Access the latest CBSE Class 12 Chemistry Solutions Worksheet Set 02. We have provided free printable Class 12 Chemistry worksheets in PDF format, specifically designed for Solutions. These practice sets are prepared by expert teachers following the 2025-26 syllabus and exam patterns issued by CBSE, NCERT, and KVS.
Solutions Chemistry Practice Worksheet for Class 12
Students should use these Class 12 Chemistry chapter-wise worksheets for daily practice to improve their conceptual understanding. This detailed test papers include important questions and solutions for Solutions, to help you prepare for school tests and final examination. Regular practice of these Class 12 Chemistry questions will help improve your problem-solving speed and exam accuracy for the 2026 session.
Download Class 12 Chemistry Solutions Worksheet PDF
Question. 1 mole of benzene (PoBenzene = 42mm) and 2 mole of toluene (Potoluene = 36mm) will have
a. Positive deviation from Raults’a law
b. Negative deviation from Rault’s law
c. Total vapour pressure 38 mm
d. Mole fraction of vapours of tolutene above liquid mixture is 12/19
Answer : C, D
Question. If Po and Ps be the vapour pressure of solvent and its solution respectively and N1 and N2 be the mole-fractions of solvent and solute respectively, then:
a. Ps = Po .N2
b. Po = Ps − P ⋅N2
c. Ps = Po N1
d. Po - Ps / Ps = N/N1+N2
Answer : A, B
Question. In which of the following pairs of solutions will the values of the van’t Hoff factor be the same?
a. 0.05MK4 [Fe(CN6)] and 0.10MFeSO4
b. 10MK4 [Fe(CN)6] and 0.05FeSO4 (NH4)2 SO4 ⋅6H2O
c. 0.20MNaCl and 0.10MBaCl2
d. 0.05FeSO4 (NH4) SO4 6H2 O and 0.02MKCl.MgCl2.6H2O
Answer : B, D
Question. Two liquids A and B form an ideal solution. The solution has a vapour pressure of 700 Torr at 80°C. It is distillted till 2/3°, of the solution is collected as condensate. The composition of the condensate is xA = 0.75 and that of the residue is xA = 0.30. If the vapour pressure of the residue at 80°C is 600 Tom, which of the following is/are true?
a. Tile composition of the original liquid as xA = 0.6
b. The composition of the original liquid was xA = 0.4
c. PoA = 2500/3 Torr
d. PoA = 500Torr
Answer : A, C, D
Question. A and B form an ideal solution and both are volatile. If PoA > PoB which of the following relation must be correct?
a. A B X > X
b. A A Y > X
c. A B Y > Y
d. B B Y > X
Answer : B
Question. When mercuric iodide is added to an aqueous solution of potassium iodide then
a. Freezing point is raised
b. Freezing point is lowered
c. Freezing points do not change
d. Boiling point is
Answer : A, D
Question. Which of the following is/are correct for an ideal binary solution of two volatile liquids? (eg. Benzene & toluene)
a. Its vapour is always richer in the more volatile component (compared to the liquid)
b. The liquid will gradually become richer in the less volatile component if such a mixture is boiled (distilled)
c. The PT (i.e., the total pressure) above the solution will be the sum of the vapour pressures of the two pure components
d. The boiling point of the solution will be less than the boiling points of the two components
Answer : A, B
Question. In which of the following solutions, Cu2 [Fe(CN)6] permits the solvent molecules to pass through:
a. Benzoic acid in benzene
b. Urea in acetone
c. Urea in water
d. Thiourea in water
Answer : C, D
Question. Osmotic pressure of a solution is:
a. Directly proportional to the molar concentration of the solution
b. Inversely proportional to the molecular weight of the solute
c. Inversely proportional to the temperature
d. Directly proportional to the volume of the solution
Answer : A, B
Question. Which of the following is/are point?
a. For the same solution, elevation in boiling point = depression in freezing point
b. The Van’t Hoff factor for a dilute solution of BaCl3 is 3
c. The elevation in boiling point is due to increase in vapour pressure
d. The depression in freezing point is due to decrease in vapour pressure
Answer : B, D
Question. Which of the following statements is/are correct?
