CBSE Class 10 Mathematics Arithmetic Progressions Worksheet Set 02

Access the latest CBSE Class 10 Mathematics Arithmetic Progressions Worksheet Set 02. We have provided free printable Class 10 Mathematics worksheets in PDF format, specifically designed for Chapter 5 Arithmetic Progression. These practice sets are prepared by expert teachers following the 2025-26 syllabus and exam patterns issued by CBSE, NCERT, and KVS.

Chapter 5 Arithmetic Progression Mathematics Practice Worksheet for Class 10

Students should use these Class 10 Mathematics chapter-wise worksheets for daily practice to improve their conceptual understanding. This detailed test papers include important questions and solutions for Chapter 5 Arithmetic Progression, to help you prepare for school tests and final examination. Regular practice of these Class 10 Mathematics questions will help improve your problem-solving speed and exam accuracy for the 2026 session.

Download Class 10 Mathematics Chapter 5 Arithmetic Progression Worksheet PDF

VERY SHORT ANSWER TYPE QUESTIONS :

Question. Which term of A.P. 5, 2, − 1, − 4 ..... is − 40?
Answer : Here, a = 5
d = 2 − 5 = − 3
Let nth term be − 40
∴ Tn = a + (n − 1) d
⇒ − 40 = 5 + (n − 1) × (− 3)
⇒ n − 1 = − 40 − 5/− 3 = − 45/− 3 =15
⇒ n = 15 + 1 = 16
i.e., The 16th term of the A.P. is − 40.

Question. If 4/5 , a, 2 are three consecutive terms of an A.P., then find the value of a? 
Answer : Here, T1 = 4/5
T2 = a
T3 = 2
∵ For an A.P.,
T2 − T1 = T3 − T2
∴ a − 4/5
= 2 − a
⇒ a + a = 2 + 4/5
⇒ 2a =14/5 
⇒ a = 14/5 × 1/2 = 7/5
Thus, a = 7/5

Question. Find the next term of the A.P. √2 , √8 , √18 ..... 
Answer : Here, Tn = √2 ⇒ a = √2
T2 = √8 = 2√2
T3 = √18 = 3√2
Now, d = T2 − T1
= 2√2 − √2
= √2
Now, using Tn = a + (n − 1) × d, we have
T4 = a + 3d
= √2 + 3 (√2)
= √2 [1 + 3] = 4√2
= √16 × 2 = √32
Thus, the next term = √32 .

Question. What is the sum of all the natural numbers from 1 to 100?
Answer : We have:
1, 2, 3, 4, ....., 100 are in an A.P. such that
a = 1 and l = 100
∴ Sn = n/2 [a + l]
⇒ S100 = 100/2 [1 + 100] = 50 × 101 = 5050.

Question. The nth term of an A.P. is (2n − 3) find the common difference.
Answer : Here, Tn = 2n − 3
∴ T1 = 2 (1) − 3 = − 1
T2 = 2 (2) − 3 = 1
∴ d = T2 − T1 = 1 − (− 1) = 2
Thus the common difference is 2.

Question. For what value of k, are the numbers x, (2x + k) and (3x + 6) three consecutive terms of an A.P.?
Answer : Here, T1 = x, T2 = (2x + k) and T3 = (3x + 6)
For an A.P., we have
T2 − T1 = T3 − T2
i.e., 2x + k − x = 3x + 6 − (2x + k)
⇒ x + k = 3x + 6 − 2x − k
⇒ x + k = x + 6 − k
⇒ k + k = x + 6 − x
⇒ 2k = 6
⇒ k = 6/2 = 3

Question. If the nth term of an A.P. is (7n − 5). Find its 100th term.
Answer : Here, Tn = 7n − 5
∴ T1 = 7 (1) − 5 = 2
T2 = 7 (2) − 5 = 9
∴ a = 2
and d = T2 − T1
= 9 − 2 = 7
Now T100 = 2 + (100 − 1) 7 [using Tn = a + (n − 1) d]
= 2 + 99 × 7
= 2 + 693 = 695.

Question. The nth term of an A.P. is 6n + 2. Find the common difference. 
Answer : Here, Tn = 6n + 2
∴ T1 = 6 (1) + 2 = 8
T2 = 6 (2) + 2 = 14
⇒ d = T2 − T1 = 14 − 8 = 6
∴ Common difference = 6.

Question. Write the common difference of an A.P. whose nth term is 3n + 5. 
Answer : Tn = 3n + 5
∴ T1 = 3 (1) + 5 = 8
T2 = 3 (2) + 5 = 11
⇒ d = T2 − T1
= 11 − 8 = 3
Thus, the common difference = 3.

Question. For what value of p are 2p − 1, 7 and 3p three consecutive terms of an A.P.? 
Answer : Here, T1 = 2p − 1
T2 = 7
T3 = 3p
∵ For an A.P., we have:
T2 − T1 = T3 − T2
⇒ 7 − (2p − 1) = 3p − 7
⇒ 7 − 2p + 1 = 3p − 7
⇒ − 2p − 3p = − 7 − 1 − 7
⇒ − 5p = − 15
⇒ p = − 15/− 5 = 3
Thus, p = 3

Question. For an A.P., the 8th term is 17 and the 14th term is 29. Find its common difference.
Answer : Let the common difference = d and first term = a
∴ T8 = a + 7d = 17 
T14 = a + 13d = 29 
Subtracting (1) from (2), we have:
a + 13d − a − 7d = 29 − 17
⇒ 6d = 12
⇒ d = 12/6 = 2
∴ The required common difference = 2.

Question. Find the sum of first 12 terms of the A.P. 5, 8, 11, 14, ...... .
Answer : Here, a = 5
d = 8 − 5 = 3
n = 12
Using Sn = n/2 [2 (a) + (n − 1) d]
we have: S12 = 12/2 [2 (5) + (12 − 1) × 3]
= 6 [10 + 33]
= 6 × 43 = 258

Question. If the numbers x − 2, 4x − 1 and 5x + 2 are in A.P. Find the value of x.
Answer : ∵ x − 2, 4x − 1 and 5x + 2 are in A.P.
∴ (4x − 1) − (x − 2) = (5x + 2) − (4x − 1)
⇒ 3x + 1 = x + 3
⇒ 2x = 2 ⇒ x = 1 

Question. Which term of the A.P. 4, 9, 14, ..... is 109?
Answer : Let 109 is the nth term,
∴ Using Tn = a + (n − 1) d, we have:
109 = 4 + (n − 1) 5                                                        [∵ a = 4 and d = 9 − 4 = 5]
⇒ n − 1 = 109−4/5 = 105/5 =21
⇒ n = 21 + 1 = 22
Thus, the 22nd term is 109.

Question. If a, (a − 2) and 3a are in A.P. then what is the value of a?
Answer : ∵ a, (a − 2) and 3a are in A.P.
∴ (a − 2) − a = 3a − (a − 2)
⇒ a − 2 − a = 3a − a + 2
⇒ − 2 = 2a + 2
⇒ 2a = − 2 − 2 = − 4
⇒ a = − 4/2 = 2
Thus, the required value of a is − 2.

Question. How many terms are there in the A.P.?
7, 10, 13, ....., 151
Answer : Here, a = 7, d = 10 − 7 = 3
Let there are n-terms.
∴ Tn = a + (n − 1) d
⇒ T51 = 7 + (n − 1) × 3
⇒ 151−7/3 = n − 1
⇒ 144/3 = n − 1 ⇒ n = 48 + 1 = 49
i.e., n = 49

Question. Which term of the A.P. 72, 63, 54, ..... is 0?
Answer : Here, a = 72
d = 63 − 72 = − 9
Let nth term of this A.P. be 0
∴ Tn = a + (n − 1) d
⇒ 72 + (n − 1) × (− 9) = 0
⇒ (n − 1) = −72/−9 = 8
⇒ n = 8 + 1 = 9
Thus the 9th term of the A.P. is 0.

Question. The first term of an A.P. is 6 and its common difference is − 2. Find its 18th term.
Answer : Using Tn = a + (n − 1) d, we have:
T18 = 6 + (18 − 1) × (− 2)
= 6 + 17 × (− 2)
= 6 − 34 = − 28
Thus, the 18th term is − 28.

Question. The 4th term of an A.P. is 14 and its 12th term 70. What is its first term?
Answer : Let the first term = a If ‘d’ is the common difference,
Then T4 = a + 3d = 14 
And T12 = a + 11d = 70 
Subtracting (1) from (2),
a + 11d − a − 3d = 70 − 14
⇒ 8d = 56 ⇒ d = 56/8 = 7
∴ From (1), a + 3 (7) = 14
⇒ a + 21 = 14
⇒ a = 14 − 21 = (− 7)
Thus, the first term is − 7.

