NCERT Solutions Class 12 Physics Chapter 9 Ray Optics And Optical Instruments

Get the most accurate NCERT Solutions for Class 12 Physics Chapter 9 Ray Optics And Optical Instruments here. Updated for the 2025-26 academic session, these solutions are based on the latest NCERT textbooks for Class 12 Physics. Our expert-created answers for Class 12 Physics are available for free download in PDF format.

Detailed Chapter 9 Ray Optics And Optical Instruments NCERT Solutions for Class 12 Physics

For Class 12 students, solving NCERT textbook questions is the most effective way to build a strong conceptual foundation. Our Class 12 Physics solutions follow a detailed, step-by-step approach to ensure you understand the logic behind every answer. Practicing these Chapter 9 Ray Optics And Optical Instruments solutions will improve your exam performance.

Class 12 Physics Chapter 9 Ray Optics And Optical Instruments NCERT Solutions PDF

Question. A small candle, 2.5 cm in size is placed at 27 cm in front of a concave mirror of radius of curvature 36 cm. At what distance from the mirror should a screen be placed in order to obtain a sharp image? Describe the nature and size of the image. If the candle is moved closer to the mirror, how would the screen have to be moved?
Answer : Size of the candle, h= 2.5 cm
Image size = h’
Object distance, u= −27 cm
Radius of curvature of the concave mirror, R= −36 cm
Focal length of the concave mirror, f = R/2 = - 18cm
Image distance = v
The image distance can be obtained using the mirror formula:

""NCERT-Solutions-Class-12-Physics-Chapter-9-Ray-Optics-And-Optical-Instruments-34

Therefore, the screen should be placed 54 cm away from the mirror to obtain a sharp image.
The magnification of the image is given as:

""NCERT-Solutions-Class-12-Physics-Chapter-9-Ray-Optics-And-Optical-Instruments-35

The height of the candle’s image is 5 cm. The negative sign indicates that the image is inverted and virtual. If the candle is moved closer to the mirror, then the screen will have to be moved away from the mirror in order to obtain the image.

Question. A 4.5 cm needle is placed 12 cm away from a convex mirror of focal length 15 cm. Give the location of the image and the magnification. Describe what happens as the needle is moved farther from the mirror.
Answer : Height of the needle, h1 = 4.5 cm
Object distance, u = −12 cm
Focal length of the convex mirror, f = 15 cm
Image distance = v
The value of v can be obtained using the mirror formula:

""NCERT-Solutions-Class-12-Physics-Chapter-9-Ray-Optics-And-Optical-Instruments-36

Hence, the image of the needle is 6.7 cm away from the mirror. Also, it is on the other side of the mirror.
The image size is given by the magnification formula:

""NCERT-Solutions-Class-12-Physics-Chapter-9-Ray-Optics-And-Optical-Instruments-37

Hence, magnification of the image,
The height of the image is 2.5 cm. The positive sign indicates that the image is erect, virtual, and diminished.
If the needle is moved farther from the mirror, the image will also move away from the mirror, and the size of the image will reduce gradually.'

Question. A tank is filled with water to a height of 12.5 cm. The apparent depth of a needle lying at the bottom of the tank is measured by a microscope to be 9.4 cm. What is the refractive index of water? If water is replaced by a liquid of refractive index 1.63 up to the same height, by what distance would the microscope have to be moved to focus on the needle again?
Answer : Actual depth of the needle in water, h1 = 12.5 cm
Apparent depth of the needle in water, h2 = 9.4 cm
Refractive index of water = μ
The value of μcan be obtained as follows:

""NCERT-Solutions-Class-12-Physics-Chapter-9-Ray-Optics-And-Optical-Instruments-38

Hence, the refractive index of water is about 1.33.
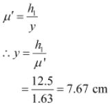
Water is replaced by a liquid of refractive index, µ' = 1.63
The actual depth of the needle remains the same, but its apparent depth changes.
Let y be the new apparent depth of the needle. Hence, we can write the relation:

""NCERT-Solutions-Class-12-Physics-Chapter-9-Ray-Optics-And-Optical-Instruments-39

Hence, the new apparent depth of the needle is 7.67 cm. It is less than h2
Therefore, to focus the needle again, the microscope should be moved up.
∴ Distance by which the microscope should be moved up = 9.4 − 7.67
= 1.73 cm

Question. Figures 9.34(a) and (b) show refraction of a ray in air incident at 60° with the normal to a glass-air and water-air interface, respectively. Predict the angle of refraction in glass when the angle of incidence in water is 45º with the normal to a water-glass interface [Fig. 9.34(c)].

""NCERT-Solutions-Class-12-Physics-Chapter-9-Ray-Optics-And-Optical-Instruments-40

 

Answer : As per the given figure, for the glass − air interface:
Angle of incidence, i = 60°
Angle of refraction, r = 35°
The relative refractive index of glass with respect to air is given by Snell’s law as:

""NCERT-Solutions-Class-12-Physics-Chapter-9-Ray-Optics-And-Optical-Instruments-41

""NCERT-Solutions-Class-12-Physics-Chapter-9-Ray-Optics-And-Optical-Instruments-42

Hence, the angle of refraction at the water − glass interface is 38.68°.

Question. A small bulb is placed at the bottom of a tank containing water to a depth of 80 cm. What is the area of the surface of water through which light from the bulb can emerge out? Refractive index of water is 1.33. (Consider the bulb to be a point source.)
Answer : Actual depth of the bulb in water, d1 = 80 cm = 0.8 m
Refractive index of water, µ = 1.33
The given situation is shown in the following figure:

""NCERT-Solutions-Class-12-Physics-Chapter-9-Ray-Optics-And-Optical-Instruments-43

∴ R = tan 48.75° × 0.8 = 0.91 m
∴ Area of the surface of water = πR2 = π (0.91)2 = 2.61 m2

Hence, the area of the surface of water through which the light from the bulb can emerge is approximately 2.61 m2.

