CBSE Class 8 Mathematics Square And Square Roots Worksheet Set 02

Read and download the CBSE Class 8 Mathematics Square And Square Roots Worksheet Set 02 in PDF format. We have provided exhaustive and printable Class 8 Mathematics worksheets for Chapter 6 Squares and Square Roots, designed by expert teachers. These resources align with the 2026-27 syllabus and examination patterns issued by NCERT, CBSE, and KVS, helping students master all important chapter topics.

Chapter-wise Worksheet for Class 8 Mathematics Chapter 6 Squares and Square Roots

Students of Class 8 should use this Mathematics practice paper to check their understanding of Chapter 6 Squares and Square Roots as it includes essential problems and detailed solutions. Regular self-testing with these will help you achieve higher marks in your school tests and final examinations.

Class 8 Mathematics Chapter 6 Squares and Square Roots Worksheet with Answers

Question. What is the least perfect square which is divisible by 2, 4 and 6 ?
(A) 36
(B) 64
(C) 16
(D) 18
Answer : A

Question. What is the number of digits in the square root of 390625 ?
(A) 4
(B) 6
(C) 5
(D) 3
Answer : D

Question. Find the approximate value of 1 + √0.01 / 1-√0.1
(A) 0.6
(C) 1.6
(B) 1.1
(D) 1.7
Answer : C

Question. If x * y = √x2 + y2 , find the value of (1 * 2√2)(1 * -2√2)
(A) -7
(B) 0
(C) 2
(D) 9
Answer : D

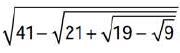
Question. Evaluate

""CBSE-Class-8-Mathematics-Square-And-Square-Roots-Worksheet-Set-B

(A) 3
(B) 6
(C) 5
(D) 6.
Answer : B

Question. What is the least perfect square exactly divisible by each of the numbers 6, 9, 15 and 20?
(A) 3600
(B) 900
(C) 400
(D) 225
Answer : B

Question. The sides of a rectangular field are 80 m and 18 m respectively. What is the length of its diagonal ?
(A) 84 m
(B) 98 m
(C) 82m
(D) 86 m 
Answer : C

Question. What is the value of (501)2- (500)2 ?
(A) 1
(B) 101
(C) 1001
(D) 100
Answer : C

Question. Which of the following is a Pythagorean triplet?
(A) (6, 8, 1 0)
(C) (5, 12, 18)
(B) (3, 4, 7)
(D) (2, 3, 6)
Answer : A

Question. What is the value of 1 + 3 + 5 + 7 + 9 +...............+ 25?
(A) 196
(B) 625
(C) 225
(D) 169
Answer : D

Question. What is the smallest number by which 396 must be multiplied so that the product is a perfect square ?
(A) 5
(C) 3
(B) 11
(D) 2
Answer : B

Question. Find the square root of 0.081/0.0064 x 0.484/6.25 x 2.5/12.1
(A) 0.45
(C) 0.95
(B) 0.75
(D) 0.99
Answer : A

 

Question. What is the least number which must be subtracted from 2509 to make it a perfect square ?
(A) 6
(B) 9
(C) 12
(D) 14 
Answer : B

Question. What is the square root of 42(583/1369)?
(A) 6(19/37)
(B) 4(2/11)
(C) 7(2/121)
(D) 6(12/37)
Answer : A

Question. If √1 + 27/169 = 1 + x/13 , what is the value of 'X ' ?
(A) 1
(B) 14
(C) 10
(D) 12
Answer : A

Question. Find the perfect square numbers between
(i) 30 and 40
(ii) 50 and 60

Answer: (i) 36
(ii) There is not any perfect square number between 50 & 60.

Question. Check whether the following numbers can be perfect squares? Give reason.
(i) 1057
(ii) 23453
(iii) 7928
(iv) 222222
(v) 1089
(vi) 2061

Answer: (i) No, because it ends with 7.
(ii) No, because it ends with 3.
(iii) No, because it ends with 8.
(iv) No, because it ends with 2.
(v) Yes, it has 9 at unit place.
(vi) Yes, it has 1 at unit place.

Question. Write five numbers which you cannot decide just by looking at their unit's digit (or one's place) whether they are square numbers or not.
Answer: 169, 38126, 591, 100, 343795. Since 2, 3, 7, 8 are not at ones place, we cannot decide just by looking at the unit digit.