Question. For what value of p are 2p + 1, 13 and 5p − 3 three consecutive terms of an A.P.?
Answer : Here, T1 = 2p + 1
T2 = 13
T3 = 5p − 3
For an A.P., we have:
T2 − T1 = T3 − T2
⇒ 13 − (2p + 1) = 5p − 3 − 13
⇒ 13 − 2p − 1 = 5p − 16
⇒ − 2p + 12 = 5p − 16
⇒ − 2p − 5p = − 16 − 12 = − 28
⇒ − 7p = − 28
⇒ p = − 28/− 7 = 28/7 = 4
∴ p = 4

Question. Write the value of x for which x + 2, 2x, 2x + 3 are three consecutive terms of an A.P.
Answer : Here, T1 = x + 2
T2 = 2x
T3 = 2x + 3
For an A.P., we have:
∴ 2x − (x + 2) = 2x + 3 − 2x
⇒ 2x − x − 2 = 2x + 3 − 2x
⇒ x − 2 = 3
⇒ x = 3 + 2 = 5
Thus, x = 5

Question. If the first and last terms of an A.P. are 10 and − 10. How many terms are there? Given that d = − 1.
Answer : Let the required number of terms is n and 1st term a = 10
nth term Tn = − 10
Let common difference be d then using,
Tn = a + (n − 1) d, we have:
− 10 = 10 + (n − 1) × (− 1)
⇒ − 10 = 10 − n + 1
⇒ − n + 1 = − 10 − 10 = − 20
⇒ − n = − 20 − 1 = − 21
⇒ n = 21

Question. What is the common difference of an A.P. whose nth term is 3 + 5n? 
Answer : ∵ Tn = 3 + 5n
∴ T1 = 3 + 5 (1) = 8
And T2 = 3 + 5 (2) = 13
∵ d = T2 − T1
∴ d = 13 − 8 = 5
Thus, common difference = 5.

Question. Which term of the A.P.:
14, 11, 8, ..... is − 1? 
Answer : Here, a = 14
d = 11 − 14 = − 3
Let the nth term be (− 1)
∴ Using Tn = a + (n − 1) d, we get
− 1 = 11 + (n − 1) × (− 3)
⇒ − 1 − 14 = − 3 (n − 1)
⇒ − 15 = − 3 (n − 1)
∴ n − 1 = − 15/− 3 = 5
⇒ n = 5 + 1 = 6
Thus, −1 is the 6th term of the A.P.

Question. The nth term of an A.P. is (3n − 2) find its first term.
Answer : ∵ Tn = 3n − 2
∴ T1 = 3 (1) − 2 = 3 − 2 = 1
⇒ First term = 1

Question. Which term of the A.P.:
21, 18, 15, ..... is zero? 
Answer : Here, a = 21
d = 18 − 21 = − 3
Since Tn = a + (n − 1) d
⇒ 0 = 21 + (n − 1) × (− 3)
⇒ − 3 (n − 1) = − 21
⇒ (n − 1) = − 21/− 3 = 7
⇒ n = 7 + 1 = 8
Thus, the 8th term of this A.P. will be 0.

Question. Write the next term of the A.P. √8 , √18 , √32 , ..... 
Answer : Here, T1 = √8 = √4 × 2 = 2√2
T2 = √18 = √9 × 2 = 3√2
T3 = √32 = √16 × 2 = 4√2
∴ a = 2√2
Now, d = T2 − T1
= 3√2 − 2√2 = √2 (3 − 2) = √2
∴ T4 = a + 3d
= 2√2 + 3 (√2)
= 2√2 + 3 2
= √2 (2 + 3) = 5√2 or √50
Thus, the next term of the A.P. is 5√2 or √50 .

Question. The value of the middlemost term (s) of the AP : –11, –7, –3, ...49.
Answer : a = –11, an = 49 and d = (–7) – (–11) = 4
∴ an = a + (n – 1)d
⇒ 49 = –11 + (n – 1) × 4 ⇒ n = 16
Since, n is an even number
∴ There will be two middle terms, which are:
16/2 th and {16/2+1} th
or 8th and 9th
Now, a8 = a + (8 – 1)d
= –11 + 7 × 4 = 17
a9 = a + (9 – 1)d
= –11 + 8 × 4 = 21
Thus, the values of the two middlemost terms are : 17 and 21.

Question. The nth term of an A.P. is 7 − 4n. Find its common difference. 
Answer : ∵ Tn = 7 − 4n
∴ T1 = 7 − 4 (1) = 3
T2 = 7 − 4 (2) = − 1
∴ d = T2 − T1
= (− 1) − 3 = − 4
Thus, common difference = − 4

Question. The first term of an A.P. is p and its common difference is q. Find the 10th term.
Answer : Here, a = p and d = q
∴ Tn = a + (n − 1) d
∴ T10 = p + (10 − 1) q
= p + 9q
Thus, the 10th term is p + 9q.

SHORT ANSWER TYPE QUESTIONS :

Question. In an A.P., the first term is 8, nth term is 33 and sum of first n terms is 123. Find n and d, the common difference.
Answer : Here,
First term T1 = 8 ⇒ a = 8
nth term Tn = 33 = l
∵ Sn = 123 [Given]
∴ Using, Sn = n/2 [a + l], we have 
Sn = n/2 [8 + 33]
⇒ 123 = n/2 × 41
⇒ n = 123 × 2/41 = 6
Now, T6 = 33
⇒ a + 5d = 33
⇒ 8 + 5d = 33
⇒ 5d = 33 − 8 = 25
⇒ d = 25/5 = 5
Thus, n = 6 and d = 5.

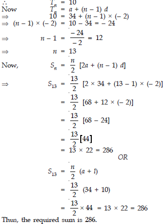
Question. If the 8th term of an A.P. is 37 and the 15th term is 15 more than the 12th term, find the A.P. Hence find the sum of the first 15 terms of the A.P.
Answer : Let the 1st term = a
cbse-class-10-mathematics-arithmetic-progressions-worksheet-set-b

Question. Find the sum of all three digit numbers which are divisible by 7. 
Answer : The three digit numbers which are divisible by 7 are:
105, 112, 119, ....., 994.
It is an A.P. such that
a = 105
d = 112 − 105 = 7
Tn = 994 = l
∴ Tn = a + (n − 1) × d
∴ 994 = 105 + (n − 1) × 7
⇒ n − 1 = 994 − 105/7 = 889/7 = 127
⇒ n = 127 + 1 = 128
Now, using Sn = n/2 [a + l]
We have S128 = 128/2 [105 + 994]
= 64 [1099]
= 70336
Thus, the required sum = 70336.

Question. If 9th term of an A.P. is zero, prove that its 29th term is double of its 19th term.
Answer : Let ‘a’ be the first term and ‘d’ be the common difference.
Now, Using Tn = a + (n − 1) d, we have
T9 = a + 8d ⇒ a + 8d = 0 [∵ T9 = 0 Given]
T19 = a + 18d = (a + 8d) + 10d = (0) + 10d = 10d [∵ a + 8d = 0]
T29 = a + 28d
= (a + 8d) + 20d
= 0 + 20d = 20d [∵ a + 8d = 0]
= 2 × (10d) = 2 (T19) [∵ T19 = 10d]
⇒ T29 = 2 (T19)
Thus, the 29th term of the A.P. is double of its 19th term.

Question. In an A.P., the first term is 22, nth term is − 11 and sum of first n terms is 66. Find n and d, the common difference. 
Answer : We have
cbse-class-10-mathematics-arithmetic-progressions-worksheet-set-b

Question. The first and last term of an A.P. are 4 and 81 respectively. If the common difference is 7, how many terms are there in the A.P. and what is their sum?
Answer : Here, first term = 4 ⇒ a = 4 and d = 7.
Last term, l = 81 ⇒ Tn = 81
∴ Tn = a + (n − 1) d
∴ 81 = 4 + (n − 1) × 7
⇒ 81 − 4 = (n − 1) × 7
⇒ 77 = (n − 1) × 7 ⇒ n = 77/7 + 1 = 11 + 1 = 12
⇒ There are 12 terms.
Now, using
Sn = n/2 = (a + l)
⇒ S12 = 12/2 (4 + 81)
⇒ S12 = 6 × 85 = 510
∴ The sum of 12 terms of the A.P. is 510.

Question. Find the sum of all the three digit numbers which are divisible by 9. 
Answer : All the three digit numbers divisible by 9 are:
117, 126, ....., 999 and they form an A.P.
Here, a = 108
d = 117 − 108 = 9
Tn = 999 = l
Now, using Tn = a + (n − 1) d, we have
999 = 108 + (n − 1) (9)
⇒ 999 − 108 = (n − 1) × 9
⇒ 891 = (n − 1) × 9
⇒ n − 1 = 891/9 = 99
⇒ n = 99 + 1 = 100
Now, the sum of n term of an A.P. is given
Sn = n/2 [a + l]
∴ S100 = 100/2 [108 + 999]
= 50 [1107]
= 55350
Thus, the required sum is 55350.

Question. The angles of a quadrilateral are in A.P. whose common difference is 15°. Find the angles.
Answer : Let one of the angles = a
∴ The angles are in an A.P.
∴ The angles are:
a°, (a + d)°, (a + 2d)° and (a + 3d)°
∴ d = 15
cbse-class-10-mathematics-arithmetic-progressions-worksheet-set-b

Question. Find the middle term of the A.P. 10, 7, 4, ....., − 62. 
Answer : Here, a = 10
d = 7 − 10 = − 3
Tn = (− 62)
∴ Using Tn = a + (n − 1) d, we have
− 62 = 10 + (n − 1) × (− 3)
⇒ n − 1 = − 62 − 10/−3 = − 72/− 3 = 24
⇒ n = 24 + 1 = 25
⇒ Number of terms = 25
∴ Middle term = {n + 1/2} th term
= 25 + 1/2 th term
= 13th term
Now T13 = 10 + 12d
= 10 + 12 (− 3)
= 10 − 36 = − 26
Thus, the middle term = − 26.

