CBSE Class 12 Chemistry Alcohols Phenols And Ethers Worksheet Set 03

Access the latest CBSE Class 12 Chemistry Alcohols Phenols And Ethers Worksheet Set 03. We have provided free printable Class 12 Chemistry worksheets in PDF format, specifically designed for Unit 7 Alcohols, Phenols and Ethers. These practice sets are prepared by expert teachers following the 2025-26 syllabus and exam patterns issued by CBSE, NCERT, and KVS.

Unit 7 Alcohols, Phenols and Ethers Chemistry Practice Worksheet for Class 12

Students should use these Class 12 Chemistry chapter-wise worksheets for daily practice to improve their conceptual understanding. This detailed test papers include important questions and solutions for Unit 7 Alcohols, Phenols and Ethers, to help you prepare for school tests and final examination. Regular practice of these Class 12 Chemistry questions will help improve your problem-solving speed and exam accuracy for the 2026 session.

Download Class 12 Chemistry Unit 7 Alcohols, Phenols and Ethers Worksheet PDF

Assertion and Reason

Note: Read the Assertion (A) and Reason (R) carefully to mark the correct option out of the options given below:
a. If both assertion and reason are true and the reason is the correct explanation of the assertion.
b. If both assertion and reason are true but reason is not the correct explanation of the assertion.
c. If assertion is true but reason is false.
d. If the assertion and reason both are false.
e. If assertion is false but reason is true.

Question. Assertion: Lucas reagent is a mixture of anhydrous ZnCl2 and concentrate HCl.
Reason: Primary alcohol produce ppt. with Lucas reagents.
Answer : C

Question. Assertion: Resorcinol turns FeCl2 solution purple.
Reason: Resorcinol have phenolic group.
Answer : A

Question. Assertion: Phenol is more reactive than benzene towards electrophilic substitution reaction.
Reason: In the case of phenol, the intermediate carbocation is more resonance stabilized.
Answer : A

Question. Assertion: The ease of dehydration of alcohols follows the order. Primary > Secondary > Tertiary.
Reason: Dehydration proceeds through the formation of oxonium ions.
Answer : C

Question. Assertion: The major products formed by heating C6H2CH2OCH3 with HI are C6H5CH, I and CH3OH.
Reason: Benzyl cation is more stable than methyl cation.
Answer : A

Question. Assertion: The pka of acetic acid is lower than that of phenol.
Reason: Phenoxide ion is more resonance stabilized.
Answer : C

Question. Assertion: Reimer-Tiemann reaction of phenol with CCl4 in
NaOH at 340 K gives salicylic acis as the major product.
Reason: The reaction occurs through intermediate formation of dichlorocarbene.
Answer : C

Question. Assertion: Acid catalysed dehydration of t-butanol is slower than n-butanol.
Reason: Dehydration involves formation of the protonated alcohol, ROH2+
Answer : C

Question. Assertion: Phenol undergo Kolbe reaction, ethanol does not.
Reason: Phenoxide ion is more basic than ethoxide ion.
Answer : C

Question. Assertion: Alcoholic fermentation involves conversion of sugar into ethyl alcohol by yeast.
Reason: Fermentation involves the slow decomposition of complex organic.
Answer : A

Question. Assertion: Tertiary alcohols give turbidity immediately with Lucas reagent.
Reason: A mixture of conc. HI + anhydrous ZnCl2 is called Lucas reagent.
Answer : C

Question. Assertion: Both symmetrical and unsymmetrical ethers can be prepared by Williamson’s synthesis.
Reason: Williamson’s synthesis is an example of nucleophilic substitution reaction.
Answer : B

Question. Assertion: Phenol reacts with acyl halides in presence of pyridine to form phenyl acetate.
Reason: Benzoylation of phenol is carried out in the presence of NH4OH.
Answer : C

Question. Assertion: Treatment of phenol with nitrous acid yields pbenzoquinone monoxime.
Reason: p-nitrosophenol and p-benzoquinone monoxime are tautomers.
Answer : B

Question. Assertion: (CH3)3 − Br and CH3CH2 ONa react to form (CH3)3 C −O−CH2CH3 .
Reason: Good yields of ethers are obtained when tertalkyl halides are treated with alkoxides.
Answer : D