a. The freezing point of water is depressed by the addition of glucose
b. The degree of dissociation of a weak electrolyte decrease as its concentration decreases
c. Energy is released when a substance dissolves in water provided that the hydration energy of the substance is more than its lattice energy
d. If two liquids that form an ideal solution are mixed, the change in entropy is positive
Answer : A, C, D
Question. 1 mole benzene (Pobenzene = 42mm) and 2 mol toluene (Potoluene = 36mm) will have
a. Total vapour pressure of 38 mm
b. Mole fraction of vapour of benzene above liquid mixture is 7/19
c. Positive deviation from Raoult’s law
d. Negative deviation from Raoult’s law
Answer : A, B
Question. Which of the following statements is/are correct?
a. The freezing point of water is depressed by the addition of glucose
b. The degree of dissociation of a weak electrolyte decrease at its concentration decreases
c. Energy is released when a substance dissolves in water provided that the hydration energy of the substance is more than its lattice energy
d. If two liquids that form an ideal solution are mixed, the change in entropy is positive
Answer : A, C, D
Question. Consider 0.1 M solutions of two solutes X and Y. The solute X behaves as univalent electrolyte while the solute Y dimerises in solution. Which of the following statement(s) is/are correct regarding these solutions?
a. The boiling point of the solutions of X will be higher than that of Y
b. The osmotic pressure of the solution of Y will be lower than that of X
c. The freezing point of the solution of X will be lower than that of Y
d. The relative lowering of vapour pressure of both the solutions will be the same
Answer : A, B, C
Question. Mark out the correct statements:
a. Addition of 1 mole of NaCl to 1 L water, increasing boiling point
b. Addition of 1 mole of HC3 OH to 1 L water, decreases boiling point
c. Addition of solid CaCl2 to liquid water, increases temperature
d. Addition of solid CaCl2 to ice (0°C), decreases temperature
Answer : ALL
Question. Which relation are not correct for an aqueous dilute solution of K3PO4 it its degree of dissociation is α?
Answer : A, C, D
Question. 2 L of 1 molar solution of a complex salt CrCl3 6H2O (Mw = 266.5) shows an osmotic pressure of 98.52 atm.
The solution is now treated with 1 L of 6 M AgNO3 which of the following are correct?
a. Weight of AgCl precipitated is 861 g
b. The clear solution will show an osmotic pressure of 98.52 atm
c. The clear solution will shown an osmotic pressure of 65.68 atm
d. 2 mol of [Cr(H2O)6](NO3)3 will be present in solution
Answer : A, C, D
Question. Consider the two solutions:
I: 0.5 M NaCl aqueous solution at 25°C; NaCl is complete ionized
II: 2.0 M C6H5COOH in benzene at 25°C, C6H5COOH dimerizes to the full extent. Which of the following statement(s) is/are correct?
a. Both the solutions display equal osmotic pressure
b. Both have equal vapour pressure
c. Solution II is hypertonic
d. Solution II has greater depression in freezing point than solution I
Answer : A, D
Question. A mixture of two immiscible liquids A and B, having vapour pressure in pure state obeys the following relationship if χA and χB are mole fractions of A and B in vapour phase over the solution:
Answer : A, B, D
Question. To 10 mL of 1 M BaCl2 solution 5 mL of 0.5 M K2SO4 is added. BaSO4 is precipitated out. What will happen?
a. Freezing point will increase
b. Boiling point will increase
c. Freezing point will lower down
d. Boiling point will lower down
Answer : B, C
Question. The osmotic pressure of a solution depends on:
a. Nature of solute
b. Nature of solvent
c. Temperature
d. Molar concentration of solute
Answer : C, D
Comprehension Based
Paragraph –I
Properties such as boiling point, freezing point and vapour pressure of a pure solvent change when solute molecules are added to get homogenous solution. These are called colligative properties. Application of colligative properties are very useful in day-to-day life. One of its examples is the use of ethylene glycol and water mixture as anti-freezing liquid in the radiator of automobiles. A solution M is prepared by mixing ethanol and water. The mole fraction of ethanol in the mixture is 0.9
Given: Freezing point depression constant of water (Kfwater) = 1.86K mol–1
Freezing point depression constant of ethanol ethanol
(Kfethanol) (Kfwater) = 2.0K kg mol–1
Boiling point elevation constant of water water
(Kfwater) (Kfethanol) (Kfwater) = 0.52K kg mol–1
Boiling point elevation constant of ethanol ethanol (Kfethanol) =0.2 kg mol–1
Standard freezing point of water = 273 K
Standard freezing point of ethanol = 155.7 K
Standard boiling point of water = 373 K
Standard freezing point of ethanol = 351.5 K
Vapour pressure of pure water = 32.8 mm Hg
Vapour pressure of pure ethanol = 40 mm Hg
Molecular weight of water = 18 g mol–1
Molecular weight of ethanol = 46 g mol–1
In answering the following questions, consider the solutions to be ideal dilute solutions and solutes to be non-volatile and nondissociative.