Question. The 5th and 15th terms of an A.P. are 13 and − 17 respectively. Find the sum of first 21 terms of the A.P.
Answer : Let ‘a’ be the first term and ‘d’ be the common difference.
∴ Using Tn = a + (n − 1) d, we have:
T15 = a + 14d = − 17 
T5 = a + 4d = 13 
Subtracting (2) from (1), we have:
(T15 − T5) = − 17 − 13 = − 30
⇒ a + 14d − a − 4d = − 30
⇒ 10d = − 30 ⇒ d = − 3
Substituting d = − 3 in (2), we get
a + 4d = 13
⇒ a + 4 (− 3) = 13
⇒ a + (− 12) = 13
⇒ a = 13 + 12 = 25
Now using Sn = n/2 [2a + (n − 1) d] we have:
S21 = 21/2 [2 (25) + (21 − 1) × (− 3)]
= 21/2 [50 + (− 60)]
= 21/2 × − 10
= 21 × (− 5) = −105
Thus, the sum of first fifteen terms = − 105.

Question. The angles of a triangle are in AP. The greatest angle is twice the least. Find all the angles of the triangle. 
Answer : Let a, b, c are the angles of the triangle, such that
c = 2a 
Since a, b, c are in A.P.
Then b = a + c/2
From (1) and (2), we get
cbse-class-10-mathematics-arithmetic-progressions-worksheet-set-b

Question. If Tn = 3 + 4n then find the A.P. and hence find the sum of its first 15 terms.
Answer : Let the first term be ‘a’ and the common difference be ‘d’.
∵ Tn = a + (n − 1) d
∴ T1 = a + (1 − 1) d = a + 0 × d = a
T2 = a + (2 − 1) d = a + d
But it is given that
Tn = 3 + 4n
∴ T1 = 3 + 4 (1) = 7
⇒ First term, a = 7
Also, T2 = a + d = 3 + 4 (2) = 11
∴ d = T2 − T1 = 11 − 7 = 4
Now, using Sn = n/2 [2a + (n − 1) d], we get
S15 = 15/2 [2 (7) + (15 − 1) × 4]
= 15/2 [14 + 14 × 4]
= 15/2 [70]
= 15 × 35 = 525
Thus, the sum of first 15 terms = 525.

Question. Find the 10th term from the end of the A.P.:
8, 10, 12, ....., 126 
Answer : Here, a = 8
d = 10 − 8 = 2
Tn = 126
Using Tn = a + (n − 1) d
⇒ 126 = 8 + (n − 1) × 2
⇒ n − 1 = 126 − 8/2 = 59
⇒ n = 59 + 1 = 60
∴ l = 60
Now 10th term from the end is given by
l − (10 − 1) = 60 − 9 = 51
Now, T51 = a + 50d
= 8 + 50 × 2
= 8 + 100 = 108
Thus, the 10th term from the end is 108.

Question. The sum of first six terms of an AP is 42. The ratio of 10th term to its 30th term is 1 : 3. Calculate the first term and 13th term of A.P.
Answer : S6 = 6/2 {2a+(6 − 1)d} = 42
∴ 6a + 15d = 42 
Also, (a10) : (a30) = 1 : 3
or a+9d/a+29d = 1/3
⇒ 3(a + 9d) = a + 29d
⇒ 3a + 27d = a + 27d
⇒ 2a = 2d
⇒ a = d
From (1) 6d + 15d = 42 ⇒ d = 2
From (2) a = d ⇒ d = 2
Now, a13 = a + 12d
= 2 + 12 × 2 = 26

Question. Which term of the A.P. 4, 12, 20, 28, ..... will be 120 more than its 21st term?
Answer : Here, a = 4
d = 12 − 4 = 8
Using Tn = a + (n − 1) d
∴ T21 = 4 + (21 − 1) × 8
= 4 + 20 × 8 = 164
∵ The required nth term = T21 + 120
∴ nth term = 164 + 120 = 284
∴ 284 = a + (n − 1) d
⇒ 284 = 4 + (n − 1) × 8
⇒ 284 − 4 = (n − 1) × 8
⇒ n − 1 = 280/8 = 35
⇒ n = 35 + 1 = 36
Thus, the required term is the 36th term of the A.P.

Question. If SnSn, the sum of first n terms of an A.P. is given by
Sn = 5n2 + 3n
Then find the nth term. 
Answer : ∴ Sn = 5n2 + 3n
∴ Sn− 1 = 5 (n − 1)2 + 3 (n − 1)
= 5 (n2 − 2n + 1) + 3 (n − 1)
= 5n2 − 10n + 5 + 3n − 3
= 5n2 − 7n + 2
Now, nth term = Sn − Sn− 1
∴ The required nth term
= [5n2 + 3n] − [5n2− 7n + 2]
= 10n − 2.

Question. If Sn the sum of n terms of an A.P. is given by Sn = 3n2 − 4n, find the nth term.
Answer : We have:
Sn − 1 = 3 (n − 1)2 − 4 (n − 1)
= 3 (n2 − 2n + 1) − 4n + 4
= 3n2 − 6n + 3 − 4n + 4
= 3n2 − 10n + 7
∴ nth term = Sn − Sn − 1
= 3n2 − 4n − [3n2 − 10n + 7]
= 3n2 − 4n − 3n2 + 10n − 7
= 6n − 7.

Question. The 1st and the last term of an A.P. are 17 and 350 respectively. If the common difference is 9 how many terms are there in the A.P.? What is their sum?
Answer : Here, first term, a = 17
Last term Tn = 350 = l
∴ Common difference (d) = 9.
∴ Using Tn = a + (n − 1) d, we have:
350 = 17 + (n − 1) × 9
⇒ n − 1 = 350 − 17/9
= 333/9 = 37
⇒ n = 37 + 1 = 38
Thus, there are 38 terms.
Now, using, Sn = n/2 [a + l], we have
S38 = 38/2 [17 + 350]
= 19 [367] = 6973
Thus, the required sum of 38 terms = 6973.

Question. Which term of the A.P.:
3, 15, 27, 39, ..... will be 120 more than its 53rd term?
Answer : The given A.P. is:
3, 15, 27, 39, .....
∴ a = 3
d = 15 − 3 = 12
∴ Using, Tn = a + (n − 1) d, we have:
T53 = 3 + (53 − 1) × 12
= 3 + (52 × 12)
= 3 + 624 = 627
Now, T53 + 120 = 627 + 120 = 747.
Let the required term be Tn
∴ Tn = 747
or a + (n − 1) d = 747
∴ 3 + (n − 1) × 12 = 747
⇒ (n − 1) × 12 = 747 − 3 = 744
⇒ n − 1 = 744/12 = 62
⇒ n = 62 + 1 = 63
Thus, the 63rd term of the given A.P. is 120 more than its 53rd term.

Question. The sum of 4th and 8th terms of an A.P. is 24, and the sum of 6th and 10th terms is 44. Find the A.P. 
Answer : Let, the first term = a
Common difference be = d
cbse-class-10-mathematics-arithmetic-progressions-worksheet-set-b

Question. Which term of the A.P. 3, 15, 27, 39, ..... will be 120 more than its 21st term?
Answer : Let the 1st term is ‘a’ and common difference = d
∴ a = 3 and d = 15 − 3 = 12
Now, using Tn = a + (n − 1) d
∴ T21 = 3 + (21 − 1) × 12
= 3 + 20 × 12
= 3 + 240 = 243
Let the required term be the nth term.
∵ nth term = 120 + 21st term
= 120 + 243 = 363
Now Tn = a + (n − 1) d
⇒ 363 = 3 + (n − 1) × 12
⇒ 363 − 3 = (n − 1) × 12
⇒ n − 1 = 360/12 = 30
⇒ n = 30 + 1 = 31
Thus the required term is the 31st term of the A.P.

Question. If m times the mth term of an A.P. is equal to n times the nth term, find the (m + n)th term of the A.P. 
Answer : Let the first term (T1) = a and the common difference be ‘d’.
cbse-class-10-mathematics-arithmetic-progressions-worksheet-set-b

Question. Find the sum of all the three digit numbers which are divisible by 11. 
Answer : All the three digit numbers divisible by 11 are 110, 121, 132, ....., 990.
Here, a = 110
d = 121 − 110 = 11
Tn = 990
∴ Using Tn = a + (n − 1) d, we have
990 = 110 + (n − 1) × 11
⇒ n − 1 = 990 − 110/11 = 80
⇒ n = 80 + 1 = 81
Now, using Sn = n/2 [a + l], we have
S81 = 81/2 [110 + 990]
= 81/2 [1100]
= 81 × 550 = 44550
Thus, the required sum = 44550.

Question. The sum of 5th and 9th terms of an A.P. is 72 and the sum of 7th and 12th term of 97. Find the A.P. 
Answer : Let ‘a’ be the 1st term and ‘d’ be the common difference of the A.P.
Now, using Tn = a + (n − 1) d, we have
cbse-class-10-mathematics-arithmetic-progressions-worksheet-set-b

Question. Find the 31st term of an A.P. whose 10th term is 31 and the 15th term is 66.
Answer : Let the first term is ‘a’ and the common difference is ‘d’.
Using Tn = a + (n − 1) d, we have:
T10 = a + 9d
⇒ 31 = a + 9d 
Also T15 = a + 14d
⇒ 66 = a + 14d 
Subtracting (1) from (2), we have:
a + 14d − a − 9d = 66 − 31
⇒ 5d = 35
⇒ d = 35/5 = 7
∴ From (1), a + 9d = 31
⇒ a + 9 (7) = 31
⇒ a + 63 = 31
⇒ a = 31 − 63
⇒ a = − 32
Now, T31 = a + 30d
= − 32 + 30 (7)
= − 32 + 210 = 178
Thus, the 31st term of the given A.P. is 178.