Comprehension Based

Paragraph –I

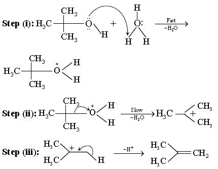
The dehydration of alcohols and the conversion of alcohols to alkyl halides by treatment of hydrogen halides are similar in two important ways suggesting the formation of carbocation as key intermediate.
(a) Both reactions are protonated by acids.
(b) The reactivity of alcohols decrease in the order, tertiary > secondary>primary due to the formation of stable carbocations, which is stabilized by hyperconjugation and +I effect. The dehydration of alcohol follows three steps mechanism for acidbase catalysed dehydration of least stable tertiary butyl alcohol,

""CBSE-Class-12-Chemistry-Alcohols-Phenols-and-Ethers-Assignment-3

In step I, protonation (acid catalysed) of tert-butyl alcohol takes place. In step II, dissociation of tert-butyloxenium ion takes place followed by formation of carbocation. Alkene is formed in step III by deprotonation (base catalysed) of tert-butyl cation

""CBSE-Class-12-Chemistry-Alcohols-Phenols-and-Ethers-Assignment-1

Another important reaction of alcohols is iodoform reaction given by ethanol (in primary alcohols) and are secondary alcohols having 2-ol nature. Such alcohols give yellow ppt. of CHI3 with NaOH and I2 solution.

Question. Why dehydration of vinyl alcohol is not difficult?
a. Due to high enthalpy of vinylic —C—OH bond
b. Due to unstable nature of = C—OH bond by tautomerism
c. Carbocation never forms in case of vinyl alcohol
d. Both (a) and (b) are correct
Answer : D

Question. Which carbocation will not form an intermediate?

""CBSE-Class-12-Chemistry-Alcohols-Phenols-and-Ethers-Assignment-2

Answer : C

Question. Which will give iodoform test?
a. 2-methylpropan-2-ol
b. Ethyl acetoacetate
c. 2-methylbutan-2-ol
d. 3-methylpentant-2-ol
Answer : D

Question. The reagent used to distinguish 1-cycloethanol and 2-cycloethanol is:
a. soda lime
b. NaOH + H2O
c. acidified KMnO4
d. (aq.)FeCl3
Answer : B

Question. An alcohol on iodoform reaction give iodoform and sodium salt of unsaturated acid containing 3 carbon atoms. The alcohol is:
a. but-3-en-2-ol
b. prop-2-en-2-ol
c. pent-3-en-2-ol
d. 3-methyl-but-3-en-2-ol
Answer : A

Match the Column

Question. Match the column

Column IColumn II
(A) Absolute alcohol1. Isopropyl alcohol
(B) Denaturated spirit2. Anhydrous alcohol
(C) 80º proof alcoholic liquor3. 20% absolute alcohol + 80% gasoline
(D) Power alcohol4. alcoholic liquors containing 40% ethanol
(E) Power alcohol5. Ethanol containing CH3 OH and pyridine.

a.A→1; B→2; C→3; D→4; E→5
b. A→2; B→5; C→4; D→1; E→3
c. A→3; B→2; C→1; D→5; E→4
d. A→2; B→1; C→4; D→3; E→5
Answer : B

Question. Match the column.

Column IColumn II
A) Wood spirit1. Trinitroglycerine and dinitroglycerine
(B) Fermentation2. Methyl alcohol
(C) Glycerine3. ethyl alcohol
(D) Lucas test4. Propane-1, 2, 3-triol
(E) Dynamite5. Tertiary alcohol

a.A→1; B→2; C→3; D→5; E→4
b. A→4; B→3; C→2; D→1; E→5
c. A→3; B→2; C→1; D→4; E→5
d. A→2; B→3; C→4; D→5; E→1
Answer : D

Question. Match the column.

