NCERT Solutions Class 8 Mathematics Chapter 9 Algebraic expressions and identities

Get the most accurate NCERT Solutions for Class 8 Mathematics Chapter 9 Algebraic expressions and identities here. Updated for the 2025-26 academic session, these solutions are based on the latest NCERT textbooks for Class 8 Mathematics. Our expert-created answers for Class 8 Mathematics are available for free download in PDF format.

Detailed Chapter 9 Algebraic expressions and identities NCERT Solutions for Class 8 Mathematics

For Class 8 students, solving NCERT textbook questions is the most effective way to build a strong conceptual foundation. Our Class 8 Mathematics solutions follow a detailed, step-by-step approach to ensure you understand the logic behind every answer. Practicing these Chapter 9 Algebraic expressions and identities solutions will improve your exam performance.

Class 8 Mathematics Chapter 9 Algebraic expressions and identities NCERT Solutions PDF

Exercise 9.1

Q.1) Identify the terms, their coefficients for each of the following expressions:
i) 5𝑥𝑦𝑧2 − 3𝑧𝑦 ii) 1 + 𝑥 + 𝑥2 iii) 4𝑥2𝑦2 − 4𝑥2𝑦2𝑧2 + 𝑧2
iv) 3 − 𝑝𝑞 + 𝑞𝑟 − 𝑟𝑝   v) 𝑥/2 + 𝑦/2 − 𝑥𝑦 vi) 0.3𝑎 − 06𝑎𝑏 + 0.5𝑏
Sol.1) I) Terms : 5𝑥𝑦𝑧2 And −3𝑧𝑦
Coefficient in 5𝑥𝑦𝑧2 Is 5 and in −3𝑧𝑦 is −3.
ii) terms : 1, 𝑥 and 𝑥2
Coefficient of 𝑥 and coefficient of 𝑥2 in 1.
iii) terms : 4𝑥2𝑦2, −4𝑥2𝑦2𝑧2 and 𝑧2
Coefficient in 4𝑥2𝑦2 is 4, coefficient of −4𝑥2𝑦2𝑧2 is −4 and coefficient of 𝑧2 is 1.
iv) terms : 3, −𝑝𝑞, 𝑞𝑟, −𝑟𝑝
Coefficient of – 𝑝𝑞 is −1, coeficient of 𝑞𝑟 is 1 and coefficient of – 𝑟𝑝 is −1.
v) terms: 𝑥/2, 𝑦/2 and – 𝑥𝑦 
coefficient of 𝑥/2 is 1/2, coefficient of 𝑦/2 is −1 and coefficient of – 𝑥𝑦 is −1
vi) Terms: 0.3𝑎, −06𝑎𝑏 and 0.5𝑏
coefficient of 0.3𝑎 is 0.3, coeficient of −0.6𝑎𝑏 is −0.6 and coefficient of 0.5𝑏 is 0.5.

Q.2) Classify the following polynomials as monomials, binomials, trinomials. Which polynomials do not fit in any of these three categories:
i) 𝑥 + 𝑦 ii) 1000 iii) 𝑥 + 𝑥2 + 𝑥3 + 𝑥4 iv) 7 + 𝑦 + 5𝑥
v) 2𝑦 – 3𝑦2 vi) 2𝑦 – 3𝑦2 + 4𝑦3 vii) 5𝑥 – 4𝑦 + 3𝑥𝑦 viii) 4𝑧 – 15𝑧2
ix) 𝑎𝑏 + 𝑏𝑐 + 𝑐𝑑 + 𝑑𝑎 x) 𝑝𝑞𝑟 xi) 𝑝2𝑞 + 𝑝𝑞2 xii) 2𝑝 + 2𝑞
Sol.2) (i) Since 𝑥 + 𝑦 contains two terms. Therefore it is binomial.
(ii) Since 1000 contains one term. Therefore it is monomial.
(iii) Since 𝑥 + 𝑥2 + 𝑥3 + 𝑥4 contains four terms. Therefore it is a polynomial and it does not fit in above three categories.
(iv) Since 7 + 𝑦 + 5𝑥 contains three terms. Therefore it is trinomial.
(v) Since 2𝑦 – 3𝑦2 contains two terms. Therefore it is binomial.
(vi) Since 2𝑦 – 3𝑦2 + 4𝑦3 contains three terms. Therefore it is trinomial.
(vii) Since 5𝑥 – 4𝑦 + 3𝑥𝑦 contains three terms. Therefore it is trinomial.
(viii) Since 4𝑧 – 15𝑧2 contains two terms. Therefore it is binomial. -415 x z
(ix) Since 𝑎𝑏 + 𝑏𝑐 + 𝑐𝑑 + 𝑑𝑎 contains four terms. Therefore it is a polynomial and it does not fit in above three categories.
(x) Since 𝑝𝑞𝑟 contains one term. Therefore it is monomial.
(xi) Since 𝑝2𝑞 + 𝑝𝑞2 contains two terms. Therefore it is binomial.
(xii) Since 2𝑝 + 2𝑞 contains two terms. Therefore it is binomial.

Q.3) Add the following.
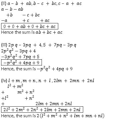
(i) 𝑎𝑏 – 𝑏𝑐, 𝑏𝑐 – 𝑐𝑎, 𝑐𝑎 – 𝑎𝑏 (ii) 𝑎 – 𝑏 + 𝑎𝑏, 𝑏 – 𝑐 + 𝑏𝑐, 𝑐 – 𝑎 + 𝑎𝑐

(iii) 2𝑝 𝑞 – 3𝑝𝑞 + 4, 5 + 7𝑝𝑞 – 3𝑝 𝑞 (iv) 𝑙 + 𝑚 , 𝑚 + 𝑛 , 𝑛 + 𝑙 , 2𝑙𝑚 + 2𝑚𝑛 + 2𝑛𝑙
Sol.3) (i) 𝑎𝑏 – 𝑏𝑐, 𝑏𝑐 – 𝑐𝑎, 𝑐𝑎 – 𝑎𝑏
𝑎𝑏 − 𝑏𝑐
+𝑏𝑐 − 𝑐𝑎
−𝑎𝑏 + 𝑐𝑎
0 + 0 + 0
Hence, the sum is 0.

