V.

Question 2: Redraw the circuit of question 1, putting in an ammeter to measure the current through the resistors and a voltmeter to measure potential difference across the 12 Ω resistor.What would be the readings in the ammeter and the voltmeter?
Answer: To measure the current flowing through the resistors, an ammeter should be connected in the circuit in series with the resistors. To measure the potential difference across the 12 Ω resistor, a voltmeter should be connected parallel to this resistor, as shown in the following figure.




Therefore, the resistance of the electric iron is 31.25Ω and the current flowing through it is 7.04 A.
Question 3: What are the advantages of connecting electrical devices in parallel with the battery instead of connecting them in series?
Answer: There is no division of voltage among the appliances when connected in parallel. The potential difference across each appliance is equal to the supplied voltage.
The total effective resistance of the circuit can be reduced by connecting electrical appliances in parallel.
Question 4: How can three resistors of resistances 2 Ω, 3 Ω and 6 Ω be connected to give a total resistance of (a) 4 Ω, (b) 1 Ω?
Answer: There are three resistors of resistances 2 Ω, 3 Ω, and 6 Ω respectively.
(a) The following circuit diagram shows the connection of the three resistors.

Question 5: What is (a) the highest, (b) the lowest total resistance that can be secured by combinations of four coils of resistance 4 Ω, 8 Ω, 12 Ω, 24 Ω?
Answer: There are four coils of resistances , 4 Ω 8 Ω, 12 Ω, and 24 Ω respectively.
(a) If these coils are connected in series, then the equivalent resistance will be the highest, given by the sum 4 + 8 + 12 + 24 =48 Ω
(b) If these coils are connected in parallel, then the equivalent resistance will be the lowest, given by

Therefore, 2 Ω is the lowest total resistance.
Question 1: Why does the cord of an electric heater not glow while the heating element does?
Answer: The heating element of an electric heater is a resistor. The amount of heat produced by it is proportional to its resistance. The resistance of the element of an electric heater is very high. As current flows through the heating element, it becomes too hot and glows red. On the other hand, the resistance of the cord is low. It does not become red when current flows through it.
Question 2: Compute the heat generated while transferring 96000 coulomb of charge in one hour through a potential difference of 50 V.
Answer: The amount of heat (H) produced is given by the Joule’s law of heating as

Question 3: An electric iron of resistance 20 Ω takes a current of 5 A. Calculate the heat developed in 30 s.
Answer: The amount of heat (H) produced is given by the joule’s law of heating as
H=VIt
Where,
Current, I = 5 A
Time, t = 30 s
Voltage, V = Current × Resistance = 5 × 20 = 100 V
H=100 × 5 × 30=1.5× 104 j
Therefore, the amount of heat developed in the electric iron is 1.5× 104 j .
Question 1: What determines the rate at which energy is delivered by a current?
Answer: The rate of consumption of electric energy in an electric appliance is called electric power. Hence, the rate at which energy is delivered by a current is the power of the appliance.
Question 2: An electric motor takes 5 A from a 220 V line. Determine the power of the motor and the energy consumed in 2 h.
Answer: Power (P) is given by the expression,
P=VI
Where,
Voltage, V = 220 V
Current, I = 5 A
P=220 × 5= 1100 W
Energy consumed by the motor = Pt
Where,
Time, t = 2 h = 2 × 60 × 60 = 7200 s
P = 1100 × 7200 = 7.92 × 106 J
Therefore, power of the motor = 1100 W
Energy consumed by the motor = 7.92 × 106 J