Question. The freezing point of the solution M is:
a. 268.7 K
b. 268.5 K
c. 234.2 K
d. 150.9 K
Answer : D
Question. The vapour pressure of the solution M is:
a. 39.3 mm Hg
b. 36.0 mm Hg
c. 29.5 mm Hg
d. 28.8 mm Hg
Answer : B
Question. Water is added to the solution M such that the mole fraction of water in the solution becomes 0.9. The boiling point of this solution is:
a. 380.4 K
b. 376.2 K
c. 375.5 K
d. 354.7 K
Answer : B
Paragraph –II
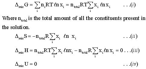
This comprehension is expected to be read, understood, and the associated questions answered within the stipulated time limit. When a liquid is completely miscible with another liquid, a homogenous solution consisting of a single phase is formed. If such a solution is placed in a closed evacuated vessel, the total pressure exerted by the vapour, after the system attained equilibrium will be equal to the sum of partial pressures of the constituents. A solution is said to be ideal if its constituents follow Raoult’s law under all conditions of concentration i.e., the partial pressures of each and every constituent is given by pi = xi pio where pi is the partial pressure of the constituent I, whose amount fraction in the solution is xi and pio is the corresponding vapour pressure of the pure constituent.
The change in the thermodynamic functions when an ideal solution is formed by mixing pure components is given by the following expressions.
Since both the components of an ideal binary liquid system follow Raoult’s law over the entire range of the composition, the partial pressure exerted by the vapours of these constituents over the solution will be given by
PA = xAPoA . . .(v)
PB = xBpoB . . .(vi)
Where XA and XB are the amount fractions of the two constituents in the liquid phase and PoA and PoB are the respective vapour pressures of the pure constituents. The total pressure (p) over the solution will be the some of the partial pressures. The composition of the vapour phase (YA) can be determined with the help of Dalton’s law of partial pressures.
Question. For an ideal solution in which PoA > PoB , the plot of total pressure (p) verses the mole fraction of A at constant temperature in the vapour phase is:
Answer : A
Question. Two liquids A and B from an ideal solution at temperature T. When the total vapour pressure above the solution in 600 torr, the amount fraction of A in the vapour phase is 0.35 and in the liquid phase 0.70. The vapour pressures of pure B and A are:
a. 800 torr; 1300 torr
b. 1300 torr; 300 torr
c. 300 torr; 1300 torr
d. 300 torr; 800 torr
Answer : B
Question. 1 mole of liquid ‘C’ is added to an ideal liquid solution containing 1 mole of A and 1 mole of B. The entropy change due to the mixing of ‘C’ is: (Assume the solutions are ideal in nature) [R = Gas constant]
a. Rℓn
b. Rℓn3
c. ℓn(27 / 4)
d. ℓn(9 / 4)
Answer : C
Very Short Answer
Question. Define isotonic solutions?
Answer. Two solutions having same osmotic pressure at a given temperature is called isotonic solutions.
Question. How can we obtain colligative properties?
Answer. Colligative properties are obtained by assuming that the non-volatile solute is neither associated nor dissociated.
Question. What is non-ideal solution?
Answer. When a solution does not obey Raoult’s law over the entire range of concentration then it is called non-deal solution.
Question. Who gave the quantitative relationship between vapour pressures of liquid solutions?
Answer. Francois Marte Raoult gave the quantitative relationship between vapour pressures of liquid solutions.
Question. What is ideal solution?
Answer. The solutions which obey Raoult’s law over the entire range of the concentration is known as ideal solution.
Short Answer
Question. What are the properties of the solutions which are connected with the decrease of vapour pressure?
Answer. There are many properties of the solutions which are connected with the decrease of vapour pressure are:
1. Relative lowering of vapour pressure of the solvent.
2. Depression of freezing point of the solvent.
3. Elevation of boiling point of the solvent.
4. Osmotic pressure of the solution.
Question. What do you understand by Raoult’s law?
