CBSE Class 11 Thermodynamics Worksheet Set 01

Access the latest CBSE Class 11 Thermodynamics Worksheet Set 01. We have provided free printable Class 11 Physics worksheets in PDF format, specifically designed for Chapter 11 Thermodynamics. These practice sets are prepared by expert teachers following the 2025-26 syllabus and exam patterns issued by CBSE, NCERT, and KVS.

Chapter 11 Thermodynamics Physics Practice Worksheet for Class 11

Students should use these Class 11 Physics chapter-wise worksheets for daily practice to improve their conceptual understanding. This detailed test papers include important questions and solutions for Chapter 11 Thermodynamics, to help you prepare for school tests and final examination. Regular practice of these Class 11 Physics questions will help improve your problem-solving speed and exam accuracy for the 2026 session.

Download Class 11 Physics Chapter 11 Thermodynamics Worksheet PDF

Question. Which of the following processes is reversible?
(a) Transfer of heat by conduction
(b) Transfer of heat by radiation
(c) Isothermal compression
(d) Electrical heating of a nichrome wire

Answer: C

Question. A gas has pressure P and volume V. It is now compressed adiabatically to 1/32 times the original volume. Given that (32)1.4 = 128, the final pressure is (γ = 1.4)
(a) P/128
(b) P/32
(c) 32 P
(d) 128 P

Answer: D

Question. A system goes from A to B via two processes I and II as shown in figure. If ΔU1 and ΔU2 are the changes in internal energies in the processes I and II respectively, then
(a) relation between ΔU1 and ΔU2 can not be determined
(b) ΔU1 = ΔU2
(c) ΔU1 < ΔU2
(d) ΔU1 > ΔU2

Answer: B

Question. A gas at 27ºC and pressure of 30 atm. is allowed to expand to atmospheric pressure and volume 15 times larger. The final temperature of the gas is
(a) – 123ºC
(b) +123ºC
(c) 273ºC
(d) 373ºC

Answer: A

Question. A system changes from the state (P1, V1) to (P2, V2) as shown in the figure. What is the work done by the system? 
cbse-class-11-thermodynamics-worksheet-a
(a) 7.5 × 105 joule
(b) 7.5 × 105 erg
(c) 12 × 105 joule
(d) 6 × 105 joule

Answer: C

Question. Choose the correct relation between efficiency h of a Carnot engine and the heat absorbed (θ1) and released by the working substance (θ2).
(a) η = 1+θ21
(b) η = 1+θ12
(c) η = 1-θ12
(d) η = 1-θ21

Answer: D

Question. Which of the following relations does not give the equation of an adiabatic process, where terms have their usual meaning?
(a) PγT1–γ = constant 
(b) P1–γ Tγ = constant
(c) PVγ = constant
(d) TVγ–1 = constant

Answer: A

Question. A polyatomic gas (γ = 4/3) is compressed to 1/8th of its volume adiabatically. If its initial pressure is P0, its new pressure will be
(a) 8P0
(b) 16P0
(c) 6P0
(d) 2P0

Answer: B

Question. Monatomic, diatomic and polyatomic ideal gases each undergo slow adiabatic expansions from the same initial volume and same initial pressure to the same final volume. The magnitude of the work done by the environment on the gas is
(a) the greatest for the polyatomic gas
(b) the greatest for the monatomic gas
(c) the greatest for the diatomic gas
(d) the question is irrelevant, there is no meaning of slow adiabatic expansion

Answer: A

Question. Choose the incorrect statement related to an isobaric process.
(a) constant V/T=
(b) W = PDV
(c) Heat given to a system is used up in raising the temperature only.
(d) ΔQ > W

Answer: C

Question. Absolute zero is obtained from
(a) P–V graph
(b) P - 1/V graph
(c) P–T graph
(d) V–T graph

Answer: C

Question. An ideal gas heat engine operates in Carnot cycle between 227°C and 127°C. It absorbs 6 × 104 cals of heat at higher temperature. Amount of heat converted to work is
(a) 4.8 × 104 cal
(b) 6 × 104 cal
(c) 2.4 × 104 cal
(d) 1.2 × 104 cal

Answer: D

Question. In the given (V – T) diagram, what is the relation between pressure P1 and P2
cbse-class-11-thermodynamics-worksheet-a
(a) P2 > P1
(b) P2 < P1
(c) P2 = P1
(d) Cannot be predicted

Answer: B

Question. Three moles of an ideal gas kept at a constant temperature at 300 K are compressed from a volume of 4 litre to 1 litre. The work done in the process is
(a) – 10368 J
(b) –110368 J
(c) 12000 J
(d) 120368 J