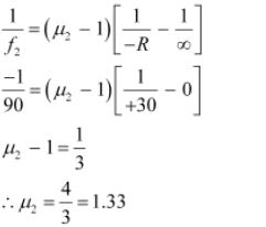
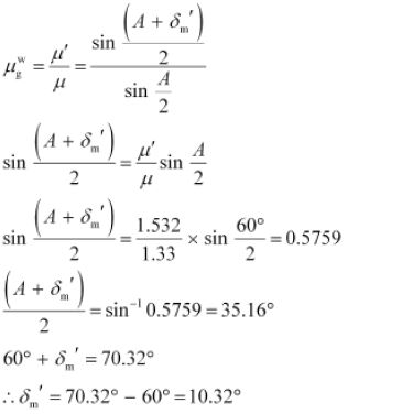
Question. A prism is made of glass of unknown refractive index. A parallel beam of light is incident on a face of the prism. The angle of minimum deviation is measured to be 40°. What is the refractive index of the material of the prism? The refracting angle of the prism is 60°. If the prism is placed in water (refractive index 1.33), predict the new angle of minimum deviation of a parallel beam of light.
Answer : Angle of minimum deviation, δm = 40°
Angle of the prism, A = 60°
Refractive index of water, µ = 1.33
Refractive index of the material of the prism = µ
The angle of deviation is related to refractive index (µ') as

""NCERT-Solutions-Class-12-Physics-Chapter-9-Ray-Optics-And-Optical-Instruments-44

Hence, the refractive index of the material of the prism is 1.532.
Since the prism is placed in water, let δbe the new angle of minimum deviation for the same prism.
The refractive index of glass with respect to water is given by the relation:

""NCERT-Solutions-Class-12-Physics-Chapter-9-Ray-Optics-And-Optical-Instruments-45

Hence, the new minimum angle of deviation is 10.32°.

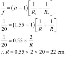
Question. Double-convex lenses are to be manufactured from a glass of refractive index 1.55, with both faces of the same radius of curvature. What is the radius of curvature required if the focal length is to be 20 cm?
Answer : Refractive index of glass, µ = 1.55
Focal length of the double-convex lens, f = 20 cm
Radius of curvature of one face of the lens = R1
Radius of curvature of the other face of the lens = R2
Radius of curvature of the double-convex lens = R
∴ R1 = R and R2 = - R
The value of R can be calculated as:

""NCERT-Solutions-Class-12-Physics-Chapter-9-Ray-Optics-And-Optical-Instruments-46

Hence, the radius of curvature of the double-convex lens is 22 cm.

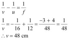
Question. A beam of light converges at a point P. Now a lens is placed in the path of the convergent beam 12 cm from P. At what point does the beam converge if the lens is (a) a convex lens of focal length 20 cm, and (b) a concave lens of focal length 16 cm?
Answer : In the given situation, the object is virtual and the image formed is real.
Object distance, u = +12 cm
(a) Focal length of the convex lens, f = 20 cm
Image distance = v
According to the lens formula, we have the relation:

""NCERT-Solutions-Class-12-Physics-Chapter-9-Ray-Optics-And-Optical-Instruments-47

Hence, the image is formed 7.5 cm away from the lens, toward its right.
(b) Focal length of the concave lens, f = −16 cm
Image distance = v
According to the lens formula, we have the relation:

""NCERT-Solutions-Class-12-Physics-Chapter-9-Ray-Optics-And-Optical-Instruments-48

Hence, the image is formed 48 cm away from the lens, toward its right.

Question. An object of size 3.0 cm is placed 14 cm in front of a concave lens of focal length 21 cm. Describe the image produced by the lens. What happens if the object is moved further away from the lens?
Answer : Size of the object, h1 = 3 cm
Object distance, u = −14 cm
Focal length of the concave lens, f = −21 cm
Image distance = v
According to the lens formula, we have the relation:

""NCERT-Solutions-Class-12-Physics-Chapter-9-Ray-Optics-And-Optical-Instruments-49

Hence, the image is formed on the other side of the lens, 8.4 cm away from it. The negative sign shows that the image is erect and virtual.
The magnification of the image is given as:

""NCERT-Solutions-Class-12-Physics-Chapter-9-Ray-Optics-And-Optical-Instruments-50

Hence, the height of the image is 1.8 cm.
If the object is moved further away from the lens, then the virtual image will move toward the focus of the lens, but not beyond it. The size of the image will decrease with the increase in the object distance.

Question. What is the focal length of a convex lens of focal length 30 cm in contact with a concave lens of focal length 20 cm? Is the system a converging or a diverging lens? Ignore thickness of the lenses.
Answer : Focal length of the convex lens, f1 = 30 cm
Focal length of the concave lens, f2 = −20 cm
Focal length of the system of lenses = f
The equivalent focal length of a system of two lenses in contact is given as:

""NCERT-Solutions-Class-12-Physics-Chapter-9-Ray-Optics-And-Optical-Instruments-51

Hence, the focal length of the combination of lenses is 60 cm. The negative sign indicates that the system of lenses acts as a diverging lens.

