CBSE Class 11 Thermodynamics Worksheet Set 03

Access the latest CBSE Class 11 Thermodynamics Worksheet Set 03. We have provided free printable Class 11 Physics worksheets in PDF format, specifically designed for Chapter 11 Thermodynamics. These practice sets are prepared by expert teachers following the 2025-26 syllabus and exam patterns issued by CBSE, NCERT, and KVS.

Chapter 11 Thermodynamics Physics Practice Worksheet for Class 11

Students should use these Class 11 Physics chapter-wise worksheets for daily practice to improve their conceptual understanding. This detailed test papers include important questions and solutions for Chapter 11 Thermodynamics, to help you prepare for school tests and final examination. Regular practice of these Class 11 Physics questions will help improve your problem-solving speed and exam accuracy for the 2026 session.

Download Class 11 Physics Chapter 11 Thermodynamics Worksheet PDF

Question. In the cyclic process shown on the V-P diagram, the magnitude of the work done cannot be equal to:

""CBSE-Class-11-Thermodynamics-Worksheet-C

Answer : A, B, D

Question. An ideal gas undergoes a thermodynamic cycle as shown in figure. Which of the following graphs represent the same cycle?

""CBSE-Class-11-Thermodynamics-Worksheet-C-1

Answer : A, C

Question. An ideal gas is taken from the state A (pressure p, volume V to the state B (pressure p/2, volume 2V) along a straight line path in the p-V diagram. Select the correct statements from the following:
a. The work done by the gas in the process A to B exceeds the work that would be done by it if the system were taken from A to B along an isotherm
b. In the T-V diagram, the path AB becomes a part of a parabola
c. In the p-T diagram, the path AB becomes a part of a hyperbola 
d. In going from A to B, the temperature T of the gas first increases to a maximum value and then decrease
Answer : A, B, D

Question. During the melting of a slab of ice at 273 K at atmospheric pressure:
a. positive work is done by the ice-water system on the atmosphere
b. positive work is done on the ice-water system by the atmosphere
c. the internal energy of the ice-water increases
d. the internal energy of the ice-water system decreases
Answer : B, C

Question. The figure shows the p-V plot an ideal gas taken through a cycle ABCDA. The part ABC is a semi-circle and CDA is half of an ellipse. Then:

""CBSE-Class-11-Thermodynamics-Worksheet-C-2

a. the process during the path A→B is isothermal
b. heat flows out of the gas during the path B→C→D
c. work done during the path A→B→C is zero
d. positive work is done by the gas in the cycle ABCDA
Answer : B, D

Question. One mole of an ideal gas in initial state A undergoes a cyclic process ABCA, as shown in figure. Its pressure at A is p0. Choose the correct option from the following:

""CBSE-Class-11-Thermodynamics-Worksheet-C-3

a. Internal energies at A and B are the same
b. Work done by the gas in process AB is p0V0 ln 4
c. Pressure at C is P0/4
d. Temperature at C is T0/4
Answer : A, B

Question. One mole of a monatomic ideal gas undergoes a cyclic process as shown in the figure (where V is the volume and T is the temperature). Which of the statements below is (are) true?

""CBSE-Class-11-Thermodynamics-Worksheet-C-5

a. Process I is an isochoric process
b. In process II, gas absorbs heat
c. In process IV, gas releases heat
d. Processes I and III are not isobaric
Answer : B, C, D

Question. Two samples A and B of a gas initially at the same pressure and temperature are compressed from volume V to V/2 (A isothermally and adiabatically). The final pressure of A is
a. Greater than the final pressure of B
b. Equal to the final pressure of B
c. Less than the final pressure of B
d. Twice the final pressure of B
Answer : C

Question. Two cylinders A and B fitted with pistons contain equal amounts of an ideal diatomic gas at 300 K. The piston of A is free to move while that of B is held fixed. The same amount of heat is given to the gas in each cylinder. If the rise in temperature of the gas in A is 30 K, then the rise in temperature of the gas in B is
a. 30 K
b. 18 K
c. 50 K
d. 42 K
Answer : D