Answer: A

Question. A mass of ideal gas at pressure P is expanded isothermally to four times the original volume and then slowly compressed adiabatically to its original volume. Assuming γ to be 1.5, the new pressure of the gas is
(a) 2 P
(b) P
(c) 4 P
(d) P/2

Answer: A

Question. One mole of an ideal gas at temperature T was cooled isochorically till the gas pressure fell from P to p/n . Then, by an isobaric process, the gas was restored to the initial temperature. The net amount of heat absorbed by the gas in the process is
(a) nRT
(b) RT/n
(c) RT (1 – n–1)
(d) RT (n – 1)

Answer: C

Question. At a given temperature the internal energy of a substance
(a) in liquid state is equal to that in gaseous state.
(b) in liquid state is less than that in gaseous state.
(c) in liquid state is more than that in gaseous state.
(d) is equal for the three states of matter.

Answer: B

Question. The pressure inside a tyre is 4 times that of atmosphere. If the tyre bursts suddenly at temperature 300 K, what will be the new temperature?
(a) 300 (4)7/2
(b) 300 (4)2/7
(c) 300 (2)7/2
(d) 300 (4)–2/7

Answer: D

Question. A monatomic ideal gas expands at constant pressure, with heat Q supplied. The fraction of Q which goes as work done by the gas is
(a) 1
(b) 2/3
(c) 3/5
(d) 2/5

Answer: D

Assertion and Reason

Note: Read the Assertion (A) and Reason (R) carefully to mark the correct option out of the options given below:
a. If both assertion and reason are true and the reason is the correct explanation of the assertion.
b. If both assertion and reason are true but reason is not the correct explanation of the assertion.
c. If assertion is true but reason is false.
d. If the assertion and reason both are false.
e. If assertion is false but reason is true

Question. Assertion: Thermodynamic processes in nature are irreversible.
Reason: Dissipative effects cannot be eliminated.
Answer : A

Question. Assertion: When a glass of hot milk is placed in a room and allowed to cool, its entropy decreases.
Reason: Allowing hot objects to cool does not violate the second law of thermo dynamic.
Answer : B

Question. Assertion: The Carnot cycle is useful in underst anding the performance of the heat engines.
Reason: The Carnot cycle provides a way of determining ghe maximum possible efficiency achievable with reservoirs of given temperature.
Answer : A

Question. Assertion: The isothermal curves intersect each other at a certain point
Reason: The isothermal change takes place slowly, so the isothermal curves have very little slope.
Answer : E

Question. Assertion: When a bottle of cold carbonated drink is opened, a slight fog forms around the opening.
Reason: Adiabatic expansion of the gas causes lowering of temperature and condensation of water vapours.
Answer : A

Question. Assertion: In isothermal process, whole of the heat energy supplied to the body is converted into internal energy.
Reason: According to the first law of thermo dynamics ΔQ = ΔU + PΔV
Answer : E

Question. Assertion: Reversible systems are difficult to find in real world.
Reason: Most processes are dissipative in nature
Answer : A

Question. Assertion: In an adiabatic process, change in internal energy of a gas is equal to work done on or by the gas in the process.
Reason: Temperature of gas remains constant in a adiabatic process.
Answer : C

Question. Assertion: In adiabatic compression the internal energy and temperature of the system get decreased.
Reason: The adiabatic compression is a low process.
Answer : D

Question. Assertion: It is not possible for a system, unaided by an external agency to transfer heat from a body at lower temperature to another body at higher temperature.
Reason: According to Clausius statement, “ No process is possible whose sole result is the transfer of heat from a cooled object to a hotter object.
Answer : A

Question. Assertion: A cylindrical fitted with a movable piston contains a certain amount of a liquid in equilibrium with its vapour. The temperature of the system is kept constant. If the volume of the vapour is decreased by moving the piston inwards, the vapour pressure will remin unchanged
Reason: Vapour, in equilibrium with its liqid, at a constan temperature does not obey Boyle’s law.
Answer : A

Question. Assertion: Heating system based on circulation of steam are more efficient in warming a house than those based or circulation of hot water.
Reason: The latent heat of steam is high.
Answer : A

Question. Assertion: Work and heat are two equivalent form of energy.
Reason: Work is the transfer of mechanical energy irrespective of temperature difference, whereas heat is the transfer of thermal energy because of temperature difference only
Answer : A

Comprehension Based

Paragraph –I

Mixture of gases is very common. On mixing, some gases may react with each other to form a new chemical compound gas. Some of them do not react chemically. They have different physical properties. If two such gases are mixed then answer the following questions for the mixture.\