Question. The sum of n terms of an A.P. is 3n2 + 5n. Find the A.P. Hence, find its 16th term.
Answer : We have,
Sn = 3n2 + 5n
∴ S1 = 3 (1)2 + 5 (1)
= 3 + 5 = 8
⇒ T1 = 8 ⇒ a = 8
S2 = 3 (2)2 + 5 (2)
= 12 + 10 = 22
⇒ T2 = 22 − 8 = 14
Now d = T2 − T1 = 14 − 8 = 6
∵ An A.P. is given by,
a, (a + d), (a + 2d), .....
∴ The required A.P. is:
8, (8 + 6), [8 + 2 (6)], .....
⇒ 8, 14, 20, .....
Now, using Tn = a + (n − 1) d, we hve
T16 = a + 15d
= 8 + 15 × 6 = 98
Thus, the 16th term of the A.P. is 98.

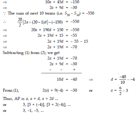
Question. In an A.P. the sum of its first ten terms is –150 and the sum of its next term is –550. Find the A.P.
Answer : Let the first term = a
And the common difference = d
∴ S10 = 10/2 [2a+ (10 − 1)d] = –150
cbse-class-10-mathematics-arithmetic-progressions-worksheet-set-b

Question. The sum of n terms of an A.P. is 5n2 − 3n. Find the A.P. Hence find its 10th term.
Answer : We have:
Sn = 5n2 − 3n
∴ S1 = 5 (1)2 − 3 (1) = 2
⇒ First term T1 = (a) = 2
S2 = 5 (2)2 − 3 (2) = 20 − 6 = 14
⇒ Second term T2 = 14 − 2 = 12
Now the common difference = T2 − T1
⇒ d = 12 − 2 = 10
∵ An A.P. is given by
a, (a + d), (a + 2d) .....
∴ The required A.P. is:
2, (2 + 10), [2 + 2 (10)], .....
⇒ 2, 12, 22, .....
Now, using Tn = a + (n − 1) d, we have
T10 = 2 + (10 − 1) × 10
= 2 + 9 × 10
= 2 + 90 = 92.

Extra based Questions :

In which of the following situations, does the list of numbers involved make an arithmetic progression, and why?

Question. The taxi fare after each km when the fare is ₹ 15 for the first km and ₹ 8 for each additional km.
Answer : Let us consider,
The first term (T1) = Fare for the first km = ₹ 15 since, the taxi fare beyond the first km is ₹ 8 for each additional km. ⇒ T1 = 15
∴ Fare for 2 km = ₹ 15 + 1 × ₹ 8 ⇒ T2 = a + 8              [where a = 15]
Fare for 3 km = ₹ 15 + 2 × ₹ 8 ⇒ T3 = a + 16
Fare for 4 km = ₹ 15 + 3 × ₹ 8 ⇒ T4 = a + 24
Fare for 5 km = ₹ 15 + 4 × ₹ 8 ⇒ T5 = a + 32
Fare for n km = ₹ 15 + (n − 1) 8 ⇒ Tn = a + (n − 1) 8
We see that above terms form an A.P.

Question. The amount of air present in a cylinder when a vacuum pump removes 1/4 of the air remaining in the cylinder at a time.
Answer : Let the amount of air in the cylinder = x
∴ Air removed in 1st stroke = 1/4 x
cbse-class-10-mathematics-arithmetic-progressions-worksheet-set-b

Question. The cost of digging a well after every metre of digging, when it costs ₹ 150 for the first metre and rises by ₹ 50 for each subsequent metre.
Answer : Here, The cost of digging for 1st metre = ₹ 150
The cost of digging for first 2 metres = ₹ 150 + ₹ 50 = ₹ 200
The cost of digging for first 3 metres = ₹ 150 + (₹ 50) × 2 = ₹ 250
The cost of digging for first 4 metres = ₹ 150 + (₹ 50) × 3 = ₹ 300
∴ The terms are: 150, 200, 250, 300, ...
Since, 200 − 150 = 50
And 250 − 200 = 50
⇒ (200 − 150) = (250 − 200)
∴ The above terms form an A.P.

Question. The amount of money in the account every year, when ₹ 10,000 is deposited at compound interest at 8% per annum.
Answer :
cbse-class-10-mathematics-arithmetic-progressions-worksheet-set-b

Write first four terms of the AP, when the first term a and the common difference d are given as follows:

Question. a = 10, d = 10
Answer : Tn = a + (n − 1) d
∴ For a = 10 and d = 10, we have:
T1 = 10 + (1 − 1) × 10 = 10 + 0 = 10
T2 = 10 + (2 − 1) × 10 = 10 + 10 = 20
T3 = 10 + (3 − 1) × 10 = 10 + 20 = 30
T4 = 10 + (4 − 1) × 10 = 10 + 30 = 40
Thus, the first four terms of A.P. are:
10, 20, 30, 40.

Question. a = − 2, d = 0
Answer : Tn = a + (n − 1) d
∴ For a = − 2 and d = 0, we have:
T1 = −2 + (1 − 1) × 0 = −2 + 0 = −2
T2 = −2 + (2 − 1) × 0 = −2 + 0 = −2
T3 = −2 + (3 − 1) × 0 = −2 + 0 = −2
T4 = −2 + (4 − 1) × 0 = −2 + 0 = −2
∴ The first four terms are:
− 2, − 2, − 2, − 2.

Question. a = 4, d = − 3
Answer : Tn = a + (n − 1) d
∴ For a = 4 and d = − 3, we have:
T1 = 4 + (1 − 1) × (− 3) = 4 + 0 = 4
T2 = 4 + (2 − 1) × (− 3) = 4 + (− 3) = 1
T3 = 4 + (3 − 1) × (− 3) = 4 + (− 6) = − 2
T4 = 4 + (4 − 1) × (− 3) = 4 + (− 9) = − 5
Thus, the first four terms are:
4, 1, − 2, − 5.

Question. a = − 1, d = 1/2
Answer : Tn = a + (n − 1) d
For a = − 1 and d = 1/2 , we get
T1 = − 1 + (1 − 1) × 1/2 = − 1 + 0 = − 1
T2 = − 1 + (2 − 1) × 1/2 = − 1 + 1/2 = − 1/2
T3 = − 1 + (3 − 1) × 1/2 = − 1 + 1 = 0
T4 = − 1 + (4 − 1) × 1/2 = − 1 + 3/2 = 1/2
∴ The first four terms are:
− 1, − 1/2, 0, 1/2.

Question. a = − 1.25, d = − 0.25 
Answer : Tn = a + (n − 1) d
∴ For a = − 1.25 and d = − 0.25, we get
T1 = − 1.25 + (1 − 1) × (− 0.25) = − 1.25 + 0 = − 1.25
T2 = − 1.25 + (2 − 1) × (− 0.25) = − 1.25 + (− 0.25) = − 1.50
T3 = − 1.25 + (3 − 1) × (− 0.25) = − 1.25 + (− 0.50) = − 1.75
T4 = − 1.25 + (4 − 1) × (− 0.25) = − 1.25 + (− 0.75) = − 2.0
Thus, the four terms are:
− 1.25, − 1.50, − 1.75, − 2.0

For the following APs, write the first term and the common difference:

Question. 3, 1, − 1, − 3, ...
Answer : We have: 3, 1, − 1, − 3, .....
⇒ T1 = 3 ⇒ a = 3
T2 = 1
T3 = − 1
T4 = − 3
∴ T2 − T1 = 1 − 3 = − 2
T4 − T3 = − 3 − (− 1) = − 3 + 2 = − 2 } ⇒ d = − 2
Thus, a = 3 and d = − 2

Question. − 5, − 1, 3, 7, ...
Answer : We have: − 5, − 1, 3, 7, .....
⇒ T1 = − 5 }   ⇒ a = − 5
T2 = − 1     }  ⇒ d = T2 − T1 = − 1 − (− 5) = − 1 + 5 = 4
T3 = 3        }  ⇒ d = − 1 + 5 = 4
T4 = 7        }      T4 − T3 = 7 − 3 = 4 } ⇒ d = 4
Thus, a = − 5 and d = 4

Question. 1/3, 5/3, 9/3, 13/3, ...
Answer : 1/3, 5/3, 9/3, 13/3, .....
⇒ T1 = 1/3 ⇒ a = 1/3
T2 = 5/3 ⇒ d = T2 − T1 = 5/3 − 1/3 = 4/3
T3 = 9/13  } ⇒ d = T4 − T3 = 13/3 − 9/3 = 4/3
T4 = 13/3  }
Thus, a = 1/3 and d = 4/3

Question. 0.6, 1.7, 2.8, 3.9, ... 
Answer : We have: 0.6, 1.7, 2.8, 3.9, .....
⇒ T1 = 0.6 ⇒ a = 0.6
T2 = 1.7 ⇒ d = T2 − T1 = 1.7 − 0.6 = 1.1
T3 = 2.8
T4 = 3.9 ⇒ d = T4 − T3 = 3.9 − 2.8 = 1.1
Thus, a = 0.6 and d = 1.1

Which of the following are APs? If they form an AP, find the common difference d and write three more terms.

Question. 2, 4, 8, 16, ...
Answer : We have: 2, 4, 8, 16, .....
T= 2 }
T2 = 4 }   ⇒ T2 − T1 = 4 − 2 = 2 
T3 = 8         }
T4 = 16       } ⇒ T4 − T3 = 16 − 8 = 8
Since 2 ≠ 8  }
∴ T2 − T1 ≠ T4 − T3
∴ The given numbers do not form an A.P.