Question. The specific heat of hydrogen gas at constant pressure is Cp 3.4 x 103 cal / kg °C and at constant volume is Cv 2.4 x 103 cal / kg°C If one kilogram hydrogen gas is heated from 10°C to 20°C at constant pressure, the external work done on the gas to maintain it at constant pressure is
a. 10cal
b. 10cal
c. 103 cal
d. 5 × 103 cal
Answer : B

Comprehension Based

Paragraph –I

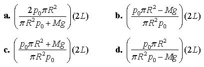
A fixed thermally conducting cylinder has a radius R and height L0. The cylinder is open at its bottom and has a small hole at its top. A piston of mass M is held at a distance L from the top surface, as shown in the figure. The atmospheric pressure is p0:

Question. The piston is now pulled out slowly and held at a distance 2L from the top. The pressure in the cylinder between its top and the piston will then be:
a. p0
b. P0/2
c. P0/2 + Mg/πR2
d. p0/2 - Mg/πR2
Answer : A

Question. While the piston is at a distance 2L from the top, the hole at the top is sealed. The piston is then released, to a position where it can stay in equilibrium. In this condition, the distance of the piston from the top is:

""CBSE-Class-11-Thermodynamics-Worksheet-C-6

Answer : D

Question. The piston is taken completely out of the cylinder. The hole at the top is sealed. A water tank is brought below the cylinder and put in a position so that the water surface in the tank is at the same level as the top of the cylinder as shown in the figure. The density of the water is ρ In equilibrium, the height H of the water column in the cylinder satisfies:

""CBSE-Class-11-Thermodynamics-Worksheet-C-7

a. ρg (L0 − H)2 + p0 (L0 − H) + L0 p0 = 0
b. ρg (L0 − H)2 − p0 (L0 − H) − L0 p0 = 0
c. ρg (L0 − H)2 + p0 (L0 − H) − L0 p0 = 0
d. pg(L0 − H)2 − p0 (L0 − H) + L0 p0 = 0
Answer : C

Question. Figure shows the variation of internal energy (U) with the pressure (P) of 2.0 mole gas in cyclic process abcda. The temperature of gas at c and d are 300 K and 500 K. Calculate the heat absorbed by the gas during the process. 
(a) 400 R ln 2
(b) 200 R ln 2
(c) 100 R ln 2
(d) 300 R ln 2

Answer: A

Question. If ΔU and ΔW represent the increase in internal energy and work done by the system respectively in a thermodynamical process, which of the following is true?
(a) ΔU = -ΔW, in an adiabatic process
(b) ΔU =ΔW, in an isothermal process
(c) ΔU =ΔW, in an adiabatic process
(d) ΔU =-ΔW, in an isothermal process

Answer: A

Question. The volume of a gas is reduced adiabatically to 1/4 of its volume at 27ºC. If γ = 1.4 the new temperature is
(a) (300) 20.4 K
(b) (300) 21.4 K
(c) 300 (4)0.4 K
(d) 300 (2)1.4 K

Answer: C

Question. A mass of diatomic gas (ϒ = 1.4) at a pressure of 2 atmospheres is compressed adiabatically so that its temperature rises from 27°C to 927°C. The pressure of the gas in final state is
(a) 28 atm
(b) 68.7 atm
(c) 256 atm
(d) 8 atm

Answer: C

Question. An ideal gas undergoes cyclic process ABCDA as shown in given p-V diagram. The amount of work done by the gas is 
cbse-class-11-thermodynamics-worksheet-c
(a) 6p0V0
(b) –2p0V0
(c) +2p0V0
(d) +4p0V0

Answer: B

Question. The coefficient of performance of a refrigerator is 5. If the inside temperature of freezer is –20°C, then the temperature of the surroundings to which it rejects heat is 
(a) 41°C
(b) 11°C
(c) 21°C
(d) 31°C

Answer: D

Question. In an adiabatic process, the pressure is increased by 2/3%. If ϒ= 3/2 , then the volume decreases by nearly
(a) 4/9%
(b) 2/3%
(c) 1%
(d) 9/4%

Answer: A

Question. An ideal gas is compressed to half its initial volume by means of several processes. Which of the process results in the maximum work done on the gas? 
(a) Isobaric
(b) Isochoric
(c) Isothermal
(d) Adiabatic