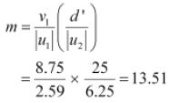
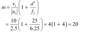
Question. A compound microscope consists of an objective lens of focal length 2.0 cm and an eyepiece of focal length 6.25 cm separated by a distance of 15 cm. How far from the objective should an object be placed in order to obtain the final image at (a) the least distance of distinct vision (25 cm), and (b) at infinity? What is the magnifying power of the microscope in each case?
Answer : Focal length of the objective lens, f1 = 2.0 cm
Focal length of the eyepiece, f2 = 6.25 cm
Distance between the objective lens and the eyepiece, d = 15 cm
(a) Least distance of distinct vision, ∴ d' = 25 cm
∴Image distance for the eyepiece, v2 = −25 cm
Object distance for the eyepiece = u2
According to the lens formula, we have the relation

""NCERT-Solutions-Class-12-Physics-Chapter-9-Ray-Optics-And-Optical-Instruments-52

The magnifying power of a compound microscope is given by the relation:

""NCERT-Solutions-Class-12-Physics-Chapter-9-Ray-Optics-And-Optical-Instruments-53

Hence, the magnifying power of the microscope is 20.
(b) The final image is formed at infinity.
∴Image distance for the eyepiece, V2 = ∝
Object distance for the eyepiece = u2
According to the lens formula, we have the relation:

""NCERT-Solutions-Class-12-Physics-Chapter-9-Ray-Optics-And-Optical-Instruments-54

""NCERT-Solutions-Class-12-Physics-Chapter-9-Ray-Optics-And-Optical-Instruments-55

Hence, the magnifying power of the microscope is 13.51.

Question. A person with a normal near point (25 cm) using a compound microscope with objective of focal length 8.0 mm and an eyepiece of focal length 2.5 cm can bring an object placed at 9.0 mm from the objective in sharp focus. What is the separation between the two lenses? Calculate the magnifying power of the microscope,
Answer : Focal length of the objective lens, fo = 8 mm = 0.8 cm
Focal length of the eyepiece, fe = 2.5 cm
Object distance for the objective lens, uo = −9.0 mm = −0.9 cm
Least distance of distant vision, d = 25 cm
Image distance for the eyepiece, ve = −d = −25 cm
Object distance for the eyepiece = ue
Using the lens formula, we can obtain the value of ue as:

""NCERT-Solutions-Class-12-Physics-Chapter-9-Ray-Optics-And-Optical-Instruments-56

We can also obtain the value of the image distance for the objective lens Vo using the lens formula.

""NCERT-Solutions-Class-12-Physics-Chapter-9-Ray-Optics-And-Optical-Instruments-57

Hence, the magnifying power of the microscope is 88.

Question. A small telescope has an objective lens of focal length 144 cm and an eyepiece of focal length 6.0 cm. What is the magnifying power of the telescope? What is the separation between the objective and the eyepiece?
Answer : Focal length of the objective lens, fo = 144 cm
Focal length of the eyepiece, fe = 6.0 cm
The magnifying power of the telescope is given as:

""NCERT-Solutions-Class-12-Physics-Chapter-9-Ray-Optics-And-Optical-Instruments-58

Hence, the magnifying power of the telescope is 24 and the separation between the objective lens and the eyepiece is 150 cm.

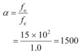
Question. (a) A giant refracting telescope at an observatory has an objective lens of focal length 15 m. If an eyepiece of focal length 1.0 cm is used, what is the angular magnification of the telescope?
(b) If this telescope is used to view the moon, what is the diameter of the image of the moon formed by the objective lens? The diameter of the moon is 3.48 × 106 m, and the radius of lunar orbit is 3.8 × 108 m.

Answer : Focal length of the objective lens, fo = 15 m = 15 × 102 cm
Focal length of the eyepiece, fe = 1.0 cm
(a) The angular magnification of a telescope is given as:

""NCERT-Solutions-Class-12-Physics-Chapter-9-Ray-Optics-And-Optical-Instruments-59

Hence, the angular magnification of the given refracting telescope is 1500.
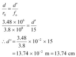
(b) Diameter of the moon, d = 3.48 × 106 m
Radius of the lunar orbit, r0 = 3.8 × 108 m
Let d' be the diameter of the image of the moon formed by the objective lens
The angle subtended by the diameter of the moon is equal to the angle subtended by the image.

""NCERT-Solutions-Class-12-Physics-Chapter-9-Ray-Optics-And-Optical-Instruments-60

Hence, the diameter of the moon’s image formed by the objective lens is 13.74 cm

Question. Use the mirror equation to deduce that:
(a) an object placed between f and 2f of a concave mirror produces a real image beyond 2f.
(b) a convex mirror always produces a virtual image independent of the location of the object.
(c) the virtual image produced by a convex mirror is always diminished in size and is located between the focus and the pole.
(d) an object placed between the pole and focus of a concave mirror produces a virtual and enlarged image.
[Note: This exercise helps you deduce algebraically properties of images that one obtains from explicit ray diagrams.]

