CBSE Class 11 Physics Physical World And Measurements Worksheet Set 01

Access the latest CBSE Class 11 Physics Physical World And Measurements Worksheet Set 01. We have provided free printable Class 11 Physics worksheets in PDF format, specifically designed for Chapter 1 Physical World. These practice sets are prepared by expert teachers following the 2025-26 syllabus and exam patterns issued by CBSE, NCERT, and KVS.

Chapter 1 Physical World Physics Practice Worksheet for Class 11

Students should use these Class 11 Physics chapter-wise worksheets for daily practice to improve their conceptual understanding. This detailed test papers include important questions and solutions for Chapter 1 Physical World, to help you prepare for school tests and final examination. Regular practice of these Class 11 Physics questions will help improve your problem-solving speed and exam accuracy for the 2026 session.

Download Class 11 Physics Chapter 1 Physical World Worksheet PDF

Question. The resistance R = V/i = where V = 100 ±5 volts and i = 10 ±0.2 amperes. What is the total error in R?
a. 5%
b. 7%
c. 5.2%
d. 5/2 %
Answer :  B

Question. A thin copper wire of length l metre increases in length by 2% when heated through 10ºC. What is the percentage increase in area when a square copper sheet of length l metre is heated through 10ºC?
a. 4%
b. 8%
c. 16%
d. None of the above
Answer : A

Question. The period of oscillation of a simple pendulum is given by T = 2π l/g where l is about 100 cm and is known to have 1mm accuracy. The period is about 2s. The time of 100 oscillations is measured by a stop watch of least count 0.1 s. The percentage error in g is:
a. 0.1%
b. 1%
c. 0.2%
d. 0.8%
Answer : C

Question. A body travels uniformly a distance of (13.8 ± 0.2) m in a time (4.0 ± 0.3) s. The velocity of the body within error limits is:
a. (3.45 ± 0.2) ms–1
b. (3.45 ± 0.3) ms-1
c. (3.45 ± 0.4) ms-1
d. (3.45 ± 0.5) ms-1
Answer : B

Question. The period of oscillation of a simple pendulum in the experiment is recorded as 2.63 s, 2.56 s, 2.42 s, 2.71 s and 2.80 s respectively. The average absolute error is:
a. 0.1 s
b. 0.11 s
c. 0.01 s
d. 1.0 s
Answer : B

Question. The length of a cylinder is measured with a meter rod having least count 0.1 cm. Its diameter is measured with venier calipers having least count 0.01 cm. Given that length is 5.0 cm. and radius is 2.0 cm. The percentage error in the calculated value of the volume will be:
a. 1%
b. 2%
c. 3%
d. 4%
Answer : C

Question. In an experiment, the following observation's were recorded: L = 2.820 m, M = 3.00 kg, l = 0.087 cm, Diameter D = 0.041 cm Taking g = 9.81 m/s2 using the formula, Y = rMgL / πD2l the maximum permissible error in Y is:
a. 7.96%
b. 4.56%
c. 6.50%
d. 8.42%
Answer : C

Question. A physical quantity P is given by P = A3 B1/ 2 / C−4 D3/ 2. The quantity which brings in the maximum percentage error in P is:
a. A
b. B
c. C
d. D
Answer : C

Question. The pairs of physical quantities that have the same dimension are:
a. Reynold number and coefficient of fraction
b. Curie and frequency of light wave
c. latent heat and gravitational potential
d. Planck constant and torque
Answer : A. B. C

Question. If dimensions of length are expressed as , Gx cy hz where G, c and h are the universal gravitational constant, speed of light and Planck constant respectively, then:
a. x = 1/2, y = 1/2
b. x = 1/2, z = 1/2
c. x = - 1/2, z = 1/2
d. y = 1/2, z = 1/2
Answer : B. C

Question. The units of charge are:
a. coulomb
b. frankline
c. faraday
d. ampere× sec
Answer : ALL

Question. A physical quantity A is related to four observable a, b, c and d as follows, A =  a2b3 / c√d, the percentage errors of measurement in a, b, c and d are 1%, 3%, 2% and 2% espectively. What is the percentage error in the quantity A?
a. 12%
b. 7%
c. 5%
d. 14%
Answer : D

Question. Error in the measurement of radius of a sphere is 1%. The error in the calculated value of its volume is:
a. 1%
b. 3%
c. 5%
d. 7%
Answer : B