Answer: D

Question. In a Carnot engine efficiency is 40% at hot reservoir temperature T. For efficiency 50%, what will be the temperature of hot reservoir?
(a) T
(b) 2/3 T
(c) 4/5 T
(d) 6/5 T

Answer: D

Question. A gas is compressed isothermally to half its initial volume. The same gas is compressed separately through an adiabatic process until its volume is again reduced to half. Then :
(a) Compressing the gas isothermally will require more work to be done.
(b) Compressing the gas through adiabatic process will require more work to be done.
(c) Compressing the gas isothermally or adiabatically will require the same amount of work.
(d) Which of the case (whether compression through isothermal or through adiabatic process) requires more work will depend upon the atomicity of the gas.

Answer: B

Directions for Each question contains STATEMENT-1 and STATEMENT-2. Choose the correct answer (ONLY ONE option is correct ) from the following.
(a) Statement-1 is false, Statement-2 is true
b) Statement-1 is true, Statement-2 is true; Statement -2 is a correct explanation for Statement-1
(c) Statement-1 is true, Statement-2 is true; Statement -2 is not a correct explanation for Statement-1
(d) Statement-1 is true, Statement-2 is false

Question. Statement-1 : At a given temperature the specific heat of a gas at constant volume is always greater than its specific heat at constant pressure.
Statement-2 : When a gas is heated at constant volume some extra heat is needed compared to that at constant pressure for doing work in expansion.

Answer: A

Question. Statement -1 : If an ideal gas expands in vacuum in an insulated chamber, ΔQ, ΔU and ΔW all are zero.
Statement-2 : Temperature of the gas remains constant.

Answer: C

Question. An ideal gas undergoes four different processes from the same initial state (figure). Four processes are adiabatic, isothermal, isobaric and isochoric. Out of 1, 2, 3 and 4 which one is adiabatic?
(a) 4
(b) 3
(c) 2
(d) 1

Answer: C

Question. The internal energy of an ideal gas does not depend upon
(a) temperature of the gas
(b) pressure of the gas
(c) atomicity of the gas
(d) number of moles of the gas.

Answer: B

Question. At 27ºC a gas is compressed suddenly such that its pressure becomes (1/8) of original pressure. Final temperature will be (γ = 5/3)
(a) 450 K
(b) 300 K
(c) –142ºC
(d) 327ºC

Answer: C

Question. One mole of an ideal gas at an initial temperature of T K does 6R joules of work adiabatically. If the ratio of specific heats of this gas at constant pressure and at constant volume is 5/3, the final temperature of gas will be
(a) (T – 4) K
(b) (T + 2.4) K
(c) (T – 2.4) K
(d) (T + 4) K

Answer: A

Question. A thermodynamic system goes from states (i) P1, V to 2P1, V (ii) P, V1 to P, 2V1. Then work done in the two cases is
(a) zero, zero
(b) zero, PV1
(c) PV1, zero
(d) PV1, P1V1

Answer: B

Question. Consider two containers A and B containing identical gases at the same pressure, volume and temperature. The gas incontainer A is compressed to half of its original volume isothermally while the gas in container B is compressed to half of its original value adiabatically. The ratio of final pressure of gas in B to that of gas in A is
(a) 2γ-1
(b) (1/2)γ-1
(c) (1/1-γ)2
(d) (1/γ-1)2

Answer: A

Question. In pressure-volume diagram, the isochoric, isothermal, isobaric and iso-entropic parts respectively, are 
cbse-class-11-thermodynamics-worksheet-c
(a) BA, AD, DC,CB
(b) DC, CB, BA, AD
(c) AB, BC, CD, DA
(d) CD, DA, AB, BC

Answer: D

Integer

Question. Calculate the pressure required to compress a gas adiabatically at atmospheric pressure to one third of its volume. Given γ =1.47.
Answer : 5

Question. One mole of an ideal gas undergoes a cyclic change ABCDA as shown in figure. What is the net work done in the process? Take l atm. = 105 Pa.