Answer : (a) For a concave mirror, the focal length (f) is negative.
∴ f < 0
When the object is placed on the left side of the mirror, the object distance (u) is negative.
∴ u < 0
For image distance v, we can write the lens formula as:

""NCERT-Solutions-Class-12-Physics-Chapter-9-Ray-Optics-And-Optical-Instruments-61

Therefore, the image lies beyond 2f.
(b) For a convex mirror, the focal length (f) is positive.
∴ f > 0
When the object is placed on the left side of the mirror, the object distance (u) is negative.
∴ u < 0
For image distance v, we have the mirror formula:

""NCERT-Solutions-Class-12-Physics-Chapter-9-Ray-Optics-And-Optical-Instruments-62

Thus, the image is formed on the back side of the mirror.
Hence, a convex mirror always produces a virtual image, regardless of the object distance.
(c) For a convex mirror, the focal length (f) is positive.
∴f > 0
When the object is placed on the left side of the mirror, the object distance (u) is negative,
∴u < 0
For image distance v, we have the mirror formula

""NCERT-Solutions-Class-12-Physics-Chapter-9-Ray-Optics-And-Optical-Instruments-63

Hence, the image formed is diminished and is located between the focus (f) and the pole.
(d) For a concave mirror, the focal length (f) is negative.
∴ f < 0
When the object is placed on the left side of the mirror, the object distance (u) is negative.
∴u < 0
It is placed between the focus (f) and the pole

""NCERT-Solutions-Class-12-Physics-Chapter-9-Ray-Optics-And-Optical-Instruments-64

Hence, the formed image is enlarged.

Question. A small pin fixed on a table top is viewed from above from a distance of 50 cm. By what distance would the pin appear to be raised if it is viewed from the same point through a 15 cm thick glass slab held parallel to the table? Refractive index of glass
= 1.5. Does the answer depend on the location of the slab?

Answer : Actual depth of the pin, d = 15 cm
Apparent dept of the pin = d'
Refractive index of glass, µ = 1.5
Ratio of actual depth to the apparent depth is equal to the refractive index of glass, i.e.

""NCERT-Solutions-Class-12-Physics-Chapter-9-Ray-Optics-And-Optical-Instruments-65

The distance at which the pin appears to be raised = d' - d
= 15 - 10 = 5 cm
For a small angle of incidence, this distance does not depend upon the location of the slab.

Question. (a) Figure 9.35 shows a cross-section of a ‘light pipe’ made of a glass fibre of refractive index 1.68. The outer covering of the pipe is made of a material of refractive index 1.44. What is the range of the angles of the incident rays with the axis of the pipe for which total reflections inside the pipe take place, as shown in the figure.
(b) What is the answer if there is no outer covering of the pipe?

""NCERT-Solutions-Class-12-Physics-Chapter-9-Ray-Optics-And-Optical-Instruments-66

Answer : (a) Refractive index of the glass fibre, µ1 = 1.68
Refractive index of the outer covering of the pipe, µ= 1.44
Angle of incidence = i
Angle of refraction = r
Angle of incidence at the interface = i’
The refractive index (μ) of the inner core − outer core interface is given as:

""NCERT-Solutions-Class-12-Physics-Chapter-9-Ray-Optics-And-Optical-Instruments-67

""NCERT-Solutions-Class-12-Physics-Chapter-9-Ray-Optics-And-Optical-Instruments-68

Question. Answer the following questions:
(i) You have learnt that plane and convex mirrors produce virtual images of objects. Can they produce real images under some circumstances? Explain.
(ii) A virtual image, we always say, cannot be caught on a screen. Yet when we ‘see’ a virtual image, we are obviously bringing it on to the ‘screen’ (i.e., the retina) of our eye. Is there a contradiction?
(iii) A diver under water, looks obliquely at a fisherman standing on the bank of a lake. Would the fisherman look taller or shorter to the diver than what he actually is?
(iv) Does the apparent depth of a tank of water change if viewed obliquely? If so, does the apparent depth increase or decrease?
(v) The refractive index of diamond is much greater than that of ordinary glass. Is this fact of some use to a diamond cutter?

Answer : (i) Yes Plane and convex mirrors can produce real images as well. If the object is virtual,
i.e., if the light rays converging at a point behind a plane mirror (or a convex mirror) are reflected to a point on a screen placed in front of the mirror, then a real image will be formed.
(ii) No
A virtual image is formed when light rays diverge. The convex lens of the eye causes these divergent rays to converge at the retina. In this case, the virtual image serves as an object for the lens to produce a real image.
(iii) The diver is in the water and the fisherman is on land (i.e., in air). Water is a denser medium than air. It is given that the diver is viewing the fisherman. This indicates that the light rays are travelling from a denser medium to a rarer medium. Hence, the refracted rays will move away from the normal. As a result, the fisherman will appear to be taller.
(iv) Yes; Decrease
The apparent depth of a tank of water changes when viewed obliquely. This is because light bends on travelling from one medium to another. The apparent depth of the tank when viewed obliquely is less than the near-normal viewing.
(v) Yes
The refractive index of diamond (2.42) is more than that of ordinary glass (1.5). The critical angle for diamond is less than that for glass. A diamond cutter uses a large angle of incidence to ensure that the light entering the diamond is totally reflected from its faces. This is the reason for the sparkling effect of a diamond.

Question. The image of a small electric bulb fixed on the wall of a room is to be obtained on the opposite wall 3 m away by means of a large convex lens. What is the maximum possible focal length of the lens required for the purpose?
Answer 
Distance between the object and the image, d = 3 m
Maximum focal length of the convex lens = fmax
For real images, the maximum focal length is given as:
Hence, for the required purpose, the maximum possible focal length of the convex lens is 0.75 m.
fmax = d/4
= 3/4 = 0.75m
Hence, for the required purpose, the maximum possible focal length of the convex lens is 0.75 m.

Question. A screen is placed 90 cm from an object. The image of the object on the screen is formed by a convex lens at two different locations separated by 20 cm. Determine the focal length of the lens.
Answer : Distance between the image (screen) and the object, D = 90 cm
Distance between two locations of the convex lens, d = 20 cm
Focal length of the lens = f
Focal length is related to d and D as:

""NCERT-Solutions-Class-12-Physics-Chapter-9-Ray-Optics-And-Optical-Instruments-33

Therefore, the focal length of the convex lens is 21.39 cm.

