CBSE Class 10 Mathematics Quadratic Equation Worksheet Set 13

Read and download the CBSE Class 10 Mathematics Quadratic Equation Worksheet Set 13 in PDF format. We have provided exhaustive and printable Class 10 Mathematics worksheets for Chapter 4 Quadratic Equation, designed by expert teachers. These resources align with the 2026-27 syllabus and examination patterns issued by NCERT, CBSE, and KVS, helping students master all important chapter topics.

Chapter-wise Worksheet for Class 10 Mathematics Chapter 4 Quadratic Equation

Students of Class 10 should use this Mathematics practice paper to check their understanding of Chapter 4 Quadratic Equation as it includes essential problems and detailed solutions. Regular self-testing with these will help you achieve higher marks in your school tests and final examinations.

Class 10 Mathematics Chapter 4 Quadratic Equation Worksheet with Answers

 

Quadratic Equation

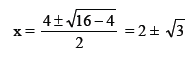
Q.-  Find the roots of the equation x2 – 4x + 1 = 0.
 
Sol. Here a = 1, b = 4, c = 1
Using Hindu Method

 Quadratic equations notes 6

Q.- Find the nature of the roots of the quadratic equation 7x2 – 9x + 2 = 0.
 
Sol. b2 – 4ac = 81– 56 = 25 > 0 and a perfect square
so roots are rational and different.
 
Q.- Find the nature of the roots of the quadratic equation 2x2 – 7x + 4 = 0.
 
Sol. b2–4ac = 49 – 32 = 17 > 0 (not a perfect square) Its roots are irrational and different.
 
Q.- Find the nature of the roots of the quadratic equation x2 – 2 (a + b) x + 2(a2 + b2) = 0.
 
Sol. A = 1, B = –2 (a + b), C = 2 (a2 + b2)
B2 – 4AC = 1[2(a + b)]2 – 4(1) (2a2 + 2b2)
= 4a2 + 4b2 + 8ab – 8a2 – 8b2
= – 4a2 – 4b2 + 8 ab
= – 4(a–b)2 < 0
 
Q.- Find the nature of roots of the equation x2 – 2 2 x + 1 = 0.
 
Sol. The discriminant of the equation
(–2 √2 )2 – 4(1) (1) = 8 – 4 = 4 > 0 and a
perfect square so roots are real and different but we can't say that roots are rational because coefficients are not rational therefore.

Quadratic equations notes 7

this is irrational.
∴ the roots are real and different
 
Q.-  Find the nature of the roots of the equation (b + c) x2 – (a + b + c) x + a = 0, (a,b,c ϵ Q) ?
Sol. The discriminant of the equation is (a +b + c)2 – 4(b + c) (a)
= a2+ b2+ c2 + 2ab + 2bc + 2ca – 4(b+c)a
= a2 + b2 + c2 + 2ab + 2bc + 2ca – 4ab – 4 ac
= a2 + b2 + c2 – 2 ab + 2 bc – 2 ca
(a – b – c)2 > 0
So roots are rational and different.
 
Q.- If the roots of the equation x2 + 2x +P = 0 are real then find the value of P.
 
Sol. Here a = 1, b = 2, c = P
∴ discriminant = (2)2 – 4 (1) (P) 0
(Since roots are real)
=> 4 – 4 P ≥ 0 => 4 ≥ 4P
≥  P ≤ 1

Ex.47 If the product of the roots of the quadratic equation mx2 – 2x + (2m–1) = 0 is 3 then find the value of m is -

Sol. Product of the roots c/a = 3 = 2m -1/m
∴ 3m – 2m = – 1
=> m = – 1
 
Q.- If the equation (k – 2)x2 – (k – 4) x – 2 = 0 has difference of roots as 3 then find the value of k.
Quadratic equations notes 8
Q.- Find the equation whose roots are 3 and 4.
 