Question. Which of \( 123^2, 77^2, 82^2, 161^2, 109^2 \) would end with digit 1?
Answer: \( 161^2 \) and \( 109^2 \)

Question. Which of the following numbers would have digit 6 at unit place.
(i) \( 19^2 \)
(ii) \( 24^2 \)
(iii) \( 26^2 \)
(iv) \( 36^2 \)
(v) \( 34^2 \)

Answer: \( 24^2, 26^2, 36^2, 34^2 \)

Question. What will be the ‘‘one’s digit’’ in the square of the following numbers?
(i) 1234
(ii) 26387
(iii) 52698
(iv) 99880
(v) 21222
(vi) 9106

Answer: (i) 6
(ii) 9
(iii) 4
(iv) 0
(v) 4
(vi) 6

Question. The square of which of the following numbers would be an odd number/an even number? Why?
(i) 727
(ii) 158
(iii) 269
(iv) 1980

Answer: (i) Odd because the unit place will be 9.
(ii) Even because the unit place will be 4.
(iii) Odd because the unit place will be 1.
(iv) Even because the unit place will be 0.

Question. What will be the number of zeros in the square of the following numbers?
(i) 60
(ii) 400

Answer: (i) Two
(ii) Four

Question. How many natural numbers lie between \( 9^2 \) and \( 10^2 \)? Between \( 11^2 \) and \( 12^2 \)?
Answer: Between \( 9^2 \) and \( 10^2 \), there are 18 natural numbers.
Between \( 11^2 \) and \( 12^2 \), there are 22 natural numbers.

Question. How many non square numbers lie between the following pairs of numbers
(i) \( 100^2 \) and \( 101^2 \)
(ii) \( 90^2 \) and \( 91^2 \)
(iii) \( 1000^2 \) and \( 1001^2 \)

Answer: (i) 200
(ii) 180
(iii) 2000

Question. Find whether each of the following numbers is a perfect square or not?
(i) 121
(ii) 55
(iii) 81
(iv) 49
(v) 69

Answer: (i) Yes
(ii) No
(iii) Yes
(iv) Yes
(v) No

Question. Express the following as the sum of two consecutive integers.
(i) \( 21^2 \)
(ii) \( 13^2 \)
(iii) \( 11^2 \)
(iv) \( 19^2 \)

Answer: (i) \( 21^2 = 441 = 220 + 221 \)
(ii) \( 13^2 = 169 = 84 + 85 \)
(iii) \( 11^2 = 121 = 60 + 61 \)
(iv) \( 19^2 = 361 = 180 + 181 \)

Question. Is it possible that the sum of any two consecutive positive integers is perfect square of a number? Give example to support your answer.
Answer: Yes. Examples:
(i) \( 21^2 = 441 = 220 + 221 \)
(ii) \( 13^2 = 169 = 84 + 85 \)
(iii) \( 11^2 = 121 = 60 + 61 \)
(iv) \( 19^2 = 361 = 180 + 181 \)

Question. Write the square, by any pattern.
(i) 75
(ii) 95

Answer: (i) 5625
(ii) 9025

Question. Find the value of \( 17^2 - 12^2 + 15^2 - 10^2 \)
Answer: 270

Question. What will be the unit digit of the squares of the following numbers?
(i) 81
(ii) 272
(iii) 799
(iv) 3853
(v) 1234
(vi) 26387
(vii) 52698
(viii) 99880
(ix) 12796
(x) 55555

Answer: (i) 1
(ii) 4
(iii) 1
(iv) 9
(v) 6
(vi) 9
(vii) 4
(viii) 0
(ix) 6
(x) 5

Question. The following numbers are obviously not perfect squares. Give reason.
(i) 1057
(ii) 23453
(iii) 7928
(iv) 222222
(v) 64000
(vi) 89722
(vii) 222000
(viii) 505050

Answer: (i) Ends with 7
(ii) Ends with 3
(iii) Ends with 8
(iv) Ends with 2
(v) Contains an odd number of zeros (3 zeros)
(vi) Ends with 2
(vii) Contains an odd number of zeros (3 zeros)
(viii) Contains an odd number of zeros at the end

Question. The squares of which of the following would be odd numbers?
(i) 431
(ii) 2826
(iii) 7779
(iv) 82004

Answer: (i) and (iii)

Question. Observe the following pattern and find the missing digits.
\( 11^2 = 121 \)
\( 101^2 = 10201 \)
\( 1001^2 = 1002001 \)
\( 100001^2 = 1 \dots\dots 2 \dots\dots 1 \)
\( 10000001^2 = \dots\dots\dots\dots\dots\dots\dots \)

Answer: \( 100001^2 = 10000200001 \)
\( 10000001^2 = 100000020000001 \)