Question. (a) Determine the ‘effective focal length’ of the combination of the two lenses in Exercise 9.10, if they are placed 8.0 cm apart with their principal axes coincident.
Does the answer depend on which side of the combination a beam of parallel light is incident? Is the notion of effective focal length of this system useful at all?
(b) An object 1.5 cm in size is placed on the side of the convex lens in the arrangement (a) above. The distance between the object and the convex lens is 40 cm. Determine the magnification produced by the two-lens system, and the size of the image.

Answer : Focal length of the convex lens, f1 = 30 cm
Focal length of the concave lens, f2 = −20 cm
Distance between the two lenses, d = 8.0 cm
(a) When the parallel beam of light is incident on the convex lens first:
According to the lens formula, we have:

""NCERT-Solutions-Class-12-Physics-Chapter-9-Ray-Optics-And-Optical-Instruments-32

""NCERT-Solutions-Class-12-Physics-Chapter-9-Ray-Optics-And-Optical-Instruments-31

""NCERT-Solutions-Class-12-Physics-Chapter-9-Ray-Optics-And-Optical-Instruments-30

""NCERT-Solutions-Class-12-Physics-Chapter-9-Ray-Optics-And-Optical-Instruments-29

Hence, the parallel incident beam appear to diverge from a point that is (420 − 4) 416 cm from the left of the centre of the combination of the two lenses.
The answer does depend on the side of the combination at which the parallel beam of light is incident. The notion of effective focal length does not seem to be useful for this combination.
(b) Height of the image, h1 = 1.5 cm
Object distance from the side of the convex lens, u1 = -40cm
│u1│= 40 cm
According to the lens formula:
1/v1 - 1/u1 = 1/f1
Where,
""NCERT-Solutions-Class-12-Physics-Chapter-9-Ray-Optics-And-Optical-Instruments-27

Hence, the magnification due to the convex lens is 3.
The image formed by the convex lens acts as an object for the concave lens.
According to the lens formula:

""NCERT-Solutions-Class-12-Physics-Chapter-9-Ray-Optics-And-Optical-Instruments-26

Hence, the magnification due to the concave lens is 20/92
The magnification produced by the combination of the two lenses is calculated as:
m x m'
= 3 x 20/92 = 60/92 = 0.652
The magnification of the combination is given as:
h2/h1 = 0.652
h2 = 0.652 x h
Where,
h1 = Object size = 1.5 cm
h2 = Size of the image
∴ h2 = 0.652 x 1.5 = 0.98 cm
Hence, the height of the image is 0.98 cm.

Question. At what angle should a ray of light be incident on the face of a prism of refracting angle 60° so that it just suffers total internal reflection at the other face? The refractive index of the material of the prism is 1.524. 
Answer : The incident, refracted, and emergent rays associated with a glass prism ABC are shown in the given figure.

""NCERT-Solutions-Class-12-Physics-Chapter-9-Ray-Optics-And-Optical-Instruments-24

Angle of prism, ∴ A = 60°
Refractive index of the prism, F = 1.524
i1 = Incident angle
r1 = Refracted angle 
r2= Angle of incidence at the face AC
e = Emergent angle = 90°
According to Snell’s law, for face AC, we can have:

""NCERT-Solutions-Class-12-Physics-Chapter-9-Ray-Optics-And-Optical-Instruments-25

Question. You are given prisms made of crown glass and flint glass with a wide variety of angles.
Suggest a combination of prisms which will
(i) deviate a pencil of white light without much dispersion,
(ii) disperse (and displace) a pencil of white light without much deviation.

Answer : (i) Place the two prisms beside each other. Make sure that their bases are on the opposite sides of the incident white light, with their faces touching each other. When the white light is incident on the first prism, it will get dispersed. When this dispersed light is incident on the second prism, it will recombine and white light will emerge from the combination of the two prisms.
(ii) Take the system of the two prisms as suggested in answer (a). Adjust (increase) the angle of the flint-glass-prism so that the deviations due to the combination of the prisms become equal. This combination will disperse the pencil of white light without much deviation.

Question. For a normal eye, the far point is at infinity and the near point of distinct vision is about 25cm in front of the eye. The cornea of the eye provides a converging power of about 40 dioptres, and the least converging power of the eye-lens behind the cornea is about 20 dioptres. From this rough data estimate the range of accommodation (i.e., the range of converging power of the eye-lens) of a normal eye.
Answer : Least distance of distinct vision, d = 25 cm
Far point of a normal eye, d′ = 
Converging power of the cornea, Pc = 40D
Least converging power of the eye-lens, Pc = 20D 
To see the objects at infinity, the eye uses its least converging power. 
Power of the eye-lens, P = Pc + Pe = 40 + 20 = 60 D
Power of the eye-lens is given as:

""NCERT-Solutions-Class-12-Physics-Chapter-9-Ray-Optics-And-Optical-Instruments-22

To focus an object at the near point, object distance (u) = −d = −25 cm
Focal length of the eye-lens = Distance between the cornea and the retina
= Image distance v = 5/3 cm
Hence, image distance,
According to the lens formula, we can write:

""NCERT-Solutions-Class-12-Physics-Chapter-9-Ray-Optics-And-Optical-Instruments-23

∴ Power of the eye-lens = 64 − 40 = 24 D
Hence, the range of accommodation of the eye-lens is from 20 D to 24 D.