Question. 2, 5/2, 3, 7/2, ...
Answer : We have: 2, 5/2, 3, 7/2, .....
∴ T1 = 2, T2 = 5/2, T3 = 3, T4 = 7/2
T2 − T1 = 5/2 −2 = 1/2
T3 − T2 = 3 − 5/2 = 1/2
T4 − T3 = 7/2 −3 = 1/2
∴ T2 − T1 = T3 − T2 = T4 − T3 = 1/2 ⇒ d = 1/2
∴ The given numbers form an A.P.
∴ T5 = T4 + 1/2 = 7/2 + 1/2 = 4
T6 = T5 + 1/2 = 4+1/2 = 9/2
T7 = T6 + 1/2 = 9/2+1/2 = 5
Thus, d = 1/2 and T5 = 4, T6 = 9/2 and T7 = 5

Question. − 1.2, − 3.2, − 5.2, − 7.2, ...
Answer : We have: − 1.2, − 3.2, − 5.2, − 7.2, .....
∴ T1 = −1.2, T2 = −3.2, T3 = −5.2, T4 = −7.2
T2 − T1 = −3.2 + 1.2 = −2
T3 − T2 = −5.2 + 3.2 = −2
T4 − T3 = −7.2 + 5.2 = −2
∴ T2 − T1 = T3 − T2 = T4 − T3 = −2 ⇒ d = −2
∴ The given numbers form an A.P.
Such that d = − 2.
Now, T5 = T4 + (− 2) = − 7.2 + (− 2) = − 9.2
T6 = T5 + (− 2) = − 9.2 + (− 2) = − 11.2
T7 = T6 + (− 2) = − 11.2 + (− 2) = − 13.2
Thus, d = − 2 and T5 = − 9.2, T6 = − 11.2 and T7 = − 13.2

Question. − 10, − 6, − 2, 2, ...
Answer : We have: − 10, − 6, − 2, 2, .....
∴ T1 = −10, T2 = −6, T3 = −2, T4 = 2
T2 − T1 = −6 + 10 = 4
T3 − T2 = −2 + 6 = 4
T4 − T= 2 + 2 = 4
∴ T2 − T1 = T3 − T2 = T4 − T= 4 ⇒ d = 4
∴ The given numbers form an A.P.
Now, T5 = T4 + 4 = 2 + 4 = 6
T6 = T5 + 4 = 6 + 4 = 10
T7 = T6 + 4 = 10 + 4 = 14
Thus, d = 4 and T5 = 6, T6 = 10, T7 = 14

Question. 3, 3 + √2 , 3 + 2√2 , 3 + 3√2 , ...
Answer : We have:
cbse-class-10-mathematics-arithmetic-progressions-worksheet-set-b

Question. 0.2, 0.22, 0.222, 0.2222, ...
Answer : We have: 0.2, 0.22, 0.222, 0.2222, .....
∴ T1 = 0.2 }
T2 − 0.22  }     ⇒ T2 − T1 = 0.2 = 0.02
T3 = 0.222    } ⇒ T4 − T3 = 0.2222 − 0.222 = 0.0002.
T4 = 0.2222  }
Since,
T2 − T1 ≠ T4 − T3 
∴ The given numbers do not form an A.P.

Question. 0, − 4, − 8, − 12, ...
Answer : We have: 0, − 4, − 8, − 12, .....
∴ T1 = 0, T2 = −4, T3 = −8, T4 = −12
T2 − T1= −4 − 0 = −4
T3 − T2 = −8 + 4 = −4
T4 − T3 = −12 + 8 = −4
∴ T2 − T1 = T3 − T2 = T4 − T3 = −4 ⇒ d = −4
∴ The given numbers form an A.P.
Now, T5 = T4 + (− 4) = − 12 + (− 4) = − 16
T6 = T5 + (− 4) = − 16 + (− 4) = − 20
T7 = T6 + (− 4) = − 20 + (− 4) = − 24
Thus, d = − 4 and T5 = − 16, T6 = − 20, T7 = − 24

Question. −1/2, −1/2, −1/2, −1/2, ...
Answer : We have:
cbse-class-10-mathematics-arithmetic-progressions-worksheet-set-b

Question. 1, 3, 9, 27, ...
Answer : We have: 1, 3, 9, 27, .....
Here, T1 = 1 }  ⇒ T2 − T1 = 3 − 1 = 2
T2 = 3          }
T3 = 9      }     ⇒ T4 − T3 = 27 − 9 = 18
T4 = 27    }
∴ T2 − T1 ≠ T4 − T3 
∴ The given numbers do not form an A.P.

Question. a, 2a, 3a, 4a, ...
Answer : We have: a, 2a, 3a, 4a, .....
∴ T1 = a, T2 = 2a, T= 3a, T4 = 4a
T2 − T1 = 2a − a = a
T3 − T2 = 3a − 2a = a
T− T3 = 4a − 3a = a
∴ T2 − T1 = T3 − T2 = T− T3 = a ⇒ d = a
∴ The numbers form an A.P.
Now, T5 = T+ a = 4a + a = 5a
T6 = T5 + a = 5a + a = 6a
T7 = T6 + a = 6a + a = 7a
Thus, d = a and T5 = 5a, T6 = 6a, T7 = 7a

Question. a, a2, a3, a4, ...
Answer :We have: a, a2, a3, a4, .....
∴ T1 = a }    ⇒ T2 − T1 = a2 − a = a [a − 1]
T2 = a2   }
T3 = a3      } ⇒ T− T3 = a4 − a3 = a3 [a − 1]
T= a4      }
Since,
T2 − T1 ≠ T− T3 ∴ The given terms are not in A.P.

Question. √2 , √8 , √18 , √32 , ...
Answer : We have: √2 , √8 , √18 , √32 , .....
∴ T1 = √2 , T2 = 8√ , T3 = √18 , T= √32
T2 − T1 = √8 − √2 = 2√2 − √2 = 2√
T3 − T2 = √18 − √8 = 3√2 − 2√2 = √2
T− T3 = √32 − √18 = 4√2 − 3√2 = √2
∴ T2 − T1 = T3 − T2 = T− T3 = √2 ⇒ d = √2
∴ The given numbers form an A.P.
Now, T5 = 4√2 + √2 = 5√2 = √50
T6 = 5√2 + √2 = 6√2 = √72
T7 = 6√2 + √2 = 7√2 = √98
Thus, d = √2 and T5 = √50 , T6 = √72 , T7 = √98

Question. √3 , √6 , √9 , √12 , ...
Answer : We have: √3 , √6 , √9 , √12 , .....
∴ T1 = √3 }      ⇒ T2 − T1 = √6 − √3 = √3(√2 − 1)
T1 = √6   } 
and T3 = √9  } ⇒ T− T3 = √12 − √9 = 2√3 − 3 = √3(2 − √3)
T= √12      } 
∴ T2 − T1 ≠ T− T3 
⇒ The given terms do not form an A.P.

Question. 12, 32, 52, 72, ...
Answer : We have: 12, 32, 52, 72, .....
∴ T1 = 12 = 1 } T  ⇒ T2 − T1 = 9 − 1 = 8
T2 = 32 = 9   }
T3 = 52 = 25    }   ⇒ T− T3 = 49 − 25 = 24
T= 72 = 49    }
∴ T2 − T1 ≠ T− T3 
∴ The given terms do not form an A.P.

Fill in the blanks in the following table, given that ‘a’ is the first term, ‘d’ the common difference and an the nth term of the A.P.:

                 a  d  n an
Question. 7  3  8  …
Answer : an = a + (n − 1) d
⇒ a8 = 7 + (8 − 1) 3
= 7 + 7 × 3
= 7 + 21
⇒ a8 = 28

                       a  d    n  an
Question. − 18  …  10  0
Answer : an = a + (n − 1) d
⇒ a10 = − 18 + (10 − 1) d
⇒ 0 = − 18 + 9d
⇒ 9d = 18 ⇒ d = 18/9 = 2
∴ d = 2

                  a     d    n    an
Question. …  − 3  18  − 5
Answer : an = a + (n − 1) d
⇒ − 5 = a + (18 − 1) × (− 3)
⇒ − 5 = a + 17 × (− 3)
⇒ − 5 = a − 51
⇒ a = − 5 + 51 = 46
Thus, a = 46

                       a       d   n  an
Question. − 18.9  2.5  …  3.6
Answer : an = a + (n − 1) d
⇒ 3.6 = − 18.9 + (n − 1) × 2.5
⇒ (n − 1) × 2.5 = 3.6 + 18.9
⇒ (n − 1) × 2.5 = 22.5
⇒ n − 1 = 22.5/2 5 = 9
⇒ n = 9 + 1 = 10
Thus, n = 10

                  a   d    n    an
Question. 3.5  0  105  …
Answer : an = a + (n − 1) d
⇒ an = 3.5 + (105 − 1) × 0
⇒ an = 3.5 + 104 × 0
⇒ an = 3.5 + 0 = 3.5
Thus, an = 3.5

Question. Which term of the A.P.: 3, 8, 13, 18, ..., is 78?
Answer : Let the nth term = 78
Here, a = 3, ⇒ T1 = 3 and T2 = 8
∴ d = T2 − T1 = 8 − 3 = 5
Now, Tn = a + (n − 1) d
⇒ 78 = 3 + (n − 1) × 5
⇒ 78 − 3 = (n − 1) × 5
⇒ 75 = (n − 1) × 5
⇒ (n − 1) = 75 ÷ 5 = 15
⇒ n = 15 + 1 = 16
Thus, 78 is the 16th term of the given A.P.

Find the number of terms in each of the following A.Ps. :

Question. 7, 13, 19, ..., 205
Answer : Here, a = 7
d = 13 − 7 = 6
Let the number of terms be n
∴ Tn = 205
Now, Tn = a + (n − 1) × d
⇒ 7 + (n − 1) × 6 = 205
⇒ (n − 1) × 6 = 205 − 7 = 198
⇒ n − 1 = 198/6 = 33
∴ n = 33 + 1 = 34
Thus, the required number of terms is 34.