""CBSE-Class-11-Thermodynamics-Worksheet-C-8

Answer : 4

Question. In a Carnot engine, the source temperature is 350 K. If temp. Of sink is 31.5 K lower than temp. Of source, what would be the efficiency of the engine?
Answer : 9

Question. A Carnot engine absorbs 8 kJ of energy at 400 K. If sink in maintained at 300 K, calculate useful work done per cycle by the engine.
Answer : 2

Question. Two Carnot engines A and B operate respectively between 500 K and 400 K; and 400 K and 300 K. what is the difference in their efficiencies?
Answer : 5

 

1. What is the foundation of Thermodynamics?

2. State Carnot’s Theorem?

3. Differentiate between isothermal and adiabatic process?

4. A Carnot engine develops 100 H.P. and operates between 27°C and 227°C. Find

1) thermal efficiency; 2) heat supplied 3) heat rejected?

5. The internal energy of a compressed gas is less than that of the rarified gas at the same temperature. Why?

6. Consider the cyclic process A B C A on a sample 2 mol of an ideal gas as shown. The temperature of the gas at A and B are300 K and 500K respected. Total of 1200 J of heat is with drawn from the sample. Find the work done by the gas in part BC?

CBSE Class 11 Thermodynamics Worksheet C

7. A refrigerator placed in a room at 300 K has inside temperature 264K. How many calories of heat shall be delivered to the room for each 1 K cal of energy consumed by the refrigerator, ideally?               

8. If the door of a refrigerator is kept open in a room, will it make the room warm or cool?

9. Five moles of an ideal gas are taken in a Carnot engine working between 100°C and 30°C. The useful work done in 1 cycle is 420J. Calculate the ratio of the volume of the gas at the end and beginning of the isothermal expansion?

10. The following figure shows a process A B C A per formed on an ideal gas, find the net heat given to the system during the process?

CBSE Class 11 Thermodynamics Worksheet C1

11. A quantity of oxygen is compressed isothermally until its pressure is doubled. It is then allowed to expand adiabatically until its original volume is restored. Find the final pressure in terms of initial pressure? Take Y = 1.4? 

Click on link below to download CBSE Class 11 Thermodynamics Worksheet C.

Chapter 11 Thermodynamics CBSE Class 11 Physics Worksheet

Students can use the Chapter 11 Thermodynamics practice sheet provided above to prepare for their upcoming school tests. This solved questions and answers follow the latest CBSE syllabus for Class 11 Physics. You can easily download the PDF format and solve these questions every day to improve your marks. Our expert teachers have made these from the most important topics that are always asked in your exams to help you get more marks in exams.

NCERT Based Questions and Solutions for Chapter 11 Thermodynamics

Our expert team has used the official NCERT book for Class 11 Physics to create this practice material for students. After solving the questions our teachers have also suggested to study the NCERT solutions  which will help you to understand the best way to solve problems in Physics. You can get all this study material for free on studiestoday.com.

Extra Practice for Physics

To get the best results in Class 11, students should try the Physics MCQ Test for this chapter. We have also provided printable assignments for Class 11 Physics on our website. Regular practice will help you feel more confident and get higher marks in CBSE examinations.

Where can I download the latest PDF for CBSE Class 11 Thermodynamics Worksheet Set 03?

You can download the teacher-verified PDF for CBSE Class 11 Thermodynamics Worksheet Set 03 from StudiesToday.com. These practice sheets for Class 11 Physics are designed as per the latest CBSE academic session.

Are these Physics Class 11 worksheets based on the 2026-27 competency-based pattern?

Yes, our CBSE Class 11 Thermodynamics Worksheet Set 03 includes a variety of questions like Case-based studies, Assertion-Reasoning, and MCQs as per the 50% competency-based weightage in the latest curriculum for Class 11.

Do you provide solved answers for CBSE Class 11 Thermodynamics Worksheet Set 03?

Yes, we have provided detailed solutions for CBSE Class 11 Thermodynamics Worksheet Set 03 to help Class 11 and follow the official CBSE marking scheme.

How does solving CBSE Class 11 Thermodynamics Worksheet Set 03 help in exam preparation?

Daily practice with these Physics worksheets helps in identifying understanding gaps. It also improves question solving speed and ensures that Class 11 students get more marks in CBSE exams.

Is there any charge for the Class 11 Physics practice test papers?

All our Class 11 Physics practice test papers and worksheets are available for free download in mobile-friendly PDF format. You can access CBSE Class 11 Thermodynamics Worksheet Set 03 without any registration.