Question. Does short-sightedness (myopia) or long-sightedness (hypermetropia) imply necessarily that the eye has partially lost its ability of accommodation? If not, what might cause these defects of vision?
Answer : The eye-lens is normally accommodated by a person undergoing through myopia or hypermetropia. When the eye-balls get elongated from front to back is when Myopia starts occuring. Hypermetropia, on the other hand occurs when the eye-balls get shortened. When the eye-lens loses its ability of accommodation, the defect is called presbyopia.

Question. A myopic person has been using spectacles of power −1.0 dioptre for distant vision. During old age he also needs to use separate reading glass of power + 2.0 dioptres. Explain what may have happened.
Answer : The power of the spectacles used by the myopic person, P = −1.0 D
Focal length of the spectacles,
 f = 1/P = 1/-1 x 10-2 = -100cm
Hence, the far point of the person is 100 cm. He might have a normal near point of 25 cm. When he uses the spectacles, the objects placed at infinity produce virtual images at 100 cm. He uses the ability of accommodation of the eye-lens to see the objects placed between 100 cm and 25 cm.During old age, the person uses reading glasses of power, P′ = + 2D
The ability of accommodation is lost in old age. This defect is called presbyopia. As a result, he is unable to see clearly the objects placed at 25 cm.

Question. A person looking at a person wearing a shirt with a pattern comprising vertical and horizontal lines is able to see the vertical lines more distinctly than the horizontal ones. What is this defect due to? How is such a defect of vision corrected?
Answer : In the given case, the person is able to see vertical lines more distinctly than horizontal lines. This means that the refracting system (cornea and eye-lens) of the eye is not working in the same way in different planes. This defect is called astigmatism. The person’s eye has enough curvature in the vertical plane. However, the curvature in the horizontal plane is insufficient. Hence, sharp images of the vertical lines are formed on the retina, but horizontal lines appear blurred. This defect can be corrected by using cylindrical lenses.

Question. A man with normal near point (25 cm) reads a book with small print using a magnifying glass: a thin convex lens of focal length 5 cm.
(a) What is the closest and the farthest distance at which he should keep the lens from the page so that he can read the book when viewing through the magnifying glass?
(b) What is the maximum and the minimum angular magnification (magnifying power) possible using the above simple microscope?

Answer : (a) Focal length of the magnifying glass, f = 5 cm
Least distance of distance vision, d = 25 cm
Closest object distance = u
Image distance, v = −d = −25 cm
According to the lens formula, we have:

""NCERT-Solutions-Class-12-Physics-Chapter-9-Ray-Optics-And-Optical-Instruments-20

Hence, the closest distance at which the person can read the book is 4.167 cm.
For the object at the farthest distant (u’), the image distance (V′) = ∝ 
According to the lens formula, we have:

Question. A card sheet divided into squares each of size 1 mm2 is being viewed at a distance of 9 cm through a magnifying glass (a converging lens of focal length 9 cm) held close to the eye. 
(a) What is the magnification produced by the lens? How much is the area of each square in the virtual image?
(b) What is the angular magnification (magnifying power) of the lens?
(c) Is the magnification in (a) equal to the magnifying power in (b)?
Explain.

Answer : Note : Here we took focal Length as 10 cm because if we take it as 9 cm then image distance will be zero ,which does not make any sense.
(a) Area of each square, A = 1 mm2
Object distance, u = −9 cm
Focal length of a converging lens, f =  9 cm
For image distance v, the lens formula can be written as:

""NCERT-Solutions-Class-12-Physics-Chapter-9-Ray-Optics-And-Optical-Instruments-18

""NCERT-Solutions-Class-12-Physics-Chapter-9-Ray-Optics-And-Optical-Instruments-19

The two quantities will be equal when the image is formed at the near point (25 cm).

Question. (a) At what distance should the lens be held from the figure in Exercise 9.29 in order to view the squares distinctly with the maximum possible magnifying power?
(b) What is the magnification in this case?
(c) Is the magnification equal to the magnifying power in this case?
Explain.

Answer : (a) The maximum possible magnification is obtained when the image is formed at the near point (d = 25 cm).
Image distance, v = −d = −25 cm
Focal length, f = 10 cm
Object distance = u
According to the lens formula, we have:

""NCERT-Solutions-Class-12-Physics-Chapter-9-Ray-Optics-And-Optical-Instruments-16

Hence, to view the squares distinctly, the lens should be kept 7.14 cm away from them.

""NCERT-Solutions-Class-12-Physics-Chapter-9-Ray-Optics-And-Optical-Instruments-17

Since the image is formed at the near point (25 cm), the magnifying power is equal to the magnitude of magnification.

Question. What should be the distance between the object in Exercise 9.30 and the magnifying glass if the virtual image of each square in the figure is to have an area of 6.25 mm2. Would you be able to see the squares distinctly with your eyes very close to the magnifier?
[Note: Exercises 9.29 to 9.31 will help you clearly understand the difference between magnification in absolute size and the angular magnification (or magnifying power) of an instrument.]

Answer : Area of the virtual image of each square, A = 6.25 mm2
Area of each square, A0 = 1 mm2
Hence, the linear magnification of the object can be calculated as:

""NCERT-Solutions-Class-12-Physics-Chapter-9-Ray-Optics-And-Optical-Instruments-15

The virtual image is formed at a distance of 15 cm, which is less than the near point (i.e., 25 cm) of a normal eye. Hence, it cannot be seen by the eyes distinctly.