""NCERT-Solutions-Class-8-Mathematics-Algebraic-expressions-and-identities-2

Q.4) (a) Subtract 4𝑎 − 7𝑎𝑏 + 3𝑏 + 12 from 12𝑎 − 9𝑎𝑏 + 5𝑏 − 3
(b) Subtract 3𝑥𝑦 + 5𝑦𝑧 − 7𝑧𝑥 from 5𝑥𝑦 − 2𝑦𝑧 − 2𝑧𝑥 + 10𝑥𝑦𝑧
(c) Subtract 4𝑝2𝑞 − 3𝑝𝑞 + 5𝑝𝑞2 − 8𝑝 + 7𝑞 − 10 from 18 − 3𝑝 − 11𝑞 + 5𝑝𝑞 − 2𝑝𝑞2 + 5𝑝2𝑞
Sol.4)

""NCERT-Solutions-Class-8-Mathematics-Algebraic-expressions-and-identities-3

Exercise 9.2

Q.1) Find the product of the following pairs of monomials:
(i) 4 , 7𝑝 (ii) – 4𝑝, 7𝑝 (iii) −4𝑝, 7𝑝𝑞 (iv) 4𝑝3, −3𝑝 (v) 4𝑝, 0
Sol.1) (i) 4 , 7𝑝
4 × 7 𝑝 = 28𝑝
(ii) – 4𝑝, 7𝑝
4𝑝 × 7𝑝 = −28𝑝2
(iii) −4𝑝, 7𝑝𝑞
4𝑝 × 7𝑝𝑞 = −28𝑝2𝑞
(iv) 4𝑝3, −3𝑝
4𝑝3𝑞 × − 3𝑝 = −12𝑝4𝑞
(v) 4𝑝, 0
4𝑝 × 0 = 0

Q.2) Find the areas of rectangles with the following pairs of monomials as their lengths and breadths respectively: 
(𝑝, 𝑞); (10𝑚, 5𝑛); (20𝑥2, 5𝑦2); (4𝑥, 3𝑥2); (3𝑚𝑛, 4𝑛𝑝)
Sol.2) Area = Length × breadth
(i) 𝑝 × 𝑞 = 𝑝𝑞
(ii) 10𝑚 × 5𝑛 = 50𝑚𝑛
(iii) 20𝑥2 × 5𝑦2 = 100𝑥2𝑦2
(iv) 4𝑥 × 3𝑥2 = 12𝑥3
(v) 3𝑚𝑛 × 4𝑛𝑝 = 12𝑚𝑛2𝑝

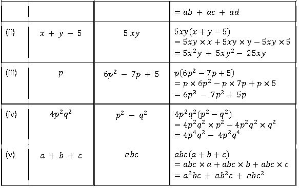
Q.3) Complete the following table of products:

""NCERT-Solutions-Class-8-Mathematics-Algebraic-expressions-and-identities-4

Q.4) Obtain the volume of rectangular boxes with the following length, breadth and height respectively.
(i) 5𝑎, 3𝑎2, 7𝑎4 (ii) 2𝑝, 4𝑞, 8𝑟 (iii) 𝑥𝑦, 2𝑥2𝑦, 2𝑥𝑦2 (iv) 𝑎, 2𝑏, 3𝑐
Sol.4) We know that,
Volume = Length × Breadth × Height
(i) Volume = 5𝑎 × 3𝑎2 × 7𝑎4 = 5 × 3 × 7 × 𝑎 × 𝑎2 × 𝑎4 = 105 𝑎7
(ii) Volume = 2𝑝 × 4𝑞 × 8𝑟 = 2 × 4 × 8 × 𝑝 × 𝑞 × 𝑟 = 64𝑝𝑞𝑟
(iii) Volume = 𝑥𝑦 × 2𝑥2𝑦 × 2𝑥𝑦2 = 2 × 2 × 𝑥𝑦 × 𝑥2𝑦 × 𝑥𝑦2 = 4𝑥4𝑦4
(iv) Volume = 𝑎 × 2𝑏 × 3𝑐 = 2 × 3 × 𝑎 × 𝑏 × 𝑐 = 6𝑎𝑏𝑐

Q.5) Obtain the product of
(i) 𝑥𝑦, 𝑦𝑧, 𝑧𝑥 (ii) 𝑎, − 𝑎2, 𝑎3 (iii) 2, 4𝑦, 8𝑦2, 16𝑦3
(iv) 𝑎, 2𝑏, 3𝑐, 6𝑎𝑏𝑐 (v) 𝑚, − 𝑚𝑛, 𝑚𝑛𝑝
Sol.5) (i) 𝑥𝑦 × 𝑦𝑧 × 𝑧𝑥 = 𝑥2𝑦2𝑧2
(ii) 𝑎 × (− 𝑎2) × 𝑎3 = − 𝑎6
(iii) 2 × 4𝑦 × 8𝑦× 16𝑦3 = 2 × 4 × 8 × 16 × 𝑦 × 𝑦2 × 𝑦3 = 1024 𝑦6
(iv) 𝑎 × 2𝑏 × 3𝑐 × 6𝑎𝑏𝑐 = 2 × 3 × 6 × 𝑎 × 𝑏 × 𝑐 × 𝑎𝑏𝑐 = 36𝑎2 𝑏2𝑐2
(v) 𝑚 × (− 𝑚𝑛) × 𝑚𝑛𝑝 = − 𝑚3𝑛2𝑝

Exercise 9.3

Q.1) Carry out the multiplication of the expressions in each of the following pairs.
(i) 4𝑝, 𝑞 + 𝑟 (ii) 𝑎𝑏, 𝑎 − 𝑏 (iii) 𝑎 + 𝑏, 7𝑎2𝑏2
(iv) 𝑎2 – 9, 4𝑎 (v) 𝑝𝑞 + 𝑞𝑟 + 𝑟𝑝, 0
Sol.1) (i) (4𝑝) × (𝑞 + 𝑟) = (4𝑝 × 𝑞) + (4𝑝 × 𝑟) = 4𝑝𝑞 + 4𝑝𝑟
(ii) (𝑎𝑏) × (𝑎 − 𝑏) = (𝑎𝑏 × 𝑎) + [𝑎𝑏 × (− 𝑏)] = 𝑎2𝑏 − 𝑎𝑏2
(iii) (𝑎 + 𝑏) × (7𝑎2 𝑏2) = (𝑎 × 7𝑎2 𝑏2) + (𝑏 × 7𝑎2 𝑏2) = 7𝑎3𝑏2 + 7𝑎2𝑏3
(iv) (𝑎2 − 9) × (4𝑎) = (𝑎2 × 4𝑎) + (− 9) × (4𝑎) = 4𝑎3 − 36𝑎
(v) (𝑝𝑞 + 𝑞𝑟 + 𝑟𝑝) × 0 = (𝑝𝑞 × 0) + (𝑞𝑟 × 0) + (𝑟𝑝 × 0) = 0