Sol. The quadratic equation is given by
x2 – (sum of the roots) x + (product of roots) = 0
∴ The required equation
= x2 – (3 + 4) x + 3.4 = 0
= x2 – 7x + 12 = 0
 
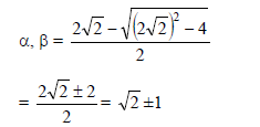
Q.- Find the quadratic equation with rational coefficients whose one root is 2 + √3 -
 
Sol. The required equation is 
x2 – {(2+ 3 ) + (2– 3 ) } x + (2 + 3 ) (2– 3 ) = 0
or x2 – 4x + 1 = 0
 
Q.- If α,β are roots of the equation x2 – 5x + 6 = 0 then find the equation whose roots are α + 3 and β + 3 is -
 
Sol. Let α + 3 = x
∴ α = x – 3 (Replace x by x – 3)
So the required equation is
(x – 3)2 – 5 (x–3) + 6 = 0              ...(1)
=> x2 – 6 x + 9 –5x + 15 + 6 = 0
=>  x2 –11 x + 30 = 0                  ...(2)
 
Q.- If r and s are positive, then find the nature of roots of the equation x2 – rx – s = 0
 
Sol. Here Discriminant
= r2 + 4s > 0 (∴ r, s > 0)
=> roots are real
Again a = 1 > 0 and c = – s < 0
=> roots are of opposite signs.
 
Q.- Find the nature of both roots of the equation
(x–b) (x–c) + (x–c) (x–a) + (x – a) (x– b) = 0.
 
Sol. The given equation can be written in the following form :
3x2 – 2 (a + b + c) x + (ab + bc + ca) = 0
Here discriminant
= 4(a + b+ c)2 – 12 (ab + bc + ca)
= 4[(a2 + b2 + c2) – (ab + bc + ca)] > 0
[ a2 + b2 + c2 > ab + bc+ ca]
 

Please click the below link to access CBSE Class 10 Mathematics Quadratic Equation Worksheet Set M

CBSE Mathematics Class 10 Chapter 4 Quadratic Equation Worksheet

Students can use the practice questions and answers provided above for Chapter 4 Quadratic Equation to prepare for their upcoming school tests. This resource is designed by expert teachers as per the latest 2026 syllabus released by CBSE for Class 10. We suggest that Class 10 students solve these questions daily for a strong foundation in Mathematics.

Chapter 4 Quadratic Equation Solutions & NCERT Alignment

Our expert teachers have referred to the latest NCERT book for Class 10 Mathematics to create these exercises. After solving the questions you should compare your answers with our detailed solutions as they have been designed by expert teachers. You will understand the correct way to write answers for the CBSE exams. You can also see above MCQ questions for Mathematics to cover every important topic in the chapter.

Class 10 Exam Preparation Strategy

Regular practice of this Class 10 Mathematics study material helps you to be familiar with the most regularly asked exam topics. If you find any topic in Chapter 4 Quadratic Equation difficult then you can refer to our NCERT solutions for Class 10 Mathematics. All revision sheets and printable assignments on studiestoday.com are free and updated to help students get better scores in their school examinations.

Where can I download the 2026-27 CBSE printable worksheets for Class 10 Mathematics Chapter Chapter 4 Quadratic Equation?

You can download the latest chapter-wise printable worksheets for Class 10 Mathematics Chapter Chapter 4 Quadratic Equation for free from StudiesToday.com. These have been made as per the latest CBSE curriculum for this academic year.

Are these Chapter Chapter 4 Quadratic Equation Mathematics worksheets based on the new competency-based education (CBE) model?

Yes, Class 10 Mathematics worksheets for Chapter Chapter 4 Quadratic Equation focus on activity-based learning and also competency-style questions. This helps students to apply theoretical knowledge to practical scenarios.

Do the Class 10 Mathematics Chapter Chapter 4 Quadratic Equation worksheets have answers?

Yes, we have provided solved worksheets for Class 10 Mathematics Chapter Chapter 4 Quadratic Equation to help students verify their answers instantly.

Can I print these Chapter Chapter 4 Quadratic Equation Mathematics test sheets?

Yes, our Class 10 Mathematics test sheets are mobile-friendly PDFs and can be printed by teachers for classroom.

What is the benefit of solving chapter-wise worksheets for Mathematics Class 10 Chapter Chapter 4 Quadratic Equation?

For Chapter Chapter 4 Quadratic Equation, regular practice with our worksheets will improve question-handling speed and help students understand all technical terms and diagrams.