Access the latest CBSE Class 12 Biology Sexual Principles of Inheritance And Variation Worksheet. We have provided free printable Class 12 Biology worksheets in PDF format, specifically designed for Chapter 4 Principles of Inheritance and Variation. These practice sets are prepared by expert teachers following the 2025-26 syllabus and exam patterns issued by CBSE, NCERT, and KVS.
Chapter 4 Principles of Inheritance and Variation Biology Practice Worksheet for Class 12
Students should use these Class 12 Biology chapter-wise worksheets for daily practice to improve their conceptual understanding. This detailed test papers include important questions and solutions for Chapter 4 Principles of Inheritance and Variation, to help you prepare for school tests and final examination. Regular practice of these Class 12 Biology questions will help improve your problem-solving speed and exam accuracy for the 2026 session.
Download Class 12 Biology Chapter 4 Principles of Inheritance and Variation Worksheet PDF
MULTIPLE CHOICE QUESTIONS
Question. Pure line breed refers to
(a) homozygosity
(b) heterozygosity
(c) linkage
(d) both b & c
Answer. A
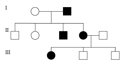
Question.Given below is a pedigree chart of a family with five children. It shows the inheritance of attached earlobes as opposed to the free ones. The squares represent the male individuals and circles the female individuals. Which one of the following conclusions drawn is correct?

(a) The parents are homozygous recessive.
(b) The trait is Y-linked.
(c) The parents are homozygous dominant.
(d) The parents are heterozygous.
Answer. D
Question. If a homozygous red flowered plant is crossed with a homozygous white flowered plant, the offsprings would be [2002]
(a) all red flowered
(b) half red flowered
(c) half white flowered
(d) all white flowered
Answer. A
Question. Which disease has XXY chromosome constitution?
(a) Down’s syndrome
(b) Turner’s syndrome
(c) Klinefelter’s syndrome
(d) Okazaki syndrome
Answer. C
Question. Barr-body in mammals represents
(a) One of the two X chromosomes in somatic cells of females.
(b) All heterochromatin of male & female cells.
(c) Y chromosomes of male.
(d) All heterochromatin of female cells
Answer. A
Question. Genes of which one of the following is present exclusively on the X-chromosome in humans?
(a) Baldness
(b) Red-green colour blindness
(c) Facial hair/moustaches in males
(d) Night blindness
Answer. B
Question. XO chromosomal abnormality in humans causes
(a) Turner’s syndrome
(b) Down’s syndrome
(c) Patau’s syndrome
(d) Klinefelter’s syndrome
Answer. A
Question. Mirabilis jalapa shows
(a) codominance
(b) incomplete dominance
(c) dominance
(d) complementary genes
Answer. B
Question. The formation of multivalents at meiosis in diploid organism is due to
(a) monosomy
(b) deletion
(c) inversion
(d) reciprocal translocation
Answer. D
Question. In India, we find mangoes with different flavours, colours, fibre content, sugar content and even shelf-life. The large variation is on account of
(a) species diversity
(b) induced mutations
(c) genetic diversity
(d) hybridization
Answer. C
Question. Which one of the following pairs of features is a good example of polygenic inheritance?
(a) Human height and skin colour.
(b) ABO blood group in humans and flower colour of Mirabilis jalapa.
(c) Hair pigment of mouse and tonque rolling in humans.
(d) Human eye colour and sickle cell anaemia.
Answer. A
Question. Gene which suppresses other gene’s activity but does not lie on the same locus is called as
(a) epistatic
(b) supplementary
(c) hypostatic
(d) codominant
Answer. A
Question. Polygenic genes show
(a) similar genotype
(b) different phenotype
(c) different karyotype
(d) different genotype
Answer. B
Question. In Huntington’s disease, the unaffected persons are homozygous for normal allele h. The following is erroneous because

B-142 Topicwise AIIMS Solved Papers – BIOLOGY
(a) it shows both male and female affected by Huntingtons disease
(b) either person 6 or 7 should have the disease, if individual 11 shows the disease.
(c) at least one of the 2 children (8, 9) should have the disease
(d) all of these
Answer. B
Question. Discontinuous variations are
(a) essential features
(b) acquired characters
(c) non-essential changes
(d) mutations
Answer. D
Question. Bird females have chromosome arrangement as
(a) XY
(b) XO
(c) WZ
(d) WW
Answer. C
Question. Gene pool is referred to
(a) the genetic drift caused in a population
(b) aggregate of all genes and their alleles in a population.
(c) deletion of non essential genes.
(d) induce cell division
Answer. B
Question. Given below is a highly simplified representation of the human sex chromosomes from a karyotype.