Q.2) Complete the table

""NCERT-Solutions-Class-8-Mathematics-Algebraic-expressions-and-identities-5

""NCERT-Solutions-Class-8-Mathematics-Algebraic-expressions-and-identities-6

""NCERT-Solutions-Class-8-Mathematics-Algebraic-expressions-and-identities-7

Q.4) (a) Simplify 3𝑥 (4𝑥 − 5) + 3 and find its values for (i) 𝑥 = 3, (ii) 𝑥 = 1/2
(b) 𝑎 (𝑎2 + 𝑎 + 1) + 5 and find its values for (i) 𝑎 = 0, (ii) 𝑎 = 1, (iii) 𝑎 = − 1.
Sol.4) (a) 3𝑥 (4𝑥 − 5) + 3 = 12𝑥2 − 15𝑥 + 3
(i) For 𝑥 = 3, 12𝑥2 − 15𝑥 + 3 = 12 (3)2 − 15(3) + 3
= 108 − 45 + 3
= 66
(ii) For 𝑥 = 1/2, 12𝑥2 − 15𝑥 + 3 = 12 (1/2)2 − 15 (1/2) + 3 
= 6 − 15/2
= 12 − 15/2 = −3/2

(b) 𝑎 (𝑎2 + 𝑎 + 1) + 5 = 𝑎3 + 𝑎2 + 𝑎 + 5
(i) For 𝑎 = 0, 𝑎3 + 𝑎2 + 𝑎 + 5 = 0 + 0 + 0 + 5 = 5
(ii) For 𝑎 = 1, 𝑎3 + 𝑎2 + 𝑎 + 5 = (1)3 + (1)2 + 1 + 5
= 1 + 1 + 1 + 5 = 8
(iii) For 𝑎 = −1, 𝑎3 + 𝑎2 + 𝑎 + 5 = (−1)3 + (−1)2 + (−1) + 5
= − 1 + 1 − 1 + 5 = 4

Q.5) (a) Add: 𝑝 (𝑝 − 𝑞), 𝑞 (𝑞 − 𝑟) and 𝑟 (𝑟 − 𝑝)
(b) Add: 2𝑥 (𝑧 − 𝑥 − 𝑦) and 2𝑦 (𝑧 − 𝑦 − 𝑥)
(c) Subtract: 3𝑙 (𝑙 − 4𝑚 + 5𝑛) from 4𝑙 (10𝑛 − 3𝑚 + 2𝑙)
(d) Subtract: 3𝑎 (𝑎 + 𝑏 + 𝑐) − 2𝑏 (𝑎 − 𝑏 + 𝑐) from 4𝑐 (− 𝑎 + 𝑏 + 𝑐)
Sol.5) a) 𝑝(𝑝 − 𝑞) + 𝑞(𝑞 − 𝑟) + 𝑟(𝑟 − 𝑝)
= 𝑝2 − 𝑝𝑞 + 𝑞2 − 𝑞𝑟 + 𝑟2 − 𝑟𝑝
= 𝑝2 + 𝑞2 + 𝑟2 − 𝑝𝑞 − 𝑞𝑟 − 𝑟𝑝

b) 2𝑥(𝑧 − 𝑥 − 𝑦) + 2𝑦(𝑧 − 𝑦 − 𝑥)
= 2𝑥𝑧 − 2𝑥2 − 2𝑥𝑦 + 2𝑦𝑧 − 2𝑦2 − 2𝑥𝑦
= 2𝑥𝑧 − 2𝑥𝑦 − 2𝑥𝑦 + 2𝑦𝑧 − 2𝑥2 − 2𝑦2
= −2𝑥2 − 2𝑦2 − 4𝑥𝑦 + 2𝑦𝑧 + 2𝑧𝑥

c) 4𝑙 (10𝑛 − 3𝑚 + 2𝑙) − 3𝑙 (𝑙 – 4𝑚 + 5𝑛)
= 40𝑙𝑛 − 12𝑙𝑚 + 8𝑙2 − 3𝑙2 + 12𝑙𝑚 − 15𝑙𝑛
= 8𝑙2 − 3𝑙2 − 12𝑙𝑚 + 12𝑙𝑚 + 40𝑙𝑛 − 15𝑙𝑛
= 5𝑙2 + 25𝑙𝑛

d) 4𝑐(−𝑎 + 𝑏 + 𝑐) − [3𝑎(𝑎 + 𝑏 + 𝑐) − 2𝑏(𝑎 − 𝑏 + 𝑐)]
= −4𝑎𝑐 + 4𝑏𝑐 + 4𝑐2 − [3𝑎2 + 3𝑎𝑏 + 3𝑎𝑐 − 2𝑎𝑏 + 2𝑏2 − 2𝑏𝑐
= −4𝑎𝑐 + 4𝑏𝑐 + 4𝑐2 − [3𝑎2 + 2𝑏2 + 3𝑎𝑏 − 2𝑏𝑐 + 3𝑎𝑐 − 2𝑎𝑏]
= −4𝑎𝑐 + 4𝑏𝑐 + 4𝑐2 − [3𝑎2 + 2𝑏2 + 𝑎𝑏 + 3𝑎𝑐 − 2𝑏𝑐]
= −4𝑎𝑐 + 4𝑏𝑐 + 4𝑐2 − 3𝑎2 − 2𝑏2 − 𝑎𝑏 − 3𝑎𝑐 + 2𝑏𝑐
= −3𝑎2 − 2𝑏2 + 4𝑐2 − 𝑎𝑏 + 4𝑏𝑐 + 2𝑏𝑐 − 4𝑎𝑐 − 3𝑎𝑐
= −3𝑎2 − 2𝑏2 + 4𝑐2 − 𝑎𝑏 + 6𝑏𝑐 − 7𝑎𝑐