Question. 18, 15 1/2, 13, ..., − 47
Answer : Here, a = 18
d = 15 1/2 − 18 = − 2 1/2
Let the nth term = − 47
cbse-class-10-mathematics-arithmetic-progressions-worksheet-set-b

Question. Check whether − 150 is a term of the A.P.: 11, 8, 5, 2 ...
Answer : For the given A.P., we have 
a = 11
d = 8 − 11 = − 3
Let − 150 is the nth term of the given A.P.
∴ Tn = a + (n − 1) d
⇒ − 150 = 11 + (n − 1) × (− 3)
⇒ − 150 − 11 = (n − 1) × (− 3)
⇒ − 161 = (n − 1) × (− 3)
⇒ n − 1 = − 161/− 3 = 161/3
⇒ n = 161/3 + 1 = 164/3 = 54 2/3
But n should be a positive integer.
Thus, − 150 is not a term of the given A.P.

Question. Find the 31st term of an A.P. whose 11th term is 38 and the 16th term is 73.
Answer : Here, T31 = ?
cbse-class-10-mathematics-arithmetic-progressions-worksheet-set-b

Question. An A.P. consists of 50 terms of which 3rd term is 12 and the last term is 106. Find the 29th term.
Answer : Here, n = 50
T3 = 12
Tn = 106 ⇒ T50 = 106
If first term = a and the common difference = d
∴ T3 = a + 2d = 12
T50 = a + 49d = 106 
⇒ T50 − T3 ⇒ a + 49d − (a + 2d) = 106 − 12
⇒ 47d = 94
⇒ d = 94/47 = 2
From (1), we have
a + 2d = 12 ⇒ a + 2 (2) = 12
⇒ a = 12 − 4 = 8
Now, T29 = a + (29 − 1) d
= 8 + (28) × 2
= 8 + 56 = 64
Thus, the 29th term is 64.

Question. If the 3rd and the 9th terms of an A.P. are 4 and − 8 respectively, which term of this A.P. is zero ?
Answer : Here, T3 = 4 and T9 = − 8
∴ Using Tn = a + (n − 1) d
⇒ T3 = a + 2d = 4 
T9 = a + 8d = − 8 
Subtracting (1) from (2) we get
(a + 8d) − (a + 2d) = − 8 − 4
⇒ 6d = − 12
⇒ d = −12/6 = 2
Now, from (1), we have:
a + 2d = 4
⇒ a + 2 (− 2) = −4
⇒ a − 4 = 4
⇒ a = 4 + 4 = 8
Let the nth term of the A.P. be 0.
∴ Tn = a + (n − 1) d = 0
⇒ 8 + (n − 1) × (− 2) = 0
⇒ (n − 1) × − 2 = − 8
⇒ n − 1 = −8/−2 = 4
⇒ n = 4 + 1 = 5
Thus, the 5th term of the A.P. is 0. 

Question. The 17th term of an A.P. exceeds its 10th term by 7. Find the common difference.
Answer : Let ‘a’ be the first term and ‘d’ be the common difference of the given A.P.
Now, using Tn = a + (n − 1) d
T17 = a + 16d
T10 = a + 9d
According to the condition,
Tn + 7 = T17
⇒ (a + 9d) + 7 = a + 16d
⇒ a + 9d − a − 16d = − 7
⇒ − 7d = − 7 ⇒ d = 1
Thus, the common difference is 1.

Question. Which term of the A.P.: 3, 15, 27, 39, ... will be 132 more than its 54th term?
Answer : Here, a = 3
d = 15 − 3 = 12
Using Tn = a + (n − 1) d, we get
T54 = a + 53d
= 3 + 53 × 12
= 3 + 636 = 639
Let an be 132 more than its 54th term.
∴ an = T54 + 132
⇒ an = 639 + 132 = 771
Now an = a + (n − 1) d = 771
⇒ 3 + (n − 1) × 12 = 771
⇒ (n − 1) × 12 = 771 − 3 = 768
⇒ (n − 1) = 768/12 = 64
⇒ n = 64 + 1 = 65
Thus, 132 more than 54th term is the 65th term.

Question. Two A.Ps. have the same common difference. The difference between their 100th terms is 100, what is the difference between their 1000th terms?
Answer : Let for the 1st A.P., the first term = a
∴ T100 = a + 99d
And for the 2nd A.P., the first term = a′
∴ T′100 = a′ + 99d
According to the condition, we have:
T100 − T′100 = 100
⇒ a + 99d − (a′ + 99d) = 100
⇒ a − a′ = 100
Let, T′1000 − T′1000 = x
∴ a + 999d − (a′ + 999d) = x
⇒ a − a′ = x ⇒ x = 100
∴ The difference between the 1000th terms is 100.

Question. How many three-digit numbers are divisible by 7?
Answer : The first three digit number divisible by 7 is 105.
The last such three digit number is 994.
∴ The A.P. is 105, 112, 119, ....., 994
Here, a = 105 and d = 7
Let n be the required number of terms.
∴ Tn = a + (n − 1) d
⇒ 994 = 105 + (n − 1) × 7
⇒ (n − 1) × 7 = 994 − 105 = 889
⇒ (n − 1) = 889/7 = 127
⇒ n = 127 + 1 = 128
Thus, 128 numbers of 3-digit are divisible by 7.

Question. How many multiples of 4 lie between 10 and 250?
Answer : ∵ The first multiple of 4 beyond 10 is 12.
The multiple of 4 just below 250 is 248.
∴ The A.P. is given by:
12, 16, 20, ....., 248
Here, a = 12 and d = 4
Let the number of terms = n
∴ Using Tn = a + (n − 1) d, we get
∴ Tn = 12 + (n − 1) × 4
⇒ 248 = 12 + (n − 1) × 4
⇒ (n − 1) × 4 = 248 − 12 = 236
⇒ n − 1 = 236/4 = 59
⇒ n = 59 + 1 = 60
Thus, the required number of terms = 60.

Question. For what value of n, are the nth terms of two A.Ps.: 63, 65, 67, ... and 3, 10, 17, ... equal?
Answer : For the 1st A.P.
∵ a = 63 and d = 65 − 63 = 2
∴ Tn = a + (n − 1) d
⇒ Tn = 63 + (n − 1) × 2
For the 2nd A.P.
∵ a = 3 and d = 10 − 3 = 7
∴ Tn = a + (n − 1) d
⇒ Tn = 3 + (n − 1) × 7
Now, according to the condition,
3 + (n − 1) × 7 = 63 + (n − 1) × 2
⇒ (n − 1) × 7 − (n − 1) × 2 = 63 − 3
⇒ 7n − 7 − 2n + 2 = 60
⇒ 5n − 5 = 60
⇒ 5n = 60 + 5 = 65
⇒ n = 65/5 = 13
Thus, the 13th terms of the two given A.Ps. are equal.

Question. Determine the A.P. whose third term is 16 and the 7th term exceeds the 5th term by 12.
Answer : Let the first term = a and the common difference = d.
∴ Using Tn = a + (n − 1) d, we have:
T3 = a + 2d
⇒ a + 2d = 16 
And T7 = a + 6d, T5 = a + 4d
According to the condition,
T7 − T5 = 12
⇒ (a + 6d) − (a + 4d) = 12
⇒ a + 6d − a − 4d = 12
⇒ 2d = 12
⇒ d = 12/2 = 6 
Now, from (1) and (2), we have:
a + 2 (6) = 16
⇒ a + 12 = 16
⇒ a = 16 − 12 = 4
∴ The required A.P. is
4, [4 + 6], [4 + 2 (6)], [4 + 3 (6)], .....
or 4, 10, 16, 22, .....

Question. Find the 20th term from the last term of the A.P.: 3, 8, 13, ..., 253.
Answer : We have, the last term l = 253
Here, d = 8 − 3 = 5
Since, the nth term before the last term is given by l − (n − 1) d,
∴ We have
20th term from the end = l − (20 − 1) × 5
= 253 − 19 × 5
= 253 − 95 = 158

Question. The sum of the 4th and 8th terms of an A.P. is 24 and the sum of the 6th and 10th terms is 44.
Find the first three terms of the A.P.
Answer : Let the first term = a
And the common difference = d
∴ Using Tn = a + (n − 1) d,
T4 + T8 = 24
⇒ (a + 3d) + (a + 7d) = 24
⇒ 2a + 10d = 24
cbse-class-10-mathematics-arithmetic-progressions-worksheet-set-b

Question. Subba Rao started work in 1995 at an annual salary of ₹ 5000 and received an increment of ₹ 200 each year. In which year did his income reach ₹ 7000?
Answer : Here, a = ₹ 5000 and d = ₹ 200
Say, in the nth year he gets ₹ 7000.
∴ Using Tn = a + (n − 1) d, we get
7000 = 5000 + (n − 1) × 200
⇒ (n − 1) × 200 = 7000 − 5000 = 2000
⇒ n − 1 = 2000/200 = 10
⇒ n = 10 + 1 = 11
Thus, his income becomes ₹ 7000 in 11 years.

Find the sum of the following A.Ps. :

Question. 2, 7, 12, ..., to 10 terms.
Answer : Here, a = 2
d = 7 − 2 = 5
n = 10
Since, Sn = n/2 [2a + (n − 1) d]
∴ S10 = 10/2 [2 × 2 + (10 − 1) × 5]
⇒ S10 = 5 [4 + 9 × 5]
⇒ S10 = 5 [49] = 245
Thus, the sum of first 10 terms is 245.