Question 16: Which uses more energy, a 250 W TV set in 1 hr, or a 1200 W toaster in 10 minutes?
Answer: Energy consumed by an electrical appliance is given by the expression,
H=Pt
Where,
Power of the appliance = P
Time = t
Energy consumed by a TV set of power 250 W in 1 h = 250 × 3600 = 9 × 105 J
Energy consumed by a toaster of power 1200 W in 10 minutes = 1200 × 600
= 7.2× 105 J
Therefore, the energy consumed by a 250 W TV set in 1 h is more than the energy consumed by a toaster of power 1200 W in 10 minutes.
Question 17: An electric heater of resistance 8 Ω draws 15 A from the service mains 2 hours. Calculate the rate at which heat is developed in the heater.
Answer: Rate of heat produced by a device is given by the expression for power as
P=I2R
Where,
Resistance of the electric heater, R = 8 Ω
Current drawn, I = 15 A
P=1(5)2 8=1800 J/s
Therefore, heat is produced by the heater at the rate of 1800 J/s.
Question 18: Explain the following.
(a) Why is the tungsten used almost exclusively for filament of electric lamps?
(b) Why are the conductors of electric heating devices, such as bread-toasters and electric irons, made of an alloy rather than a pure metal?
(c) Why is the series arrangement not used for domestic circuits?
(d) How does the resistance of a wire vary with its area of cross-section?
(e) Why are copper and aluminium wires usually employed for electricity transmission?
Answer:
(a) The melting point and resistivity of tungsten are very high. It does not burn readily at a high temperature. The electric lamps glow at very high temperatures. Hence,tungsten is mainly used as heating element of electric bulbs.
(b) The conductors of electric heating devices such as bread toasters and electric irons are made of alloy because resistivity of an alloy is more than that of metals. It produces large amount of heat.
(c) There is voltage division in series circuits. Each component of a series circuit receives a small voltage for a large supply voltage. As a result, the amount of current decreases and the device becomes hot. Hence, series arrangement is not used in domestic circuits.
(d) Resistance (R) of a wire is inversely proportional to its area of cross-section (A), i.e.,
R ∝ 1/A
(e) Copper and aluminium wires have low resistivity. They are good conductors of electricity. Hence, they are usually employed for electricity transmission.
| NCERT Solutions Class 10 Science Chapter 1 Chemical Reactions and Equations |
| NCERT Solutions Class 10 Science Chapter 2 Acids Bases and Salts |
| NCERT Solutions Class 10 Science Chapter 3 Metals and Non metals |
| NCERT Solutions Class 10 Science Chapter 4 Carbon and its Compounds |
| NCERT Solutions Class 10 Science Chapter 5 Life Processes |
| NCERT Solutions Class 10 Science Chapter 6 Control and Coordination |
| NCERT Solutions Class 10 Science Chapter 7 How do Organisms Reproduce |
| NCERT Solutions Class 10 Science Chapter 8 Heredity |
| NCERT Solutions Class 10 Science Chapter 9 Light Reflection and Refraction |
| NCERT Solutions Class 10 Science Chapter 10 Human Eye and Colourful World |
| NCERT Solutions Class 10 Science Chapter 11 Electricity |
| NCERT Solutions Class 10 Science Chapter 12 Magnetic Effects of Electric current |
| NCERT Solutions Class 10 Science Chapter 13 Our Environment |
Important Practice Resources for Class 10 Science
NCERT Solutions Class 10 Science Chapter 11 Electricity
Students can now access the NCERT Solutions for Chapter 11 Electricity prepared by teachers on our website. These solutions cover all questions in exercise in your Class 10 Science textbook. Each answer is updated based on the current academic session as per the latest NCERT syllabus.
Detailed Explanations for Chapter 11 Electricity
Our expert teachers have provided step-by-step explanations for all the difficult questions in the Class 10 Science chapter. Along with the final answers, we have also explained the concept behind it to help you build stronger understanding of each topic. This will be really helpful for Class 10 students who want to understand both theoretical and practical questions. By studying these NCERT Questions and Answers your basic concepts will improve a lot.
Benefits of using Science Class 10 Solved Papers
Using our Science solutions regularly students will be able to improve their logical thinking and problem-solving speed. These Class 10 solutions are a guide for self-study and homework assistance. Along with the chapter-wise solutions, you should also refer to our Revision Notes and Sample Papers for Chapter 11 Electricity to get a complete preparation experience.
The complete and updated is available for free on StudiesToday.com. These solutions for Class 10 Science are as per latest NCERT curriculum.
Yes, our experts have revised the as per 2026 exam pattern. All textbook exercises have been solved and have added explanation about how the Science concepts are applied in case-study and assertion-reasoning questions.
Toppers recommend using NCERT language because NCERT marking schemes are strictly based on textbook definitions. Our will help students to get full marks in the theory paper.
Yes, we provide bilingual support for Class 10 Science. You can access in both English and Hindi medium.
Yes, you can download the entire in printable PDF format for offline study on any device.