Exercise 9.4

Q.1) Multiply the binomials.
(i) (2𝑥 + 5) and (4𝑥 − 3) (ii) (𝑦 − 8) and (3𝑦 − 4)
(iii) (2.5𝑙 − 0.5𝑚) and (2.5𝑙 + 0.5𝑚) (iv) (𝑎 + 3𝑏) and (𝑥 + 5)
(v) (2𝑝𝑞 + 3𝑞2)and (3𝑝𝑞 − 2𝑞2) (vi) (3/4 𝑎2 + 3𝑏2) and 4 (𝑎2 −2/3 𝑏2)
Sol.1) (i) (2𝑥 + 5) × (4𝑥 − 3)
= 2𝑥 × (4𝑥 − 3) + 5 × (4𝑥 − 3)
= 8𝑥2 − 6𝑥 + 20𝑥 − 15
= 8𝑥2 + 14𝑥 − 15                 (By adding like terms)

(ii) (𝑦 − 8) × (3𝑦 − 4)
= 𝑦 × (3𝑦 − 4) − 8 × (3𝑦 − 4)
= 3𝑦2 − 4𝑦 − 24𝑦 + 32
= 3𝑦2 − 28𝑦 + 32                  (By adding like terms)

(iii) (2.5𝑙 − 0.5𝑚) × (2.5𝑙 + 0.5𝑚)
= 2.5𝑙 × (2.5𝑙 + 0.5𝑚) − 0.5𝑚 (2.5𝑙 + 0.5𝑚)
= 6.25𝑙2 + 1.25𝑙𝑚 − 1.25𝑙𝑚 − 0.25𝑚2
= 6.25𝑙− 0.25𝑚2

(iv) (𝑎 + 3𝑏) × (𝑥 + 5)
= 𝑎 × (𝑥 + 5) + 3𝑏 × (𝑥 + 5)
= 𝑎𝑥 + 5𝑎 + 3𝑏𝑥 + 15𝑏

(v) (2𝑝𝑞 + 3𝑞2) × (3𝑝𝑞 − 2𝑞2)
= 2𝑝𝑞 × (3𝑝𝑞 − 2𝑞2) + 3𝑞2 × (3𝑝𝑞 − 2𝑞2)
= 6𝑝2𝑞2 − 4𝑝𝑞3 + 9𝑝𝑞3 − 6𝑞4
= 6𝑝2𝑞2 + 5𝑝𝑞2 − 6𝑞4

Q.2) Find the product.
(i) (5 − 2𝑥) (3 + 𝑥) (ii) (𝑥 + 7𝑦) (7𝑥 − 𝑦)
(iii) (𝑎2 + 𝑏) (𝑎 + 𝑏2) (iv) (𝑝2 − 𝑞2) (2𝑝 + 𝑞)
Sol.2) (i) (5 − 2𝑥) (3 + 𝑥)
= 5 (3 + 𝑥) − 2𝑥 (3 + 𝑥)
= 15 + 5𝑥 − 6𝑥 − 2𝑥2
= 15 − 𝑥 − 2𝑥2

(ii) (𝑥 + 7𝑦) (7𝑥 − 𝑦)
= 𝑥 (7𝑥 − 𝑦) + 7𝑦 (7𝑥 − 𝑦)
= 7𝑥2 − 𝑥𝑦 + 49𝑥𝑦 − 7𝑦2
= 7𝑥2 + 48𝑥𝑦 − 7𝑦2

(iii) (𝑎2 + 𝑏) (𝑎 + 𝑏2)
= 𝑎2(𝑎 + 𝑏2) + 𝑏 (𝑎 + 𝑏2)
= 𝑎3 + 𝑎2𝑏2 + 𝑎𝑏 + 𝑏3

(iv) (𝑝2 − 𝑞2) (2𝑝 + 𝑞)
= 𝑝2(2𝑝 + 𝑞) − 𝑞2(2𝑝 + 𝑞)
= 2𝑝3 + 𝑝2𝑞 − 2𝑝𝑞2 − 𝑞3

Q.3) Simplify.
(i) (𝑥2 − 5) (𝑥 + 5) + 25
(ii) (𝑎2 + 5) (𝑏3 + 3) + 5
(iii) (𝑡 + 𝑠2) (𝑡2 − 𝑠)
(iv) (𝑎 + 𝑏) (𝑐 − 𝑑) + (𝑎 − 𝑏) (𝑐 + 𝑑) + 2 (𝑎𝑐 + 𝑏𝑑)
(v) (𝑥 + 𝑦) (2𝑥 + 𝑦) + (𝑥 + 2𝑦) (𝑥 − 𝑦)
(vi) (𝑥 + 𝑦) (𝑥2 − 𝑥𝑦 + 𝑦2)
(vii) (1.5𝑥 − 4𝑦) (1.5𝑥 + 4𝑦 + 3) − 4.5𝑥 + 12𝑦
(viii) (𝑎 + 𝑏 + 𝑐) (𝑎 + 𝑏 − 𝑐)
Sol.3) (i) (𝑥2 − 5) (𝑥 + 5) + 25
= 𝑥2 (𝑥 + 5) − 5 (𝑥 + 5) + 25
= 𝑥3 + 5𝑥2 − 5𝑥 − 25 + 25
= 𝑥3 + 5𝑥2 − 5𝑥

(ii) (𝑎2 + 5) (𝑏3 + 3) + 5
= 𝑎2(𝑏3 + 3) + 5 (𝑏3 + 3) + 5
= 𝑎2𝑏3 + 3𝑎2 + 5𝑏3 + 15 + 5
= 𝑎2𝑏3 + 3𝑎2 + 5𝑏3 + 20

(iii) (𝑡 + 𝑠2) (𝑡2 − 𝑠)
= 𝑡 (𝑡2 − 𝑠) + 𝑠2 (𝑡2 − 𝑠)
= 𝑡3 − 𝑠𝑡 + 𝑠2𝑡2 − 𝑠3

(iv) (𝑎 + 𝑏) (𝑐 − 𝑑) + (𝑎 − 𝑏) (𝑐 + 𝑑) + 2 (𝑎𝑐 + 𝑏𝑑)
= 𝑎 (𝑐 − 𝑑) + 𝑏 (𝑐 − 𝑑) + 𝑎 (𝑐 + 𝑑) − 𝑏 (𝑐 + 𝑑) + 2 (𝑎𝑐 + 𝑏𝑑)
= 𝑎𝑐 − 𝑎𝑑 + 𝑏𝑐 − 𝑏𝑑 + 𝑎𝑐 + 𝑎𝑑 − 𝑏𝑐 − 𝑏𝑑 + 2𝑎𝑐 + 2𝑏𝑑
= (𝑎𝑐 + 𝑎𝑐 + 2𝑎𝑐) + (𝑎𝑑 − 𝑎𝑑) + (𝑏𝑐 − 𝑏𝑐) + (2𝑏𝑑 − 𝑏𝑑 − 𝑏𝑑)
= 4𝑎𝑐