Question. Answer the following questions:
(a) The angle subtended at the eye by an object is equal to the angle subtended at the eye by the virtual image produced by a magnifying glass. In what sense then does a magnifying glass provide angular magnification?
(b) In viewing through a magnifying glass, one usually positions one’s eyes very close to the lens. Does angular magnification change if the eye is moved back?
(c) Magnifying power of a simple microscope is inversely proportional to the focal length of the lens. What then stops us from using a convex lens of smaller and smaller focal length and achieving greater and greater magnifying power?
(d) Why must both the objective and the eyepiece of a compound microscope have short focal lengths?
(e) When viewing through a compound microscope, our eyes should be positioned not on the eyepiece but a short distance away from it for best viewing. Why? How much should be that short distance between the eye and eyepiece?

Answer : (a)Though the image size is bigger than the object, the angular size of the image is equal to the angular size of the object. A magnifying glass helps one see the objects placed closer than the least distance of distinct vision (i.e., 25 cm). A closer object causes a larger angular size. A magnifying glass provides angular magnification. Without magnification, the object cannot be placed closer to the eye. With magnification, the object can be placed much closer to the eye.
(b) Yes, the angular magnification changes. When the distance between the eye and a magnifying glass is increased, the angular magnification decreases a little. This is because the angle subtended at the eye is slightly less than the angle subtended at the lens. Image distance does not have any effect on angular magnification.
(c) The focal length of a convex lens cannot be decreased by a greater amount. This is because making lenses having very small focal lengths is not easy. Spherical and chromatic aberrations are produced by a convex lens having a very small focal length.
(d) The angular magnification produced by the eyepiece of a compound microscope

""NCERT-Solutions-Class-12-Physics-Chapter-9-Ray-Optics-And-Optical-Instruments-12

Where,
fe = Focal length of the eyepiece
It can be inferred that if fe is small, then angular magnification of the eyepiece will be large.
The angular magnification of the objective lens of a compound microscope is given as

""NCERT-Solutions-Class-12-Physics-Chapter-9-Ray-Optics-And-Optical-Instruments-13

Where,
uo = Object distance for the objective lens
fo = Focal length of the objective
The magnification is large when uo > fo. In the case of a microscope, the object is kept close to the objective lens. Hence, the object distance is very little. Since uis small, fwill be even smaller. Therefore, fe and fare both small in the given condition.
(e) When we place our eyes too close to the eyepiece of a compound microscope, we are unable to collect much refracted light. As a result, the field of view decreases substantially. Hence, the clarity of the image gets blurred.
The best position of the eye for viewing through a compound microscope is at the eye-ring attached to the eyepiece. The precise location of the eye depends on the separation between the objective lens and the eyepiece.

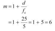
Question. An angular magnification (magnifying power) of 30X is desired using an objective of focal length 1.25 cm and an eyepiece of focal length 5 cm. How will you set up the compound microscope?
Answer : Focal length of the objective lens fo, = 1.25 cm
Focal length of the eyepiece, fe = 5 cm
Least distance of distinct vision, d = 25 cm
Angular magnification of the compound microscope = 30X
Total magnifying power of the compound microscope, m = 30
The angular magnification of the eyepiece is given by the relation:

""NCERT-Solutions-Class-12-Physics-Chapter-9-Ray-Optics-And-Optical-Instruments-10

The object should be placed 1.5 cm away from the objective lens to obtain the desired magnification.
Applying the lens formula for the eyepiece:

""NCERT-Solutions-Class-12-Physics-Chapter-9-Ray-Optics-And-Optical-Instruments-11

Separation between the objective lens and the eyepiece = │ue│+ │Vo
= 4.17 + 7.5
= 11.67 cm
Therefore, the separation between the objective lens and the eyepiece should be 11.67 cm.

Question. A small telescope has an objective lens of focal length 140 cm and an eyepiece of focal length 5.0 cm. What is the magnifying power of the telescope for viewing distant objects when
(a) the telescope is in normal adjustment (i.e., when the final image is at infinity)?
(b) the final image is formed at the least distance of distinct vision (25 cm)?

Answer : Focal length of the objective lens, fo = 140 cm
Focal length of the eyepiece, fe = 5 cm
Least distance of distinct vision, d = 25 cm
(a) When the telescope is in normal adjustment, its magnifying power is given as:

""NCERT-Solutions-Class-12-Physics-Chapter-9-Ray-Optics-And-Optical-Instruments-9

Question. (a) For the telescope described in Exercise 9.34 (a), what is the separation between the objective lens and the eyepiece?
(b) If this telescope is used to view a 100 m tall tower 3 km away, what is the height of the image of the tower formed by the objective lens?
(c) What is the height of the final image of the tower if it is formed at 25 cm?

Answer : Focal length of the objective lens, fo = 140 cm
Focal length of the eyepiece, fe = 5 cm
(a) In normal adjustment, the separation between the objective lens and the eyepiece = fa + fe = 140 + 5 = 145 cm
(b) Height of the tower, h1 = 100 m
Distance of the tower (object) from the telescope, u = 3 km = 3000 m
The angle subtended by the tower at the telescope is given as:

""NCERT-Solutions-Class-12-Physics-Chapter-9-Ray-Optics-And-Optical-Instruments-7

Therefore, the objective lens forms a 4.7 cm tall image of the tower.
(c) Image is formed at a distance, d = 25 cm
The magnification of the eyepiece is given by the relation:

""NCERT-Solutions-Class-12-Physics-Chapter-9-Ray-Optics-And-Optical-Instruments-8

Height of the final image mh2 = 6 x 4.7 = 28.2 cm
Hence, the height of the final image of the tower is 28.2 cm.

Question. A Cassegrain telescope uses two mirrors as shown in Fig. 9.33. Such a telescope is built with the mirrors 20 mm apart. If the radius of curvature of the large mirror is 220 mm and the small mirror is 140 mm, where will the final image of an object at infinity be?
Answer : The following figure shows a Cassegrain telescope consisting of a concave mirror and a convex mirror.