Question. If m1 and m2 are their molar masses, n1 and n2 are the number of moles mixed, CV1 and CVare their molar specific heats at constant volume then the specific heat at constant volume for the mixture is:

""CBSE-Class-11-Thermodynamics-Worksheet-A-2

Answer : B

Question. Specific heat of mixture at common pressure is:

""CBSE-Class-11-Thermodynamics-Worksheet-A-1

Answer : A

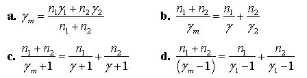
Question. Ratio y = Cp/Cv for two gases is γ1 and γ2, then for the mixture γm is:

""CBSE-Class-11-Thermodynamics-Worksheet-A

Answer : D

Paragraph –II

Thermodynamic process is represented by changes in pressure, volume and temperature etc., for an ideal gas. In one such experiment a student plots PV graph for one mole of gas as in adjoining figure. From analysis of the graph answer the following question if proton ml of the graph is an isothermal process.

""CBSE-Class-11-Thermodynamics-Worksheet-A-3

Question. The corresponding P-T diagram called phase diagram is:

""CBSE-Class-11-Thermodynamics-Worksheet-A-4

Answer : A

Question. Work done during isothermal process is:
a. area mlnm
b. area fmlgf
c. area gfnlg
d. None of these
Answer : B

Question. Which of the following graphs will represent the variations of compressibility σ of gas with pressure for isothermal change mn in this P-V graph?

""CBSE-Class-11-Thermodynamics-Worksheet-A-5

Answer : A

 

1. Can you design heat energy of 100% efficiency?

2. Does the working of an electric refrigerator defy second law of thermodynamics?

3. A Carnot engine absorb 6×105 cal at 22°c calculate work done per cycle by the engine if it sink is at 127°c?

4. How does second law of thermodynamics explain expansion of gas?

5. Calculate difference in efficiency of a Carnot energy working between:-

1) 400K and 350K

2) 350K and 300K

6. Derive an expression for the work done during isothermal expansion?

7. Briefly describe a Carnot cycle and derive an expression for the efficiency of Carnot cycle?

Click on link below to download CBSE Class 11 Thermodynamics Worksheet A.

Chapter 11 Thermodynamics CBSE Class 11 Physics Worksheet

Students can use the Chapter 11 Thermodynamics practice sheet provided above to prepare for their upcoming school tests. This solved questions and answers follow the latest CBSE syllabus for Class 11 Physics. You can easily download the PDF format and solve these questions every day to improve your marks. Our expert teachers have made these from the most important topics that are always asked in your exams to help you get more marks in exams.

NCERT Based Questions and Solutions for Chapter 11 Thermodynamics

Our expert team has used the official NCERT book for Class 11 Physics to create this practice material for students. After solving the questions our teachers have also suggested to study the NCERT solutions  which will help you to understand the best way to solve problems in Physics. You can get all this study material for free on studiestoday.com.

Extra Practice for Physics

To get the best results in Class 11, students should try the Physics MCQ Test for this chapter. We have also provided printable assignments for Class 11 Physics on our website. Regular practice will help you feel more confident and get higher marks in CBSE examinations.

Where can I download the latest PDF for CBSE Class 11 Thermodynamics Worksheet Set 01?

You can download the teacher-verified PDF for CBSE Class 11 Thermodynamics Worksheet Set 01 from StudiesToday.com. These practice sheets for Class 11 Physics are designed as per the latest CBSE academic session.

Are these Physics Class 11 worksheets based on the 2026-27 competency-based pattern?

Yes, our CBSE Class 11 Thermodynamics Worksheet Set 01 includes a variety of questions like Case-based studies, Assertion-Reasoning, and MCQs as per the 50% competency-based weightage in the latest curriculum for Class 11.

Do you provide solved answers for CBSE Class 11 Thermodynamics Worksheet Set 01?

Yes, we have provided detailed solutions for CBSE Class 11 Thermodynamics Worksheet Set 01 to help Class 11 and follow the official CBSE marking scheme.

How does solving CBSE Class 11 Thermodynamics Worksheet Set 01 help in exam preparation?

Daily practice with these Physics worksheets helps in identifying understanding gaps. It also improves question solving speed and ensures that Class 11 students get more marks in CBSE exams.

Is there any charge for the Class 11 Physics practice test papers?

All our Class 11 Physics practice test papers and worksheets are available for free download in mobile-friendly PDF format. You can access CBSE Class 11 Thermodynamics Worksheet Set 01 without any registration.