(v) (𝑥 + 𝑦) (2𝑥 + 𝑦) + (𝑥 + 2𝑦) (𝑥 − 𝑦)
= 𝑥 (2𝑥 + 𝑦) + 𝑦 (2𝑥 + 𝑦) + 𝑥 (𝑥 − 𝑦) + 2𝑦 (𝑥 − 𝑦)
= 2𝑥2 + 𝑥𝑦 + 2𝑥𝑦 + 𝑦2 + 𝑥2 − 𝑥𝑦 + 2𝑥𝑦 − 2𝑦2
= (2𝑥2 + 𝑥2) + (𝑦2 − 2𝑦2) + (𝑥𝑦 + 2𝑥𝑦 − 𝑥𝑦 + 2𝑥𝑦)
= 3𝑥2 − 𝑦2 + 4𝑥𝑦

(vi) (𝑥 + 𝑦) (𝑥2 − 𝑥𝑦 + 𝑦2)
= 𝑥 (𝑥2 − 𝑥𝑦 + 𝑦2) + 𝑦 (𝑥2 − 𝑥𝑦 + 𝑦2)
= 𝑥3 − 𝑥2𝑦 + 𝑥𝑦2 + 𝑥2𝑦 − 𝑥𝑦2 + 𝑦3
= 𝑥3 + 𝑦3 + (𝑥𝑦2 − 𝑥𝑦2) + (𝑥2𝑦 − 𝑥2𝑦)
= 𝑥3 + 𝑦3

(vii) (1.5𝑥 − 4𝑦) (1.5𝑥 + 4𝑦 + 3) − 4.5𝑥 + 12𝑦
= 1.5𝑥 (1.5𝑥 + 4𝑦 + 3) − 4𝑦 (1.5𝑥 + 4𝑦 + 3) − 4.5𝑥 + 12𝑦
= 2.25 𝑥2 + 6𝑥𝑦 + 4.5𝑥 − 6𝑥𝑦 − 16𝑦2 − 12𝑦 − 4.5𝑥 + 12𝑦
= 2.25 𝑥2 + (6𝑥𝑦 − 6𝑥𝑦) + (4.5𝑥 − 4.5𝑥) − 16𝑦2 + (12𝑦 − 12𝑦)
= 2.25𝑥2 − 16𝑦2

(viii) (𝑎 + 𝑏 + 𝑐) (𝑎 + 𝑏 − 𝑐)
= 𝑎 (𝑎 + 𝑏 − 𝑐) + 𝑏 (𝑎 + 𝑏 − 𝑐) + 𝑐 (𝑎 + 𝑏 − 𝑐)
= 𝑎2 + 𝑎𝑏 − 𝑎𝑐 + 𝑎𝑏 + 𝑏2 − 𝑏𝑐 + 𝑐𝑎 + 𝑏𝑐 − 𝑐2
= 𝑎2 + 𝑏2 − 𝑐2 + (𝑎𝑏 + 𝑎𝑏) + (𝑏𝑐 − 𝑏𝑐) + (𝑐𝑎 − 𝑐𝑎)
= 𝑎22 + 𝑏2 − 𝑐2 + 2𝑎𝑏

Exercise 9.5

Q.1) Use a suitable identity to get each of the following products.
(i) (𝑥 + 3) (𝑥 + 3) (ii) (2𝑦 + 5) (2𝑦 + 5) (iii) (2𝑎 − 7) (2𝑎 − 7)
(iv) (3𝑎 −1/2) (3𝑎 − 1/2) (v) (1.1𝑚 − 0.4) (1.1 𝑚 + 0.4) (vi) (𝑎2 + 𝑏2) (− 𝑎2 + 𝑏2)
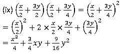
(vii) (6𝑥 − 7) (6𝑥 + 7) (viii) (− 𝑎 + 𝑐) (− 𝑎 + 𝑐) (ix) (𝑥/2 + 3𝑦/4) (𝑥/2 + 3𝑦/4)
(x) (7𝑎 − 9𝑏) (7𝑎 − 9𝑏)
Sol.1) The products will be as follows.
(i) (𝑥 + 3) (𝑥 + 3)
= (𝑥 + 3)2
= (𝑥)2 + 2(𝑥) (3) + (3)2 [(𝑎 + 𝑏)2
= 𝑎2 + 2𝑎𝑏 + 𝑏2]
= 𝑥2 + 6𝑥 + 9

(ii) (2𝑦 + 5) (2𝑦 + 5) = (2𝑦 + 5)2
= (2𝑦)2 + 2(2𝑦) (5) + (5)2 [(𝑎 + 𝑏)2
= 𝑎2 + 2𝑎𝑏 + 𝑏2]
= 4𝑦+ 20𝑦 + 25

(iii) (2𝑎 − 7) (2𝑎 − 7) = (2𝑎 − 7)2
= (2𝑎)2 − 2(2𝑎) (7) + (7)2 [(𝑎 − 𝑏)2
= 𝑎2 − 2𝑎𝑏 + 𝑏2]
= 4𝑎2 − 28𝑎 + 49

(iv) (3𝑎 −1/2) (3𝑎 − 1/2)
= (3𝑎 − 12)2
= (3𝑎)2 − 2 × 3𝑎 × 1/2 + (1/2)2
[(𝑎 − 𝑏)2
= 𝑎2 − 2𝑎𝑏 + 𝑏2]
= 9𝑎2 − 3𝑎 + 14

(v) (1.1𝑚 − 0.4) (1.1 𝑚 + 0.4)
= (1.1𝑚)2 − (0.4)2 [(𝑎 + 𝑏) (𝑎 − 𝑏) = 𝑎2 − 𝑏22]
= 1.21𝑚2 − 0.16