Question. Consider three quantities; x = E/B, y = 1/√μ0ε0 and  z = 1/CR, where l is the length of a wire, C is capacitance and R is resistance and all other symbols have standard meanings then:
a. x, y have the same dimensions
b. x, z have the same dimensions
c. y, z have the same dimensions
d. none of the three pairs have the same dimensions
Answer : A. B. C

Question. For a body in a uniformly accelerated motion, the distance of the body form a reference point at time t is given by, x = at +bt2 +cwhere a, b and c are constants of motion. The dimensions of c are the same as those of:
a. x
b. at
c. bt2
d. b / a
Answer : A. B. C

Question. The resistance R = V/i where V = 100 ± 5 volts and i = 10 ± 0.2 amperes. What is the total error in R.?
a. 5%
b. 7%
c. 5.2%
d. (5/2) %
Answer : B

Question. When a wave traverses a medium the displacement of a particle located at x, at time t is given by, y = asin (bt − cx)where a, b and c are constants of the wave. Which of the following are dimensionless quantities?
a. y/a
b. bt
c. cx
d. b/c
Answer : A. B. C

Question. In the above question, the dimensions of b are the same as those of:
a. wave velocity
b. angular frequency
c. wavelength
d. wave frequency
Answer : B. D

Question. The van der Waals’ equation for n moles of a real gas is (P + a/V2) (V - b) = nRT where P is the pressure, V is the volume, T is the absolute temperature, R is the molar gas constant and a, b are van der Waal’s constants. Which of the following have the same dimensions as those of PV?
a. nRT
b. a /V
c. Pb
d. ab / V2
Answer : ALL

Question. Let (ε0) denote the dimensional formula of the permittivity of the volume and [μ0] that of the permeability of the vacuum. If M = mass, L = length, T = time and T = time and I = electric current, then:
a. [ε0] = [M−1 L−3 T−2 ]
b. [ε0] = [M−1 L−3 T4 I2 ]
c. [μ0] = [M LT−2 I−2 ]
d. [μ0] = [ML2 T−1 I ]
Answer : B. C

Question. If L, C and R represent the physical quantities inductance, capacitance and resistance respectively, the combinations which have the dimensions of frequency are:
a. (1/ RC)
b. (R / L)
c. (1/ LC )
d. (C / R)
Answer : A. B. C

Question. The pressure on a square plate is measured by measuring the force on the plate and the length of the sides of the plate by using the formula P = F / l2 . If the maximum errors in the measurement of force and length are 4% and 2% respectively, then the maximum error in the measurement of pressure cannot be equal to:
a. 1%
b. 2%
c. 8%
d. 10%
Answer : A. B. C

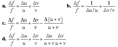
Question. The focal length of a mirror is given by, 1/f = 1/u + 1/v where u and v represent objects and image distance respectively. The maximum relative error in f cannot be equal to:

""CBSE-Class-11-Physics-Physical-World-And-Measurements-Worksheet-Set-A

Answer : A. B. C

Question. Given, cos (t/10 - qx), where t represents time in second and x represents distance in meter. Which of the following statements are false?
a. The unit of x is same as that of q
b. The unit of x is same as that of p
c. The unit of t is same as that of q
d. The unit of t is same as that of p
Answer : A. B. C

Question. The length, breadth and thickness of a block are given by l = 12 cm, b = 6 cm and t = 2.45 cm. The volume of the block according to the idea of significant figures should be:
a. 1 × 102 cm3
b. 2 × 102 cm3
c. 1.763 × 102 cm3
d. None of these
Answer : B

Question. Pressure is defined as?
a. Momentum per unit area
b. Momentum per unit area per unit time
c. Momentum per unit volume
d. Energy per unit volume
Answer : B. C

Assertion and Reason

Note: Read the Assertion (A) and Reason (R) carefully to mark the correct option out of the options given below:
a. If both assertion and reason are true and the reason is the correct explanation of the assertion.
b. If both assertion and reason are true but reason is not the correct explanation of the assertion.
c. If assertion is true but reason is false.
d. If the assertion and reason both are false.
e. If assertion is false but reason is true.