Answer. Raoult’s law states that for a solution of volatile liquids, the partial vapour pressure of each component of the solution is directly proportional to its mole fraction present in the solution.
Question. What do you mean by the Dalton’s law of partial pressures?
Answer. Dalton’s law of partial pressures states that the total pressure over the solution phase in the container will be the sum of the partial pressures of the components of the solution.Real gases do not obey Dalton's law of partial pressures. It is because these gases do not behave ideally and violate some of the rules of the kinetic theory of gases. Real gases behave ideally only under circumstances where the pressure is low and the temperature is high.
Question. Define abnormal molar masses?
Answer. Molar masses that are lower or higher than expected values when calculated are called abnormal molar masses. Abnormal molar masses depends upon the total number of moles particles either after dissociation or association of solute molecules in solvent or solution.
Question. What do you mean by the colligative properties?
Answer. All these properties depend on the number of solute particles irrespective of their nature relative to the total number of particles present in the solution, so such properties are
Long Answer
Question. State the difference between osmosis and reverse osmosis?
Answer.
1. Osmosis refers to a process by which water molecules of a solvent tend to pass through a semipermeable membrane from a less concentrated solution into a more concentrated one whereas reverse osmosis refers to a process by which water molecules of a solvent passes through a semipermeable membrane in the direction opposite to that of natural
osmosis when subjected to a hydrostatic pressure greater than the osmotic pressure.
2. The osmosis occurs through a potential gradient whereas reverse osmosis occurs against the potential gradient.
3. Osmosis is a natural process whereas reverse osmosis is an artificial process.
4. Absorption of water from the soil by roots and opening the stomata occurs due to osmosis whereas reverse osmosis is used in the waterpurification systems.
5. Osmosis occurs without an energy requirements whereas reverse osmosis needs energy to supply a pressure
Question. Distinguish the between positive deviation and negative deviation?
Answer.
1. In positive deviation vapour pressure of solution and partial pressure of the components are more than those expected by the Raoult’s law whereas in negative deviation the vapour pressure of solution and partial pressure of the components are less than those expected by the Raoult’s law.
2. Positive deviation forms minimum boiling azeotrope whereas negative deviation forms maximum boiling azeotrope.
3. In positive deviation on mixing intramolecular attraction decreases whereas in negative deviation on mixing with the intramolecular attraction increases.
4. ΔHmix ≠ 0 and it is positive whereas ΔHmix ≠ 0 and it is negative.
5. ΔVmix = positive whereas ΔVmix = negative.
Question. State the difference between hydrostatic pressure and osmotic pressure?
Answer.
1. Hydrostatic pressure is the pressure at any point of a non-flowing liquid due to the force gravity whereas osmotic pressure is the pressure required to prevent a solution from undergoing osmosis.
2. Hydrostatic pressure occurs in both pure solutions and homogenous solutions whereas osmotic pressure cannot be found in pure solutions.
3. Hydrostatic pressure is observed in non-flowing solutions whereas osmotic Pressure is observed in solutions where movement of solutes occurs.
4. Hydrostatic pressure is different in different levels of the same liquid whereas osmotic pressure is the same in everywhere of the liquid; thus, it is calculated considering the whole system.
5. In hydrostatic pressure, a semi-permeable membrane is not involved whereas in osmotic pressure, a semi-permeable membrane is involved.
Question. Distinguish between ideal solution and non-ideal solution?
Answer.
1. An ideal solution is a solution where interactions between molecules are identical between all the molecules in the solution whereas a non-ideal solution is a solution that has differences in the interactions between molecules of different components in the solution.
2. Ideal solutions have identical interactions between all the molecules of all components whereas non ideal solutions have solvent-solvent, solvent-solute
and solute-solute interactions.
3. The change in enthalpy when an ideal solution forms is zero or approximately zero whereas the change in enthalpy when a non-ideal solution forms is either a positive or negative value.
4. Highly dilute solutions can behave as ideal solutions whereas concentrated solutions behave as non-ideal solutions.
Question. State the difference between hypotonic and hypertonic?
Answer.
1. Hypotonic solutions are solutions having lower osmotic pressures whereas hypertonic solutions are solutions having comparatively higher osmotic pressures.
2. Hypotonic solutions have a low concentration whereas hypertonic solutions have a high concentration.
3. Hypotonic environments cause cells to swell whereas hypertonic environments cause cells to shrink.
4. Hypotonic solutions are not helpful in food preservation whereas hypertonic solutions are helpful in food preservation since they kill microbes in the food package.