(vi) (𝑎2 + 𝑏2) (− 𝑎2 + 𝑏2)
= (𝑏2 + 𝑎2) (𝑏2 − 𝑎2)
= (𝑏2)2 − (𝑎2)2 [(𝑎 + 𝑏) (𝑎 − 𝑏) = 𝑎− 𝑏2]
= 𝑏4 − 𝑎4

(vii) (6𝑥 − 7) (6𝑥 + 7)
= (6𝑥)2 − (7)2 [(𝑎 + 𝑏) (𝑎 − 𝑏) = 𝑎2 − 𝑏2]
= 36𝑥2 – 49

(viii) (− 𝑎 + 𝑐) (− 𝑎 + 𝑐)
= (− 𝑎 + 𝑐)2
= (− 𝑎)2 + 2(− 𝑎) (𝑐) + (𝑐)2            [(𝑎 + 𝑏)2= 𝑎2 + 2𝑎𝑏 + 𝑏2]
= 𝑎2 − 2𝑎𝑐 + 𝑐2

""NCERT-Solutions-Class-8-Mathematics-Algebraic-expressions-and-identities-9

(x) (7𝑎 − 9𝑏) (7𝑎 − 9𝑏)
= (7𝑎 − 9𝑏)2
= (7𝑎)2 − 2(7𝑎)(9𝑏) + (9𝑏)2 [(𝑎 − 𝑏)2
= 𝑎2 − 2𝑎𝑏 + 𝑏2]
= 49𝑎2 − 126𝑎𝑏 + 81𝑏2

Q.2) Use the identity (𝑥 + 𝑎) (𝑥 + 𝑏) = 𝑥2 + (𝑎 + 𝑏)𝑥 + 𝑎𝑏 to find the following products.
(i) (𝑥 + 3) (𝑥 + 7) (ii) (4𝑥 + 5) (4𝑥 + 1) (iii) (4𝑥 − 5) (4𝑥 − 1)
(iv) (4𝑥 + 5) (4𝑥 − 1) (v) (2𝑥 + 5𝑦) (2𝑥 + 3𝑦) (vi) (2𝑎2 + 9) (2𝑎2 + 5)
(vii) (𝑥𝑦𝑧 − 4) (𝑥𝑦𝑧 − 2)
Sol.2) The products will be as follows.
(i) (𝑥 + 3) (𝑥 + 7)
= 𝑥2 + (3 + 7) 𝑥 + (3) (7)
= 𝑥2 + 10𝑥 + 21

(ii) (4𝑥 + 5) (4𝑥 + 1)
= (4𝑥)2 + (5 + 1) (4𝑥) + (5) (1)
= 16𝑥2 + 24𝑥 + 5

(iii) (4𝑥 – 5)(4𝑥 – 1)
= (4𝑥)2 + (−5 − 1)4𝑥 + (−5) × (−1)
= 16𝑥2 + (−6) × 4𝑥 + 5 = 16𝑥2 − 24𝑥 + 5

(iv) (4𝑥 + 5)(4𝑥 – 1)
= (4𝑥)2 + {5 × (−1)} × 4𝑥 + 5 × (−1)
= 16𝑥2 + (5 − 1) × 4𝑥 − 5
= 16𝑥2 + 4 × 4𝑥 − 5
= 16𝑥2 + 16𝑥 − 5

(v) (2𝑥 + 5𝑦) (2𝑥 + 3𝑦)
= (2𝑥)2 + (5𝑦 + 3𝑦) (2𝑥) + (5𝑦) (3𝑦)
= 4𝑥2 + 16𝑥𝑦 + 15𝑦2

(vi) (2𝑎2 + 9) (2𝑎2 + 5)
= (2𝑎2)2 + (9 + 5) (2𝑎2) + (9) (5)
= 4𝑎4 + 28𝑎2 + 45

(vii) (𝑥𝑦𝑧 − 4) (𝑥𝑦𝑧 − 2)
= (𝑥𝑦𝑧)2 + (−4 − 2) × 𝑥𝑦𝑧 + (−4) × (−2)
= 𝑥2𝑦2𝑧2 − 6𝑥𝑦𝑧 + 8

Q.3) Find the following squares by suing the identities.
(i) (𝑏 − 7)2
(ii) (𝑥𝑦 + 3𝑧)2
(iii) (6𝑥2 − 5𝑦)2 (iv) (2/3 𝑚 + 3/2 𝑛)2
(v) (0.4𝑝 − 0.5𝑞)2
(vi) (2𝑥𝑦 + 5𝑦)2
Sol.3) (i) (𝑏 − 7)22
= (𝑏)2 − 2(𝑏) (7) + (7)2 [(𝑎 − 𝑏)2
= 𝑎2 − 2𝑎𝑏 + 𝑏2
= 𝑏2 − 14𝑏 + 49

(ii) (𝑥𝑦 + 3𝑧)22
= (𝑥𝑦)2 + 2(𝑥𝑦) (3𝑧) + (3𝑧)2 [(𝑎 + 𝑏)2
= 𝑎2 + 2𝑎𝑏 + 𝑏2]
= 𝑥2𝑦2 + 6𝑥𝑦𝑧 + 9𝑧2

(iii) (6𝑥2 − 5𝑦)2
= (6𝑥2)2 − 2(6𝑥2) (5𝑦) + (5𝑦)2 [(𝑎 − 𝑏)2
= 𝑎2 − 2𝑎𝑏 + 𝑏2]
= 36𝑥2 − 60𝑥2𝑦 + 25𝑦2

""NCERT-Solutions-Class-8-Mathematics-Algebraic-expressions-and-identities-8

(v) (0.4𝑝 − 0.5𝑞)2
= (0.4𝑝)2 − 2 (0.4𝑝) (0.5𝑞) + (0.5𝑞)2[(𝑎 − 𝑏)2
= 𝑎2 − 2𝑎𝑏 + b2]
= 0.16𝑝2 − 0.4𝑝𝑞 + 0.25q2
(vi) (2𝑥𝑦 + 5𝑦)2
= (2𝑥𝑦)2 + 2(2𝑥𝑦) (5𝑦) + (5𝑦)2 [(𝑎 + 𝑏)2
= 𝑎2 + 2𝑎𝑏 + b2]
= 4x2𝑦2 + 20𝑥𝑦2 + 25𝑦2