Question. Assertion: The graph between P and Q is straight line, when P/Q is constant.
Reason:The straight line graph means that P is proportional to Q or P is equal to constant multiplied by Q.
Answer : A

Question. Assertion: In the relation ∫ = 1/ι √T/m where symbols have standard meaning, m represents linear mass density.
Reason: The frequency has the dimensions of inverse of time
Answer : B

Question. Assertion: The quantity (1/ μ0 ε0) is dimensionally equal to velocity and numerically equal to velocity of light. 
Reason: μ0 is permeability of free space and ε0 is the permittivity of free space.
Answer : B

Question. Assertion: Log y = Asin (ωt − kx) dimension less.
Reason: Because dimensions of ω =[M0 L0 T].
Answer : C

Question. Assertion: Nembert of significant figures in 0.005 is one and that in 0.500 is three.
Reason: This is because zeros are not significant.
Answer : A

Question. Assertion: The time period of a pendulum is given by the formula T = 2π g/t
Reason: According to the principle of homogeneity of dimensions only that formula is correct in which the dimensions of LHS is equal to dimensions of RHS.
Answer : E

Question. Assertion: Avogadro number is the number of atoms in one gram mole.
Reason: Avogadro number is a dimensionless constant.
Answer : C

Question. Assertion: L/R and CR both have same dimensions.
Reason: L/R and CR both has dimensions of time. 
Answer : A

Question. Assertion: Now a-days, a standard meter is defined in terms of the wavelength of light.
Reason: Light has no relation with length.
Answer : C

Question. Assertion: The order of accuracy of measurement depends on the least count of the measuring instrement.
Reason: The smaller the least count the greater is the number of significant figures in the measured value.
Answer : C

 

CBSE Class 11 Physics Physical World And Measurements Worksheet Se A 1

CBSE Class 11 Physics Physical World And Measurements Worksheet Se A 2

CBSE Class 11 Physics Physical World And Measurements Worksheet Se A 3

CBSE Class 11 Physics Physical World And Measurements Worksheet Se A 4

Please click on below link to download CBSE Class 11 Physics Physical World And Measurements Worksheet Se A

Chapter 1 Physical World CBSE Class 11 Physics Worksheet

Students can use the Chapter 1 Physical World practice sheet provided above to prepare for their upcoming school tests. This solved questions and answers follow the latest CBSE syllabus for Class 11 Physics. You can easily download the PDF format and solve these questions every day to improve your marks. Our expert teachers have made these from the most important topics that are always asked in your exams to help you get more marks in exams.

NCERT Based Questions and Solutions for Chapter 1 Physical World

Our expert team has used the official NCERT book for Class 11 Physics to create this practice material for students. After solving the questions our teachers have also suggested to study the NCERT solutions  which will help you to understand the best way to solve problems in Physics. You can get all this study material for free on studiestoday.com.

Extra Practice for Physics

To get the best results in Class 11, students should try the Physics MCQ Test for this chapter. We have also provided printable assignments for Class 11 Physics on our website. Regular practice will help you feel more confident and get higher marks in CBSE examinations.

Where can I download the latest PDF for CBSE Class 11 Physics Physical World And Measurements Worksheet Set 01?

You can download the teacher-verified PDF for CBSE Class 11 Physics Physical World And Measurements Worksheet Set 01 from StudiesToday.com. These practice sheets for Class 11 Physics are designed as per the latest CBSE academic session.

Are these Physics Class 11 worksheets based on the 2026-27 competency-based pattern?

Yes, our CBSE Class 11 Physics Physical World And Measurements Worksheet Set 01 includes a variety of questions like Case-based studies, Assertion-Reasoning, and MCQs as per the 50% competency-based weightage in the latest curriculum for Class 11.

Do you provide solved answers for CBSE Class 11 Physics Physical World And Measurements Worksheet Set 01?

Yes, we have provided detailed solutions for CBSE Class 11 Physics Physical World And Measurements Worksheet Set 01 to help Class 11 and follow the official CBSE marking scheme.

How does solving CBSE Class 11 Physics Physical World And Measurements Worksheet Set 01 help in exam preparation?

Daily practice with these Physics worksheets helps in identifying understanding gaps. It also improves question solving speed and ensures that Class 11 students get more marks in CBSE exams.

Is there any charge for the Class 11 Physics practice test papers?

All our Class 11 Physics practice test papers and worksheets are available for free download in mobile-friendly PDF format. You can access CBSE Class 11 Physics Physical World And Measurements Worksheet Set 01 without any registration.