5. Hypotonic water concentration is high whereas hypertonic water concentration is low.
KEY CONCEPTS
Solution is the homogeneous mixture of two or more substances in which the components are uniformly distributed into each other. The substances which make the solution are called components. Most of the solutions are binary i.e., consists of two components out of which one is solute and other is solvent.
Ternary solution consists of three components
Solute ‐ The component of solution which is present in smaller quantity.
Solvent – The component of solution present in larger quantity or whose physical state is same as the physical state of resulting solution.
Types of solutions: Based on physical state of components solutions can be divided into 9 types.
Solubility ‐ The amount of solute which can be dissolved in 100grm of solvent at particular temp. to make saturated solution.
Solid solutions are of 2 types ‐
1. Substitutional solid solution e.g. Brass (Components have almost similar size)
2. Interstitial solid solution e.g. steel (smaller component occupies the interstitial voids)
Question. What do you mean by Henry’s Law? The Henry’s Law constant for oxygen dissolved in water is 4.34×104 atm at 25o C. If the partial pressure of oxygen in air is 0.2 atm, under atmospheric pressure conditions. Calculate the concentration in moles per Litre of dissolved oxygen in water in equilibrium with water air at 25o C.
Answer. Partial pressure of the gas is directly proportional to its mole fraction in solution at particular temperature.
PA α XA ; KH = Henry’s Law of constant
PA = KH ×A
KH = 4.34×104 atm
PO2 = 0.2 atm
Xo2 = PO2 / KH =0.2 / 4.34×104= 4.6×10‐6
If we assume 1L solution = 1L water
n water = 1000/18 = 55.5
XO2 = nO2 /(nO2+ n H2O ) ~ = nO2 /nH2O
nO2 = 4.6 X 10‐6 X 55.5 = 2.55 X 10‐4 mol
M = 2.55 X 10‐4 M
Question. What is Vant Hoff factor?
Answer. It is the ratio of normal molecular mass to observed molecular mass . H is denoted as ‘i’
i = normal m.m / observed m.m
= no. of particles after association or dissociation / no. of particles before
Question. What is the Vant Hoff factor in K4[Fe(CN)6] and BaCl2 ?
Answer. 5 and 3
Question. Why the molecular mass becomes abnormal?
Answer. Due to association or dissociation of solute in given solvent .
Question. Define molarity, how it is related with normality ?
Answer. N = M x Basicity or acidity.
Question. How molarity is related with percentage and density of solution ?
Answer. M = P x d x10/M.M
Question. What role does the molecular interaction play in the solution of alcohol and water?
Answer. Positive deviation from ideal behavior .
Question. What is Vant Hoff factor , how is it related with
a. degree of dissociation b. degree of association
Answer. a. α=i – 1/n‐1 b. α = i ‐1 / 1/n ‐1
Question. Why NaCl is used to clear snow from roads ?
Answer. It lowers f.p of water
Question. why the boiling point of solution is higher than oure liquid
Answer. Due to lowering in v.p
HOTS
Question. Out of 1M and 1m aqueous solution which is more concentrated
Answer. 1M as density of water is 1gm/Ml
Question. Henry law constant for two gases are 21.5 and 49.5 atm ,which gas is more soluble .
Answer. KH is inversely proportional to solubility .
Question. Calculate the volume of 75% of H2SO4 by weight (d=1.8 gm/ml) required to prepare 1L of 0.2M
Answer.
Hint: M1 = P x d x 10 /98
M1 V1 = M2V2
14.5ml
Question. Why water cannot be completely separated from aqueous solution of ethyl alcohol?
Answer. Due to formation of Azeotrope at (95.4%)
SHORT ANSWERS (2 MARKS)
Q.1. How many grams of KCl should be added to 1kg of water to lower its freezing point to ‐8.00C (kf = 1.86 K kg /mol)
Answer. Since KCl dissociate in water completely L=2; m =
m= 8 / 2X1.86 = 2.15mol/kg.
Grams of KCl= 2.15 X 74.5 = 160.2 g/kg.
Q.2. With the help of diagram: show the elevator in boiling point colligative properties ?
Q.3. what do you mean by colligative properties, which colligative property is used to determine m.m of polymer and why?
Q.4. Define reverse osmosis, write its one use.
Answer. Desalination of water.