""NCERT-Solutions-Class-12-Physics-Chapter-9-Ray-Optics-And-Optical-Instruments-5

Distance between the objective mirror and the secondary mirror, d = 20 mm
Radius of curvature of the objective mirror, R1 = 220 mm
Hence, focal length of the objective mirror, f1 = R1/2 = 110mm
Radius of curvature of the secondary mirror, R1 = 140 mm
Hence, focal length of the secondary mirror, f1 = R2/2 = 140/2 = 70mm
The image of an object placed at infinity, formed by the objective mirror, will act as a
virtual object for the secondary mirror.
Hence, the virtual object distance for the secondary mirror,  u = f1 - d
= 110 - 20
= 90 mm
Applying the mirror formula for the secondary mirror, we can calculate image distance (v)as:

""NCERT-Solutions-Class-12-Physics-Chapter-9-Ray-Optics-And-Optical-Instruments-6

Hence, the final image will be formed 315 mm away from the secondary mirror.

Question. Light incident normally on a plane mirror attached to a galvanometer coil retraces backwards as shown in Fig. 9.36. A current in the coil produces a deflection of 3.5° of the mirror. What is the displacement of the reflected spot of light on a screen placed 1.5 m away?

""NCERT-Solutions-Class-12-Physics-Chapter-9-Ray-Optics-And-Optical-Instruments-4

Answer : Angle of deflection, θ = 3.5°
Distance of the screen from the mirror, D = 1.5 m
The reflected rays get deflected by an amount twice the angle of deflection i.e., 2θ = 7.0°
The displacement (d) of the reflected spot of light on the screen is given as:
tan 2θ = d/1.5
∴ d = 1.5 x tan 7o = 0.184 m = 18.4 cm
Hence, the displacement of the reflected spot of light is 18.4 cm.

Question. Figure 9.37 shows an equiconvex lens (of refractive index 1.50) in contact with a liquid layer on top of a plane mirror. A small needle with its tip on the principal axis is moved along the axis until its inverted image is found at the position of the needle. The distance of the needle from the lens is measured to be 45.0 cm. The liquid is removed and the experiment is repeated. The new distance is measured to be 30.0 cm. What is the refractive index of the liquid?

""NCERT-Solutions-Class-12-Physics-Chapter-9-Ray-Optics-And-Optical-Instruments

Answer : Focal length of the convex lens, f1 = 30 cm
The liquid acts as a mirror. Focal length of the liquid = f2
Focal length of the system (convex lens + liquid), f = 45 cm
For a pair of optical systems placed in contact, the equivalent focal length is given as:

""NCERT-Solutions-Class-12-Physics-Chapter-9-Ray-Optics-And-Optical-Instruments-1

Let the refractive index of the lens be µand the radius of curvature of one surface be R. Hence, the radius of curvature of the other surface is −R. R can be obtained using the relation:

""NCERT-Solutions-Class-12-Physics-Chapter-9-Ray-Optics-And-Optical-Instruments-2

Let µbe the refractive index of the liquid.
Radius of curvature of the liquid on the side of the plane mirror = ∝
Radius of curvature of the liquid on the side of the lens, R = −30 cm
The value of µcan be calculated using the relation:

""NCERT-Solutions-Class-12-Physics-Chapter-9-Ray-Optics-And-Optical-Instruments-3

Hence, the refractive index of the liquid is 1.33.

NCERT Solutions Class 12 Physics Chapter 9 Ray Optics And Optical Instruments

Students can now access the NCERT Solutions for Chapter 9 Ray Optics And Optical Instruments prepared by teachers on our website. These solutions cover all questions in exercise in your Class 12 Physics textbook. Each answer is updated based on the current academic session as per the latest NCERT syllabus.

Detailed Explanations for Chapter 9 Ray Optics And Optical Instruments

Our expert teachers have provided step-by-step explanations for all the difficult questions in the Class 12 Physics chapter. Along with the final answers, we have also explained the concept behind it to help you build stronger understanding of each topic. This will be really helpful for Class 12 students who want to understand both theoretical and practical questions. By studying these NCERT Questions and Answers your basic concepts will improve a lot.

Benefits of using Physics Class 12 Solved Papers

Using our Physics solutions regularly students will be able to improve their logical thinking and problem-solving speed. These Class 12 solutions are a guide for self-study and homework assistance. Along with the chapter-wise solutions, you should also refer to our Revision Notes and Sample Papers for Chapter 9 Ray Optics And Optical Instruments to get a complete preparation experience.

Where can I find the latest [current-page:node:field_title] for the 2025-26 session?

The complete and updated is available for free on StudiesToday.com. These solutions for Class 12 Physics are as per latest NCERT curriculum.

Are the Physics NCERT solutions for Class 12 updated for the new 50% competency-based exam pattern?

Yes, our experts have revised the as per 2026 exam pattern. All textbook exercises have been solved and have added explanation about how the Physics concepts are applied in case-study and assertion-reasoning questions.

How do these Class 12 NCERT solutions help in scoring 90% plus marks?

Toppers recommend using NCERT language because NCERT marking schemes are strictly based on textbook definitions. Our will help students to get full marks in the theory paper.

Do you offer [current-page:node:field_title] in multiple languages like Hindi and English?

Yes, we provide bilingual support for Class 12 Physics. You can access in both English and Hindi medium.

Is it possible to download the Physics NCERT solutions for Class 12 as a PDF?

Yes, you can download the entire in printable PDF format for offline study on any device.