Question. − 37, − 33, − 29, ..., to 12 terms.
Answer : We have:
a = − 37
d = − 33 − (− 37) = 4
n = 12
∴ Sn = n/2 [2a + (n − 1) d]
⇒ S12 = 12/2 [2 (− 37) + (12 − 1) × 4]
= 6 [− 74 + 11 × 4]
= 6 [− 74 + 44]
= 6 × [− 30] = − 180
Thus, sum of first 12 terms = −180.

Question. 0.6, 1.7, 2.8, ..., to 100 terms.
Answer : Here, a = 0.6
d = 1.7 − 0.6 = 1.1
n = 100
∴ Sn = n/2 [2a + (n − 1) d]
S100 = 100/2 [2 (0.6) + (100 − 1) × 1.1]
= 50 [1.2 + 99 × 1.1]
= 50 [1.2 + 108.9]
= 50 [110.1]
= 5505
Thus, the required sum of first 100 terms is 5505.

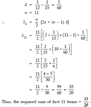
Question. 1/15, 112, 110, ..., to 11 terms.
Answer : Here, a = 1/15
cbse-class-10-mathematics-arithmetic-progressions-worksheet-set-b

Find the sums given below:

Question. 7 + 10 1/2 + 14+ ... + 84
Answer : Here, a = 7
d = 10 1/2 −7 = 3 1/2 = 7/2
l = 84
Let n be the number of terms
∴ Tn = a + (n − 1) d
⇒ 84 = 7 + (n − 1) × 7/2
⇒ (n − 1) × 7/2 = 84 − 7 = 77
⇒ n − 1 = 77 × 2/7  = 22
⇒ n = 22 + 1 = 23
Now, Sn = n/2 (a + l)
⇒ S23 = 23/2 (7 + 84)
= 23/2 × 91 = 2093/2 = 1046 1/2
Thus, the required sum = 1046 1/2.

Question. 34 + 32 + 30 + ... + 10
Answer : Here, a = 34
d = 32 − 34 = − 2
l = 10
Let the number of terms be n
cbse-class-10-mathematics-arithmetic-progressions-worksheet-set-b

Question. − 5 + (− 8) + (− 11) + ... + (− 230)
Answer : Here, a = − 5
d = − 8 − (− 5) = − 3
l = − 230
Let n be the number of terms.
∴ Tn = − 230
⇒ − 230 = − 5 + (n − 1) × (− 3)
⇒ (n − 1) × (− 3) = − 230 + 5 = − 225
⇒ n − 1 = −225/−3 = 75
⇒ n = 75 + 1 = 76
Now, S76 = 76/2 [(− 5) + (− 230)]
= 38 × (− 235) 
= − 8930
∴ The required sum = − 8930.

Question. given a = 5, d = 3, an = 50, find n and Sn.
Answer : Here, a = 5, d = 3 and an = 50 = l
∵ an = a + (n − 1) d
∴ 50 = 5 + (n − 1) × 3
⇒ 50 − 5 = (n − 1) × 3
⇒ (n − 1) × 3 = 45
⇒ (n − 1) = 45/3 = 15
⇒ n = 15 + 1 = 16
Now Sn = n/2 (a + l)
= 16/2 (5 + 50)
= 8 (55) = 440
Thus, n = 16 and Sn = 440

Question. given d = 5, S9 = 75, find a and a9.
Answer : Here, d = 5, S= 75
Let the first term of the A.P. is ‘a’.
cbse-class-10-mathematics-arithmetic-progressions-worksheet-set-b

Question. given a = 2, d = 8, Sn = 90, find n and an.
Answer : Here, a = 2, d = 8 and Sn = 90
∵ Sn = n/2 [2a + (n − 1) d]
cbse-class-10-mathematics-arithmetic-progressions-worksheet-set-b

Question. given a = 7, a13 = 35, find d and S13.
Answer : Here, a = 7 and a13 = 35 = l
∴ an = a + (n − 1) d
⇒ 35 = 7 + (13 − 1) d
⇒ 35 − 7 = 12d
⇒ 28 = 12d
⇒ d = 28/12 = 7/3
Now, using
Sn = n/2 (a + l)
S13 = 13/2 (7 + 35)
= 13/2 × 42
= 13 × 21 = 273
Sn = 273 and d = 7/3

Question. given a12 = 37, d = 3, find a and S12.
Answer : Here, a12 = 37 = l and d = 3
Let the first term of the A.P. be ‘a’.
Now a12 = a + (12 − 1) d
⇒ 37 = a + 11d
⇒ 37 = a + 11 × 3
⇒ 37 = a + 33
⇒ a = 37 − 33 = 4
Now, Sn =n/2 (a + l)
⇒ S12 = 12/2 (4 + 37)
⇒ S12 = 6 × (41) = 246
Thus, a = 4 and S12 = 246

Question. given a = 8, an = 62, Sn = 210, find n and d.
Answer : Here, a = 8, an = 62 = l and Sn = 210
Let the common difference = d
cbse-class-10-mathematics-arithmetic-progressions-worksheet-set-b

Question. given an = 4, d = 2, Sn = − 14, find n and a.
Answer : Here, an = 4, d = 2 and Sn = − 14
Let the first term be ‘a’.
∵ an = 4
∴ a + (n − 1) 2 = 4
cbse-class-10-mathematics-arithmetic-progressions-worksheet-set-b

Question. given a = 3, n = 8, S = 192, find d.
Answer : Here, a = 3, n = 8 and Sn = 192
Let the common difference = d.
∵ Sn = n/2 [2a + (n − 1) d]
∴ 192 = 8/2 [2 (3) + (8 − 1) d]
⇒ 192 = 4 [6 + 7d]
⇒ 192 = 24 + 28d
⇒ 28d = 192 − 24 = 168
⇒ d = 168/28 = 6
Thus, d = 6.

Question. given l = 28, S = 144, and there are total 9 terms. Find a.
Answer : Here, l = 28 and S9 = 144
Let the first term be ‘a’.
Then Sn = n/2 (a + l)
⇒ S9 = 9/2 (a + 28)
⇒ 144 = 9/2 (a + 28)
⇒ a + 28 = 144 × 2/9 = 16 × 2 = 32
⇒ a = 32 − 28 = 4
Thus, a = 4.

Question. How many terms of the A.P.: 9, 17, 25, ... must be taken to give a sum of 636?
Answer : Here, a = 9
d = 17 − 9 = 8
Sn = 636
∵ Sn = n/2 [2a + (n − 1) d] = 636
∴ n/2 [(2 × 9) + (n − 1) × 8] = 636
⇒ n [18 + (n − 1) × 8] = 1272
⇒ n (8n + 10) = 1272
⇒ 8n2 + 10n − 1272 = 0
⇒ 4n2 + 5n − 636 = 0
⇒ 4n2 + 53n − 48n − 636 = 0
⇒ n (4n + 53) − 12 (4n + 53) = 0
⇒ (n − 12) (4n + 53) = 0 ⇒ n = 12 and n = − 53/4
Rejecting n = − 53/4 , we have n = 12. 

Question. The first term of an A.P. is 5, the last term is 45 and the sum is 400. Find the number of terms and the common difference.
Answer : Here, a = 5
l = 45 = Tn
Sn = 400
∵ Tn = a + (n − 1) d
∴ 45 = 5 + (n − 1) d
⇒ (n − 1) d = 45 – 5
⇒ (n − 1) d = 40 
Also Sn = n/2 (a + l)
⇒ 400 = n/2 (5 + 45)
⇒ 400 × 2 = n × 50
⇒ n = 400×2/50 = 16
From (1), we get
(16 − 1) d = 40
⇒ 15d = 40
⇒ d = 40/15 = 8/3

Question. The first and the last terms of an A.P. are 17 and 350 respectively. If the common difference is 9, how many terms are there and what is their sum?
Answer : We have,
First term a = 17
Last term l = 350 = Tn
Common difference d = 9
Let the number of terms be ‘n’
∵ Tn = a + (n − 1) d
∴ 350 = 17 + (n − 1) × 9
⇒ (n − 1) × 9 = 350 − 17 = 333
⇒ n − 1 = 333/9 = 37
⇒ n = 37 + 1 = 38
Since, Sn = n/2 (a + l)
∴ S38 = 38/2 (17 + 350)
= 19 (367) = 6973
Thus, n = 38 and Sn = 6973

Question. Find the sum of first 22 terms of an A.P. in which d = 7 and 22nd term is 149.
Answer : Here, n = 22, T22 = 149 = l
d = 7
Let the first term of the A.P. be ‘a’.
∴ Tn = a + (n − 1) d
⇒ Tn = a + (22 − 1) × 7
⇒ a + 21 × 7 = 149
⇒ a + 147 = 149
⇒ a = 149 − 147 = 2
Now, S22 = n/2 [a + l]
⇒ S22 = 22/2 [2 + 149]
= 11 [151] = 1661
Thus S22 = 1661 

Question. Find the sum of first 51 terms of an A.P. whose second and third terms are 14 and 18 respectively.
Answer : Here, n = 51, T2 = 14 and T3 = 18
Let the first term of the A.P. be ‘a’ and the common difference is d.
∴ We have:
cbse-class-10-mathematics-arithmetic-progressions-worksheet-set-b

Question. Find the sum of the first 40 positive integers divisible by 6.
Answer : ∵ The first 40 positive integers divisible by 6 are:
6, 12, 18, ....., (6 × 40).
And, these numbers are in A.P. such that
a = 6
d = 12 − 6 = 6 and an = 6 × 40 = 240 = l
∴ S40 = 40/2 [(2 × 6) + (40 − 1) × 6]
= 20 [12 + 39 × 6]
= 20 [12 + 234]
= 20 × 246 = 4920
OR
Sn = n/2 [a + l]
S40 = 40/2 [6 + 240]
= 20 × 246 = 4920

Question. Find the sum of the first 15 multiples of 8.
Answer : The first 15 multiples of 8 are:
8, (8 × 2), (8 × 3), (8 × 4), ....., (8 × 15)
or 8, 16, 24, 32, ....., 120.
These numbers are in A.P., where
a = 8 and l = 120
∴ S15 = 15/2 [a + l]
= 15/2 [8 + 120]
= 15/2 × 128
= 15 × 64 = 960
Thus, the sum of first positive 15 multiples of 8 is 960.