Q.5. Why does an azeotropic mixture distills without any change in composition.
Hint: It has same composition of components in liquid and vapour phase.
Q.6. Under what condition Vant Hoff’s factor is
a. equal to 1 b. less than 1 c. more than 1
Q.7. If the density of some lake water is 1.25 gm /ml and contains 92gm of Na+ ions per kg of water.
Calculate the molality of Na+ ion in the lake .
Answer. n = 92/23 = 4
m= 4/1 = 4m
Q.8. An aqueous solution of 2% non‐volatile exerts a pressure of 1.004 Bar at the normal boiling point of
the solvent . What is the molar mass of the solute .
Hint: P0
A – PA/P0
A = wB X mA / mB X wA
1.013 – 1.004 / 1.013 = 2X 18 /mB X 98
mB = 41.35gm/mol
Q.9. Why is it advised to add ethylene glycol to water in a car radiator in hill station?
Hint: Anti‐ freeze.
Q.10. what do you mean by hypertonic solution, what happens when RBC is kept in 0.91% solution of sodium chloride?
Q 11. (a). define the following terms.
1. Mole fraction
2. Ideal solutions
(b)15 g of an unknown molecular material is dissolved in 450 g of water. The resulting solution
frrezez at ‐0.34 0c . what is the molar mass of material? Kf for water= 1.86 K Kg mol‐1 .
Answer. 182.35 glmol
Q 12.(a) explain the following :
1. Henry’s law about dissolution of a gas in a liquid .
2. Boling point elevation constant for a solvent
(b)a solution of glycerol (C3h803) in water was prepared by dissolving some glycerol in in 500 g of water.
The solution has a boiling point of 100.42 0c . what mass of glycerol was dissolved to make this solution?
Kb for water = 0.512 k Kg mol‐1
(hint: atb = b*wb*1000/Mb*Wa
Answer. 37.73 gm
Q 13. 2 g of benzoic acid (c6h5cooh) dissolved in 25 g of benzene shows a depression in freezing point equal to 1.62 K . KF for benzene is 4.9 K Kg mol‐1. What is the percentage association of acid if it forms dimer in solution.
Answer. 99.2%
Q14. Osmotic pressure of a 0.0103 molar solution of an electrolite is found to be 0.70 atm at 270c .
calculate Vant Hoff factor.( R=0.082 L atom mol‐1 K‐1)
Answer. 2.76
Please click on below link to download CBSE Class 12 Chemistry Solutions Worksheet Set B
Free study material for Chapter 1 Solutions
Solutions CBSE Class 12 Chemistry Worksheet
Students can use the Solutions practice sheet provided above to prepare for their upcoming school tests. This solved questions and answers follow the latest CBSE syllabus for Class 12 Chemistry. You can easily download the PDF format and solve these questions every day to improve your marks. Our expert teachers have made these from the most important topics that are always asked in your exams to help you get more marks in exams.
NCERT Based Questions and Solutions for Solutions
Our expert team has used the official NCERT book for Class 12 Chemistry to create this practice material for students. After solving the questions our teachers have also suggested to study the NCERT solutions which will help you to understand the best way to solve problems in Chemistry. You can get all this study material for free on studiestoday.com.
Extra Practice for Chemistry
To get the best results in Class 12, students should try the Chemistry MCQ Test for this chapter. We have also provided printable assignments for Class 12 Chemistry on our website. Regular practice will help you feel more confident and get higher marks in CBSE examinations.
You can download the teacher-verified PDF for CBSE Class 12 Chemistry Solutions Worksheet Set 02 from StudiesToday.com. These practice sheets for Class 12 Chemistry are designed as per the latest CBSE academic session.
Yes, our CBSE Class 12 Chemistry Solutions Worksheet Set 02 includes a variety of questions like Case-based studies, Assertion-Reasoning, and MCQs as per the 50% competency-based weightage in the latest curriculum for Class 12.
Yes, we have provided detailed solutions for CBSE Class 12 Chemistry Solutions Worksheet Set 02 to help Class 12 and follow the official CBSE marking scheme.
Daily practice with these Chemistry worksheets helps in identifying understanding gaps. It also improves question solving speed and ensures that Class 12 students get more marks in CBSE exams.
All our Class 12 Chemistry practice test papers and worksheets are available for free download in mobile-friendly PDF format. You can access CBSE Class 12 Chemistry Solutions Worksheet Set 02 without any registration.