Q.4) Simplify.
(i) (𝑎2 − b2)2
(ii) (2𝑥 + 5)2 − (2𝑥 − 5)2
(iii) (7𝑚 − 8𝑛)2 + (7𝑚 + 8𝑛)2
(iv) (4𝑚 + 5𝑛)2 + (5𝑚 + 4𝑛)2
(v) (2.5𝑝 − 1.5𝑞)2 − (1.5𝑝 − 2.5𝑞)2 (vi) (𝑎𝑏 + 𝑏𝑐)2 − 2𝑎b2𝑐
(vii) (m2 − 𝑛2𝑚)2 + 2𝑚3𝑛2
Sol.4) (i) (𝑎2 − b2)2
= (𝑎2)2 − 2(𝑎2) (b2) + (b2)2                                                     [(a − b)2 = 𝑎2 − 2ab + b2 ]
= a4 − 𝑎2b2 + b4
(ii) (2x +5)2 − (2x − 5)2
= (2x)2 + 2(2x) (5) + (5)2 − [(2x)2 − 2(2x) (5) + (5)2]              [(a − b)2 = 𝑎2 − 2ab + b2]
[(a + b)2 = 𝑎2 + 2ab + b2]
= 4x2 + 20x + 25 − [4x2 − 20x + 25]
= 4x2 + 20x + 25 − 4x2 + 20x − 25 = 40x

(iii) (7m − 8n)2 + (7m + 8n)2
= (7m)2 − 2(7m) (8n) + (8n)2 + (7m)2 + 2(7m) (8n) + (8n)2       [(a − b)2 = 𝑎2 − 2ab + b2 and
(a + b)2 = 𝑎2 + 2ab + b2]
= 49m2 − 112mn + 64𝑛2 + 49m2 + 112mn + 64𝑛2
= 98m2 + 128𝑛2

(iv) (4m + 5n)2 + (5m + 4n)2
= (4m)2 + 2(4m) (5n) + (5n)2 + (5m)2 + 2(5m) (4n) + (4n)2        [(a + b)2 = 𝑎2 + 2ab + b2]
= 16m2 + 40mn + 25𝑛2 + 25m2 + 40mn + 16𝑛2
= 41m2 + 80mn + 41𝑛2

(v) (2.5p − 1.5q)2 − (1.5p − 2.5q)2
= (2.5p)2 − 2(2.5p) (1.5q) + (1.5q)2 − [(1.5p)2 − 2(1.5p)(2.5q) + (2.5q)2]              [(a − b)2 = 𝑎2 − 2ab + b2 ]
= 6.25𝑝2 − 7.5pq + 2.25q2 − [2.25𝑝2 − 7.5pq + 6.25q2]
= 6.25𝑝2 − 7.5pq + 2.25q2 − 2.25𝑝2 + 7.5pq − 6.25q2]
= 4𝑝2 − 4q2

(vi) (ab + bc)2 − 2ab2c
= (ab)2 + 2(ab)(bc) + (bc)2 − 2ab2c                         [(a + b)2 = 𝑎2 + 2ab + b2 ]
= 𝑎2b2 + 2ab2c + b2c2 − 2ab2c
= 𝑎2b2 + b2c2

(vii) (m2 − 𝑛2m)2 + 2𝑚3𝑛2
= (m2)2 − 2(m2) (𝑛2m) + (𝑛2m)2 + 2𝑚3𝑛2              [(a − b)2 = 𝑎2 − 2ab + b2 ]
= m4 − 2𝑚3𝑛2 + n4m2 + 2𝑚3𝑛2
= m4 + n4m2

Q.5) `Show that
(i) (3𝑥 + 7)2 − 84𝑥 = (3𝑥 − 7)2
(ii) (9𝑝 − 5𝑞)2 + 180𝑝𝑞 = (9𝑝 + 5𝑞)2

(iv) (4𝑝𝑞 + 3𝑞)2 − (4𝑝𝑞 − 3𝑞)2 = 48𝑝q2
(v) (𝑎 − 𝑏) (𝑎 + 𝑏) + (𝑏 − 𝑐) (𝑏 + 𝑐) + (𝑐 − 𝑎) (𝑐 + 𝑎) = 0
Sol.5)
(i) L.H.S = (3x + 7)2 − 84x
= (3x)2 + 2(3x)(7) + (7)2 − 84x
= 9x2 + 42x + 49 − 84x
= 9x2 − 42x + 49
R.H.S = (3x − 7)2 = (3x)2 − 2(3x)(7) +(7)2
= 9x2 − 42x + 49
L.H.S = R.H.S
(ii) L.H.S = (9p − 5q)2 + 180pq
= (9p)2 − 2(9p)(5q) + (5q)2 − 180pq
= 81p2 − 90pq + 25q2 + 180pq
= 81p2 + 90pq + 25q2
R.H.S = (9p + 5q)2
= (9p)2 + 2(9p)(5q) + (5q)2
= 81p2 + 90pq + 25q2q2
L.H.S = R.H.S

""NCERT-Solutions-Class-8-Mathematics-Algebraic-expressions-and-identities

(iv) L.H.S = (4pq + 3q)2 − (4pq − 3q)2
= (4pq)2 + 2(4pq)(3q) + (3q)2 − [(4pq)2 − 2(4pq) (3q) + (3q)2]
= 16p2q2 + 24pq2 + 9q2 − [16p2q2 − 24pq2 + 9q2]
= 16p2q2 + 24pq2 + 9q2 −16p2q2 + 24pq2 − 9q2
= 48pq2 = R.H.S

(v) L.H.S = (a − b) (a + b) + (b − c) (b + c) + (c − a) (c + a)
= (a2 − b2) + (b2 − c2) + (c2 − a2) = 0 = R.H.S

Q.6) Using identities, evaluate.
(i) 712 (ii) 992 (iii) 1022 (iv) 9982 (v) (5.2)2 (vi) 297 × 303
(vii) 78 × 82 (viii) 8.92 (ix) 1.05 × 9.5
Sol.6) (i) 712 = (70 + 1)2
= (70)2 + 2(70) (1) + (1)2              [(𝑎 + 𝑏)2= a2 + 2𝑎𝑏 + b2 ]
= 4900 + 140 + 1 = 5041