Column IColumn II
(A) Etherates1. Estimation of methoxy or ethoxy groups
(B) Williamson’s synthesis2. Ether + BF3
(C) Zeisel method3. Ether + mineral acid
(D) Oxonium salts4. RX + R′ONa
(E) Phenetol5. C6H2OH + (C2H5) SO4presence of NaOH

a.A→1; B→2; C→3; D→4; E→5
b. A→4; B→3; C→5; D→1; E→2
c. A→2; B→4; C→1; D→3; E→5
d. A→2; B→1; C→4; D→3; E→5
Answer : C

Integer

Question. The vapour density of C2H5OHis?
Answer : 23

Question. 10 gm of a mixture of hexane and ethanol reacts with sodium to give 200 ml. of H2 at 27°C and 760 mm pressure.
The percentage of ethanol is?
Answer : 10

Question. Number of metamers represented by molecular formula C4H10O is:
Answer : 3

Question. What amount of bromine will be required to convert 2 g of phenol into 2, 4, 6-tribromophenol?
Answer : 10.22

Question. One mole of phenol reacts with bromine to form tribromophenol. How much bromine is used?
Answer : 3

 

CBSE Class 12 Chemistry Alcohols Phenols And Ethers Worksheet Set C 1

CBSE Class 12 Chemistry Alcohols Phenols And Ethers Worksheet Set C 2

CBSE Class 12 Chemistry Alcohols Phenols And Ethers Worksheet Set C 3

CBSE Class 12 Chemistry Alcohols Phenols And Ethers Worksheet Set C 4

CBSE Class 12 Chemistry Alcohols Phenols And Ethers Worksheet Set C 5

CBSE Class 12 Chemistry Alcohols Phenols And Ethers Worksheet Set C 6

Please click on below link to download CBSE Class 12 Chemistry Alcohols Phenols And Ethers Worksheet Set C

Unit 7 Alcohols, Phenols and Ethers CBSE Class 12 Chemistry Worksheet

Students can use the Unit 7 Alcohols, Phenols and Ethers practice sheet provided above to prepare for their upcoming school tests. This solved questions and answers follow the latest CBSE syllabus for Class 12 Chemistry. You can easily download the PDF format and solve these questions every day to improve your marks. Our expert teachers have made these from the most important topics that are always asked in your exams to help you get more marks in exams.

NCERT Based Questions and Solutions for Unit 7 Alcohols, Phenols and Ethers

Our expert team has used the official NCERT book for Class 12 Chemistry to create this practice material for students. After solving the questions our teachers have also suggested to study the NCERT solutions  which will help you to understand the best way to solve problems in Chemistry. You can get all this study material for free on studiestoday.com.

Extra Practice for Chemistry

To get the best results in Class 12, students should try the Chemistry MCQ Test for this chapter. We have also provided printable assignments for Class 12 Chemistry on our website. Regular practice will help you feel more confident and get higher marks in CBSE examinations.

FAQs

Where can I download the latest PDF for CBSE Class 12 Chemistry Alcohols Phenols And Ethers Worksheet Set 03?

You can download the teacher-verified PDF for CBSE Class 12 Chemistry Alcohols Phenols And Ethers Worksheet Set 03 from StudiesToday.com. These practice sheets for Class 12 Chemistry are designed as per the latest CBSE academic session.

Are these Chemistry Class 12 worksheets based on the 2026-27 competency-based pattern?

Yes, our CBSE Class 12 Chemistry Alcohols Phenols And Ethers Worksheet Set 03 includes a variety of questions like Case-based studies, Assertion-Reasoning, and MCQs as per the 50% competency-based weightage in the latest curriculum for Class 12.

Do you provide solved answers for CBSE Class 12 Chemistry Alcohols Phenols And Ethers Worksheet Set 03?

Yes, we have provided detailed solutions for CBSE Class 12 Chemistry Alcohols Phenols And Ethers Worksheet Set 03 to help Class 12 and follow the official CBSE marking scheme.

How does solving CBSE Class 12 Chemistry Alcohols Phenols And Ethers Worksheet Set 03 help in exam preparation?

Daily practice with these Chemistry worksheets helps in identifying understanding gaps. It also improves question solving speed and ensures that Class 12 students get more marks in CBSE exams.

Is there any charge for the Class 12 Chemistry practice test papers?

All our Class 12 Chemistry practice test papers and worksheets are available for free download in mobile-friendly PDF format. You can access CBSE Class 12 Chemistry Alcohols Phenols And Ethers Worksheet Set 03 without any registration.