The genes a and b could be of
(a) colour blindness and body height
(b) attached ear lobe and Rhesus blood group
(c) haemophilia and red-green colour blindness
(d) phenylketonuria and haemophilia
Answer. C
ASSERTION REASON QUESTIONS
Directions : These questions consist of two statements, each printed as Assertion and Reason. While answering these questions, you are required to choose any one of the following five responses.
(a) If both Assertion and Reason are correct and the Reason is a correct explanation of the Assertion.
(b) If both Assertion and Reason are correct but Reason is not a correct explanation of the Assertion.
(c) If the Assertion is correct but Reason is incorrect.
(d) If both the Assertion and Reason are incorrect.
(e) If the Assertion is incorrect but the Reason is correct.
Question. Assertion : The genetic complement of an organism is called genotype.
Reason : Genotype is the type of hereditary properties of an organism.
Answer. A
Question. Assertion : Phenylketonuria is a recessive hereditary disease caused by body’s failure to oxidize an amino acid phenylalanine to tyrosine, because of a defective enzyme.
Reason : It results in the presence of phenylalanine acid in urine.
Answer. B
Question. Assertion : In humans, the gamete contributed by the male determines whether the child produced will be male or female.
Reason : Sex in humans is a polygenic trait depending upon a cumulative effect of some genes on X-chromosome and some on Y-chromosome.
Answer. C
Question. Assertion : Haemophilia is a recessive sex linked disease.
Reason : Haemophilia occurs due to mutation of a structural gene on chromosome 15
Answer. C
Please click on below link to download CBSE Class 12 Biology Sexual Principles of Inheritance And Variation Worksheet
Free study material for Chapter 4 Principles of Inheritance and Variation
Chapter 4 Principles of Inheritance and Variation CBSE Class 12 Biology Worksheet
Students can use the Chapter 4 Principles of Inheritance and Variation practice sheet provided above to prepare for their upcoming school tests. This solved questions and answers follow the latest CBSE syllabus for Class 12 Biology. You can easily download the PDF format and solve these questions every day to improve your marks. Our expert teachers have made these from the most important topics that are always asked in your exams to help you get more marks in exams.
NCERT Based Questions and Solutions for Chapter 4 Principles of Inheritance and Variation
Our expert team has used the official NCERT book for Class 12 Biology to create this practice material for students. After solving the questions our teachers have also suggested to study the NCERT solutions which will help you to understand the best way to solve problems in Biology. You can get all this study material for free on studiestoday.com.
Extra Practice for Biology
To get the best results in Class 12, students should try the Biology MCQ Test for this chapter. We have also provided printable assignments for Class 12 Biology on our website. Regular practice will help you feel more confident and get higher marks in CBSE examinations.
You can download the teacher-verified PDF for CBSE Class 12 Biology Sexual Principles of Inheritance And Variation Worksheet from StudiesToday.com. These practice sheets for Class 12 Biology are designed as per the latest CBSE academic session.
Yes, our CBSE Class 12 Biology Sexual Principles of Inheritance And Variation Worksheet includes a variety of questions like Case-based studies, Assertion-Reasoning, and MCQs as per the 50% competency-based weightage in the latest curriculum for Class 12.
Yes, we have provided detailed solutions for CBSE Class 12 Biology Sexual Principles of Inheritance And Variation Worksheet to help Class 12 and follow the official CBSE marking scheme.
Daily practice with these Biology worksheets helps in identifying understanding gaps. It also improves question solving speed and ensures that Class 12 students get more marks in CBSE exams.
All our Class 12 Biology practice test papers and worksheets are available for free download in mobile-friendly PDF format. You can access CBSE Class 12 Biology Sexual Principles of Inheritance And Variation Worksheet without any registration.