Question. Find the sum of the odd numbers between 0 and 50.
Answer : Odd numbers between 0 and 50 are:
1, 3, 5, 7, ....., 49
These numbers are in A.P. such that
a = 1 and l = 49
Here, d = 3 − 1 = 2
∴ Tn = a + (n − 1) d
⇒ 49 = 1 + (n − 1) 2
⇒ 49 − 1 = (n − 1) 2
⇒ (n − 1) = 48/2 = 24
∴ n = 24 + 1 = 25
Now, S25 = 25/2 [1 + 49]
= 25/2 [50]
= 25 × 25 = 625
Thus, the sum of odd numbers between 0 and 50 is 625.

Question. A contract on construction job specifies a penalty for delay of completion beyond a certain date as follows: ₹ 200 for the first day, ₹ 250 for the second day, ₹ 300 for the third day, etc., the penalty for each succeeding day being ₹ 50 more than for the preceding day. How much money the contractor has to pay as penalty, if he has delayed the work by 30 days? 
Answer : Here, penalty for delay on
1st day = ₹ 200
2nd day = ₹ 250
3rd day = ₹ 300
...............
...............
Now, 200, 250, 300, ..... are in A.P. such that
a = 200, d = 250 − 200 = 50
∴ S30 is given by
S30 = 30/2 [2 (200) + (30 − 1) × 50]                          [using Sn = n/2[2a+(n−1)d]
= 15 [400 + 29 × 50]
= 15 [400 + 1450]
= 15 × 1850 = 27,750
Thus, penalty for the delay for 30 days is ₹ 27,750.

Question. A sum of ₹ 700 is to be used to give seven cash prizes to students of a school for their overall academic performace. If each prize is ₹ 20 less than its preceding prize, find the value of each of the prizes.
Answer : Sum of all the prizes = ₹ 700
Let the first prize = a
∴ 2nd prize = (a − 20)
3rd prize = (a − 40)
4th prize = (a − 60)
........................................
Thus, we have, first term = a
Common difference = − 20
Number of prizes, n = 7
Sum of 7 terms Sn = 700
Since, Sn = n/2 [2a + (n − 1) d]
⇒ 700 = 7/2 [2 (a) + (7 − 1) × (− 20)]
⇒ 700 = 7/2 [2a + (6 × − 20)]
⇒ 700 × 2/7 = 2a − 120
⇒ 200 = 2a − 120
⇒ 2a = 200 + 120 = 320
⇒ a = 320/2 = 160
Thus, the values of the seven prizes are:
₹ 160, ₹ (160 − 20), ₹ (160 − 40), ₹ (160 − 60), ₹ (160 − 80), ₹ (160 − 100) and ₹ (160 − 120)
⇒ ₹ 160, ₹ 140, ₹ 120, ₹ 100, ₹ 80, ₹ 60 and ₹ 40.

Question. In a school, students thought of planting trees in and around the school to reduce air pollution. It was decided that the number of trees that each section of each class will plant, will be the same as the class, in which they are studying, e.g., a section of Class I will plant 1 tree, a section of Class II will plant 2 trees and so on till Class XII. There are three sections of each class. How many trees will be planted by the students? 
Answer : Number of classes = 12
∵ Each class has 3 sections.
∴ Number of plants planted by class I = 1 × 3 = 3
Number of plants planted by class II = 2 × 3 = 6
Number of plants planted by class III = 3 × 3 = 9
Number of plants planted by class IV = 4 × 3 = 12
.......................................................................................................
Number of plants planted by class XII = 12 × 3 = 36
The numbers 3, 6, 9, 12, ..........., 36 are in A.P.
Here, a = 3 and d = 6 − 3 = 3
∵ Number of classes = 12
i.e., n = 12
∴ Sum of the n terms of the above A.P., is given by
S12 = 12/2 [2 (3) + (12 − 1) 3]                                 [using Sn = n/2[2a+(n−1)d]
= 6 [6 + 11 × 3]
= 6 [6 + 33]
= 6 × 39 = 234
Thus, the total number of trees = 234.

Question. In a potato race, a bucket is placed at the starting point, which is 5 m from the first potato, and the other potatoes are placed 3 m apart in a straight line. There are ten potatoes in the line (see figure).
cbse-class-10-mathematics-arithmetic-progressions-worksheet-set-b
A competitor starts from the bucket, picks up the nearest potato, runs back with it, drops it in the bucket, runs back to pick up the next potato, runs to the bucket to drop it in, and she continues in the same way until all the potatoes are in the bucket. What is the total distance the competitor has to run?
[Hint: To pick up the first potato and the second potato, the total distance (in metres) run by a competitor is 2 × 5 + 2 × (5 + 3)]
Answer : Here, number of potatoes = 10
The up-down distance of the bucket:
From the 1st potato = [5 m] × 2 = 10 m
From the 2nd potato = [(5 + 3) m] × 2 = 16 m
From the 3rd potato = [(5 + 3 + 3) m] × 2 = 22 m
From the 4th potato = [(5 + 3 + 3 + 3) m] × 2 = 28 m
.................................. ...........................
∵ 10, 16, 22, 28, ..... are in A.P. such that
a = 10 and d = 16 − 10 = 6
∴ Using Sn = n/2 [2a + (n − 1) d], we have:
S10 = 10/2 [2 (10) + (10 − 1) × 6]
= 5 [20 + 9 × 6]
= 5 [20 + 54]
= 5 [74]
= 5 × 74 = 370
Thus, the sum of above distances = 370 m.
⇒ The competitor has to run a total distance of 370 m.

Question. Which term of the A.P.: 121, 117, 113, ..., is its first negative term?
[Hint: Find n for an < 0] 
Answer : We have the A.P. having a = 121 and d = 117 − 121 = − 4
∴ an = a + (n − 1) d
= 121 + (n − 1) × (− 4)
= 121 − 4n + 4
= 125 − 4n
For the first negative term, we have
an < 0
⇒ (125 − 4n) < 0
⇒ 125 < 4n
⇒ 125/4 < n
⇒ 31 1/4 < n
or n > 31 1/4
Thus, the first negative term is 32nd term. 

 
 

CBSE Class 10 Mathematics Arithmetic Progressions Worksheet Set B 1

CBSE Class 10 Mathematics Arithmetic Progressions Worksheet Set B 2

CBSE Class 10 Mathematics Arithmetic Progressions Worksheet Set B 3

 

 

Please click on below link to download CBSE Class 10 Mathematics Arithmetic Progressions Worksheet Set B

Chapter 5 Arithmetic Progression CBSE Class 10 Mathematics Worksheet

Students can use the Chapter 5 Arithmetic Progression practice sheet provided above to prepare for their upcoming school tests. This solved questions and answers follow the latest CBSE syllabus for Class 10 Mathematics. You can easily download the PDF format and solve these questions every day to improve your marks. Our expert teachers have made these from the most important topics that are always asked in your exams to help you get more marks in exams.

NCERT Based Questions and Solutions for Chapter 5 Arithmetic Progression

Our expert team has used the official NCERT book for Class 10 Mathematics to create this practice material for students. After solving the questions our teachers have also suggested to study the NCERT solutions  which will help you to understand the best way to solve problems in Mathematics. You can get all this study material for free on studiestoday.com.

Extra Practice for Mathematics

To get the best results in Class 10, students should try the Mathematics MCQ Test for this chapter. We have also provided printable assignments for Class 10 Mathematics on our website. Regular practice will help you feel more confident and get higher marks in CBSE examinations.

Where can I download the latest PDF for CBSE Class 10 Mathematics Arithmetic Progressions Worksheet Set 02?

You can download the teacher-verified PDF for CBSE Class 10 Mathematics Arithmetic Progressions Worksheet Set 02 from StudiesToday.com. These practice sheets for Class 10 Mathematics are designed as per the latest CBSE academic session.

Are these Mathematics Class 10 worksheets based on the 2026-27 competency-based pattern?

Yes, our CBSE Class 10 Mathematics Arithmetic Progressions Worksheet Set 02 includes a variety of questions like Case-based studies, Assertion-Reasoning, and MCQs as per the 50% competency-based weightage in the latest curriculum for Class 10.

Do you provide solved answers for CBSE Class 10 Mathematics Arithmetic Progressions Worksheet Set 02?

Yes, we have provided detailed solutions for CBSE Class 10 Mathematics Arithmetic Progressions Worksheet Set 02 to help Class 10 and follow the official CBSE marking scheme.

How does solving CBSE Class 10 Mathematics Arithmetic Progressions Worksheet Set 02 help in exam preparation?

Daily practice with these Mathematics worksheets helps in identifying understanding gaps. It also improves question solving speed and ensures that Class 10 students get more marks in CBSE exams.

Is there any charge for the Class 10 Mathematics practice test papers?

All our Class 10 Mathematics practice test papers and worksheets are available for free download in mobile-friendly PDF format. You can access CBSE Class 10 Mathematics Arithmetic Progressions Worksheet Set 02 without any registration.