Question. Observe the following pattern and supply the missing numbers.
\( 11^2 = 121 \)
\( 101^2 = 10201 \)
\( 10101^2 = 102030201 \)
\( 1010101^2 = \dots\dots\dots\dots\dots\dots\dots^2 = 10203040504030201 \)

Answer: \( 1010101^2 = 10203040504030201 \)

Question. Using the given pattern, find the missing numbers.
\( 1^2 + 2^2 + 2^2 = 3^2 \)
\( 2^2 + 3^2 + 6^2 = 7^2 \)
\( 3^2 + 4^2 + 12^2 = 13^2 \)
\( 4^2 + 5^2 + \_\_^2 = 21^2 \)
\( 5^2 + \_\_^2 + 30^2 = 31^2 \)
\( 6^2 + 7^2 + \_\_^2 = \_\_^2 \)

Answer: 20, 6, 42, 43

Question. Without adding, find the sum.
(i) 1 + 3 + 5 + 7 + 9
(ii) 1 + 3 + 5 + 7 + 9 + 11 + 13 + 15 + 17 + 19
(iii) 1 + 3 + 5 + 7 + 9 + 11 + 13 + 15 + 17 + 19 + 21 + 23

Answer: (i) 25
(ii) 100
(iii) 144

Question. (i) Express 49 as the sum of first 7 odd numbers.
(ii) Express 121 as the sum of first 11 odd numbers.

Answer: (i) 1 + 3 + 5 + 7 + 9 + 11 + 13
(ii) 1 + 3 + 5 + 7 + 9 + 11 + 13 + 15 + 17 + 19 + 21

Question. How many numbers lie between squares of the following numbers?
(i) 12 and 13
(ii) 25 and 26
(iii) 99 and 100

Answer: (i) 24
(ii) 50
(iii) 198

 

Please click the below link to access CBSE Class 8 Mathematics Worksheet - Square and Square Roots (1)

CBSE Mathematics Class 8 Chapter 6 Squares and Square Roots Worksheet

Students can use the practice questions and answers provided above for Chapter 6 Squares and Square Roots to prepare for their upcoming school tests. This resource is designed by expert teachers as per the latest 2026 syllabus released by CBSE for Class 8. We suggest that Class 8 students solve these questions daily for a strong foundation in Mathematics.

Chapter 6 Squares and Square Roots Solutions & NCERT Alignment

Our expert teachers have referred to the latest NCERT book for Class 8 Mathematics to create these exercises. After solving the questions you should compare your answers with our detailed solutions as they have been designed by expert teachers. You will understand the correct way to write answers for the CBSE exams. You can also see above MCQ questions for Mathematics to cover every important topic in the chapter.

Class 8 Exam Preparation Strategy

Regular practice of this Class 8 Mathematics study material helps you to be familiar with the most regularly asked exam topics. If you find any topic in Chapter 6 Squares and Square Roots difficult then you can refer to our NCERT solutions for Class 8 Mathematics. All revision sheets and printable assignments on studiestoday.com are free and updated to help students get better scores in their school examinations.

Where can I download the 2026-27 CBSE printable worksheets for Class 8 Mathematics Chapter Chapter 6 Squares and Square Roots?

You can download the latest chapter-wise printable worksheets for Class 8 Mathematics Chapter Chapter 6 Squares and Square Roots for free from StudiesToday.com. These have been made as per the latest CBSE curriculum for this academic year.

Are these Chapter Chapter 6 Squares and Square Roots Mathematics worksheets based on the new competency-based education (CBE) model?

Yes, Class 8 Mathematics worksheets for Chapter Chapter 6 Squares and Square Roots focus on activity-based learning and also competency-style questions. This helps students to apply theoretical knowledge to practical scenarios.

Do the Class 8 Mathematics Chapter Chapter 6 Squares and Square Roots worksheets have answers?

Yes, we have provided solved worksheets for Class 8 Mathematics Chapter Chapter 6 Squares and Square Roots to help students verify their answers instantly.

Can I print these Chapter Chapter 6 Squares and Square Roots Mathematics test sheets?

Yes, our Class 8 Mathematics test sheets are mobile-friendly PDFs and can be printed by teachers for classroom.

What is the benefit of solving chapter-wise worksheets for Mathematics Class 8 Chapter Chapter 6 Squares and Square Roots?

For Chapter Chapter 6 Squares and Square Roots, regular practice with our worksheets will improve question-handling speed and help students understand all technical terms and diagrams.