CBSE Class 12 Mathematics Continuity And Differentiability Worksheet Set 12

Read and download the CBSE Class 12 Mathematics Continuity And Differentiability Worksheet Set 12 in PDF format. We have provided exhaustive and printable Class 12 Mathematics worksheets for Chapter 5 Continuity and Differentiability, designed by expert teachers. These resources align with the 2026-27 syllabus and examination patterns issued by NCERT, CBSE, and KVS, helping students master all important chapter topics.

Chapter-wise Worksheet for Class 12 Mathematics Chapter 5 Continuity and Differentiability

Students of Class 12 should use this Mathematics practice paper to check their understanding of Chapter 5 Continuity and Differentiability as it includes essential problems and detailed solutions. Regular self-testing with these will help you achieve higher marks in your school tests and final examinations.

Class 12 Mathematics Chapter 5 Continuity and Differentiability Worksheet with Answers

 

CBSE Class 12 Mathematics Worksheet - Continuity And Differentiability. CBSE issues sample papers every year for students for class 12 board exams. Students should solve the CBSE issued sample papers to understand the pattern of the question paper which will come in class 12 board exams this year. The sample papers have been provided with marking scheme. It’s always recommended to practice as many CBSE sample papers as possible before the board examinations. Sample papers should be always practiced in examination condition at home or school and the student should show the answers to teachers for checking or compare with the answers provided. Students can download the sample papers in pdf format free and score better marks in examinations. Refer to other links too for latest sample papers.

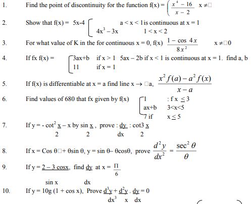
Class_12_Mathematics _Worksheet_2

Please click the link below to download full pdf file for CBSE Class 12 Mathematics Worksheet - Continuity And Differentiability.

CBSE Mathematics Class 12 Chapter 5 Continuity and Differentiability Worksheet

Students can use the practice questions and answers provided above for Chapter 5 Continuity and Differentiability to prepare for their upcoming school tests. This resource is designed by expert teachers as per the latest 2026 syllabus released by CBSE for Class 12. We suggest that Class 12 students solve these questions daily for a strong foundation in Mathematics.

Chapter 5 Continuity and Differentiability Solutions & NCERT Alignment

Our expert teachers have referred to the latest NCERT book for Class 12 Mathematics to create these exercises. After solving the questions you should compare your answers with our detailed solutions as they have been designed by expert teachers. You will understand the correct way to write answers for the CBSE exams. You can also see above MCQ questions for Mathematics to cover every important topic in the chapter.

Class 12 Exam Preparation Strategy

Regular practice of this Class 12 Mathematics study material helps you to be familiar with the most regularly asked exam topics. If you find any topic in Chapter 5 Continuity and Differentiability difficult then you can refer to our NCERT solutions for Class 12 Mathematics. All revision sheets and printable assignments on studiestoday.com are free and updated to help students get better scores in their school examinations.

FAQs

Where can I download the 2026-27 CBSE printable worksheets for Class 12 Mathematics Chapter Chapter 5 Continuity and Differentiability?

You can download the latest chapter-wise printable worksheets for Class 12 Mathematics Chapter Chapter 5 Continuity and Differentiability for free from StudiesToday.com. These have been made as per the latest CBSE curriculum for this academic year.

Are these Chapter Chapter 5 Continuity and Differentiability Mathematics worksheets based on the new competency-based education (CBE) model?

Yes, Class 12 Mathematics worksheets for Chapter Chapter 5 Continuity and Differentiability focus on activity-based learning and also competency-style questions. This helps students to apply theoretical knowledge to practical scenarios.

Do the Class 12 Mathematics Chapter Chapter 5 Continuity and Differentiability worksheets have answers?

Yes, we have provided solved worksheets for Class 12 Mathematics Chapter Chapter 5 Continuity and Differentiability to help students verify their answers instantly.

Can I print these Chapter Chapter 5 Continuity and Differentiability Mathematics test sheets?

Yes, our Class 12 Mathematics test sheets are mobile-friendly PDFs and can be printed by teachers for classroom.

What is the benefit of solving chapter-wise worksheets for Mathematics Class 12 Chapter Chapter 5 Continuity and Differentiability?

For Chapter Chapter 5 Continuity and Differentiability, regular practice with our worksheets will improve question-handling speed and help students understand all technical terms and diagrams.