(ii) 992 = (100 − 1)2
= (100)2 − 2(100) (1) + (1)2           [(𝑎 − 𝑏)= 𝑎2 − 2𝑎𝑏 + b2 ]
= 10000 − 200 + 1 = 9801

(𝑖𝑖𝑖)1022 = (100 + 2)2
= (100)2 + 2(100)(2) + (2)2             [(𝑎 + 𝑏)= a2 + 2𝑎𝑏 + b2 ]
= 10000 + 400 + 4 = 10404

(𝑖𝑣)9982 = (1000 − 2)2
= (1000)2 − 2(1000)(2) + (2)2           [(𝑎 − 𝑏)= a2 − 2𝑎𝑏 + b2 ]
= 1000000 − 4000 + 4 = 996004

(𝑣) (5.2)2 = (5.0 + 0.2)2
= (5.0)2 + 2(5.0) (0.2) + (0.2)2         [(𝑎 + 𝑏)2 = a2 + 2𝑎𝑏 + b2 ]
= 25 + 2 + 0.04 = 27.04

(𝑣𝑖) 297 × 303 = (300 − 3) × (300 + 3)
= (300)2 − (3)2                                  [(𝑎 + 𝑏) (𝑎 − 𝑏) = a2 − b2
= 90000 − 9 = 89991

(𝑣𝑖𝑖) 78 × 82 = (80 − 2) (80 + 2)
= (80)2 − (2)2                                    [(𝑎 + 𝑏) (𝑎 − 𝑏) = a2 − b2]
= 6400 − 4 = 6396

(𝑣𝑖𝑖𝑖) 8.92 = (9.0 − 0.1)2
= (9.0)2 − 2(9.0) (0.1) + (0.1)2         [(𝑎 − 𝑏)2 = a2 − 2𝑎𝑏 + b2]
= 81 − 1.8 + 0.01 = 79.21

(𝑖𝑥) 1.05 × 9.5 = 1.05 × 0.95 × 10
= (1 + 0.05) (1 − 0.05) × 10
= [(1)2 − (0.05)2] × 10
= [1 − 0.0025] × 10                         [(𝑎 + 𝑏) (𝑎 − 𝑏) = a2 − b2]
= 0.9975 × 10 = 9.975

Q.7) Using a2 − b2 = (𝑎 + 𝑏) (𝑎 − 𝑏), find
(i) 512 – 492 (ii) (1.02)2 – (0.98)2 (iii) 1532 − 1472 (iv) 12.12 − 7.92
Sol.7) (𝑖) 512 − 492
= (51 + 49) (51 − 49)
= (100) (2) = 200

(𝑖𝑖)(1.02)2 − (0.98)2
= (1.02 + 0.98) (1.02 − 0.98)
= (2) (0.04) = 0.08

(𝑖𝑖𝑖)1532 − 1472
= (153 + 147) (153 − 147)
= (300) (6) = 1800

(𝑖𝑣)12.12 − 7.92
= (12.1 + 7.9) (12.1 − 7.9)
= (20.0) (4.2) = 84

Q.8) Using (𝑥 + 𝑎) (𝑥 + 𝑏) = 𝑥2 + (𝑎 + 𝑏) 𝑥 + 𝑎𝑏, find
(i) 103 × 104 (ii) 5.1 × 5.2 (iii) 103 × 98 (iv) 9.7 × 9.8
Sol.8) (𝑖) 103 × 104
= (100 + 3) (100 + 4)
= (100)2 + (3 + 4) (100) + (3) (4)
= 10000 + 700 + 12 = 10712

(𝑖𝑖) 5.1 × 5.2
= (5 + 0.1) (5 + 0.2)
= (5)2 + (0.1 + 0.2) (5) + (0.1) (0.2)
= 25 + 1.5 + 0.02 = 26.52

(𝑖𝑖𝑖) 103 × 98
= (100 + 3) (100 − 2)
= (100)2 + [3 + (− 2)] (100) + (3) (− 2)
= 10000 + 100 − 6
= 10094

(𝑖𝑣) 9.7 × 9.8
= (10 − 0.3) (10 − 0.2)
= (10)2 + [(− 0.3) + (− 0.2)] (10) + (− 0.3) (− 0.2)
= 100 + (− 0.5)10 + 0.06 = 100.06 − 5 = 95.06

 

NCERT Solutions Class 8 Mathematics Chapter 9 Algebraic expressions and identities

Students can now access the NCERT Solutions for Chapter 9 Algebraic expressions and identities prepared by teachers on our website. These solutions cover all questions in exercise in your Class 8 Mathematics textbook. Each answer is updated based on the current academic session as per the latest NCERT syllabus.

Detailed Explanations for Chapter 9 Algebraic expressions and identities

Our expert teachers have provided step-by-step explanations for all the difficult questions in the Class 8 Mathematics chapter. Along with the final answers, we have also explained the concept behind it to help you build stronger understanding of each topic. This will be really helpful for Class 8 students who want to understand both theoretical and practical questions. By studying these NCERT Questions and Answers your basic concepts will improve a lot.

Benefits of using Mathematics Class 8 Solved Papers

Using our Mathematics solutions regularly students will be able to improve their logical thinking and problem-solving speed. These Class 8 solutions are a guide for self-study and homework assistance. Along with the chapter-wise solutions, you should also refer to our Revision Notes and Sample Papers for Chapter 9 Algebraic expressions and identities to get a complete preparation experience.

Where can I find the latest [current-page:node:field_title] for the 2025-26 session?

The complete and updated is available for free on StudiesToday.com. These solutions for Class 8 Mathematics are as per latest NCERT curriculum.

Are the Mathematics NCERT solutions for Class 8 updated for the new 50% competency-based exam pattern?

Yes, our experts have revised the as per 2026 exam pattern. All textbook exercises have been solved and have added explanation about how the Mathematics concepts are applied in case-study and assertion-reasoning questions.

How do these Class 8 NCERT solutions help in scoring 90% plus marks?

Toppers recommend using NCERT language because NCERT marking schemes are strictly based on textbook definitions. Our will help students to get full marks in the theory paper.

Do you offer [current-page:node:field_title] in multiple languages like Hindi and English?

Yes, we provide bilingual support for Class 8 Mathematics. You can access in both English and Hindi medium.

Is it possible to download the Mathematics NCERT solutions for Class 8 as a PDF?

Yes, you can download the entire in printable PDF format for offline study on any device.