RD Sharma Solutions Class 9 Chapter 3 Rationalisation

Exercise 3.1
Question 1. Simplify each of the following:

RD Sharma Solutions Class 9 Chapter 3 Rationalisation

Solution 1.

RD Sharma Solutions Class 9 Chapter 3 Rationalisation
RD Sharma Solutions Class 9 Chapter 3 Rationalisation

Question 2. Simplify the following expressions:
(i) (4+√7) (3+√2)
(ii) (3+√3) (5-√2)
(iii) (√5-2) (√3-√5)
Solution 2.
(i) We have (4+√7) (3+√2)
By using identity √x×√y=√xy
= 4(3+√2) + √7(3+√2)
= 4×3 + 4×√2 + 3×√7 + √2×√7
= 12 + 4√2 + 3√7 + √14                                                  Answer.
 
(ii) We have (3+√3) (5-√2)
By using identity √x×√y=√xy
= 3(5-√2) + √3(5-√2)
= 3×5 - 3×(√2) + √3×5 + √3×(-√2)
= 15 - 3√2 + 5√5 - √6                                                  Answer.
 
(iii) We have (√5-2) (√3-√5)
By using identity √x×√y=√xy
= √5(√3-√5) - 2(√3-√5)
= √5×√3 – √5 × √5 + 2×√3 + 2 ×√5
= √15 - √25 + 2√3 - 2√5 
= √15 - 5 - 2√3 - 2√5                                                 Answer.
 
 
Question 3. Simplify the following expressions:
(i) (11+√11) (11-√11)
(ii) (5+√7) (5-√7)
(iii) (√8-√2) (√8+√2)
(iv) (3+√3) (3-√3)
(v) (√5-√2) (√5+√2)
Solution 3.
(i) We have (11+√11)(11-√11)
By using identity (a+b)  (a-b)=a2-b2
= (11)2-(√11)2
= 121-11
= 110                                                                           Answer.
 
(ii) We have (5+√7) (5-√7)
By using identity (a+b)  (a-b)=a2-b2
= (5)2-(√7)2
= 25-7
= 18                                                                            Answer.
 
(iii) We have (√8-√2) (√8+√2)
By using identity (a+b)  (a-b)=a2-b2
= (√8)2-(√2)2
= 8-2
= 6                                                                            Answer.
 
(iv) We have (3+√3) (3-√3)
By using identity (a+b)  (a-b)=a2-b2
= (3)2-(√3)2
= 9-3
= 6                                                                            Answer.
 
(v) We have (√5-√2) (√5+√2)
By using identity (a+b)  (a-b)=a2-b2
= (√5)2-(√2)2
= 5-2
= 3                                                                            Answer.
 
 
Question 4. Simplify the following expressions:
(i) (√3+√7)2
(ii) (√5-√3)2
(iii) (2√5+3√2)2 
Solution 4. 
(i) We have (√3+√7)2
By using identity (a+b)2= a2+2ab+b2 and √a×√b=√ab
=(√3)2+2√3 √7+(√7)2 
=3+2√21+7 
=10+2√21                                                         Answer.
 
 
(ii) We have (√5+√3)2
By using identity (a-b)2= a2-2ab+b2 and √a×√b=√ab
=(√5)2-2√5 √3+(√3)2 
=5-2√15+3 
=8-2√15                                                          Answer.
 
(iii) We have (2√5+3√2)2
By using identity (a+b)2= a2+2ab+b2 and √a×√b=√ab
=(2√5)2+2×2√5×3√2+(3√2)2 
=22×(√5)2+2×2√5×3√2+32×(√2)2 
=4×5+12√10+9×2 
=20+12√10+18 
=38+12√10                                                         Answer.
 
 Exercise 3.2
Question 1. Rationalise the denominator of each of the following:-
(i) 3/√5        
(ii) 2/(2√5) 
(iii) 1/√12   
(iv) √2/√5 
(v) (√3+1)/√2
(vi) (√2+√5)/√3
(vii) (3√2)/√5
Solution 1.
(i) We have 3/√5
Here  3/√5 as an equivalent expression in which the denominator is a rational number. We know that √5×√5=5 is a rational. We also know that if we multiplying 3/√5 by √5/√5 will gives us an equivalent expression, since √5/√5 = 1.
=3/√5×√5/√5 
= (3 × √5)/(√5  × √5)
= (3√5)/5                                                       Answer.
 
(ii) We have 3/(2√5)
Here  3/√5 as an equivalent expression in which the denominator is a rational number. We know that √5×√5=5 is a rational. We also know that if we multiplying 3/(2√5) by √5/√5 will gives us an equivalent expression, since √5/√5 = 1.
=3/(2√5)×√5/√5 
= (3 × √5)/(2×√5  × √5)
= (3√5)/(2×5)                                                       
= (3√5)/10                                                       Answer.
 
(iii) We have 1/√12
Here  1/√12 as an equivalent expression in which the denominator is a rational number. We know that √12×√12=12 is a rational. We also know that if we multiplying 1/√12 by √12/√12 will gives us an equivalent expression, since √12/√12 = 1.
=1/√12×√12/√12 
= (1 × √12)/(√12  × √12)
= (1√12)/12                                                       
= √12/12
By Prime factorisation of 12 we get = 2×2×3
= √(2×2×3)/12
= (2√3)/12 = √3/6                                                       Answer.
 
(iv) We have √2/√5
Here  √2/√5 as an equivalent expression in which the denominator is a rational number. We know that √5×√5=5 is a rational. We also know that if we multiplying √2/√5 by √5/√5 will gives us an equivalent expression, since √5/√5 = 1.
=√2/√5×√5/√5 
= (√2  × √5)/(√5  × √5)
= √10/5                                                                             Answer.
 
(v) We have (√3+1)/√2
Here  (√3+1)/√2 as an equivalent expression in which the denominator is a rational number. We know that √2×√2=2 is a rational. We also know that if we multiplying (√3+1)/√2 by √2/√2 will gives us an equivalent expression, since √2/√2 = 1.
=(√3+1)/√2×√2/√2 
= ((√3+1)  × √2)/(√2  × √2)
= ((√2×√3)+(√2×1))/2                                                                             
= (√6+√2)/2                                                                       Answer.
 
(vi) We have (√2+√5)/√3
Here  (√2+√5)/√3 as an equivalent expression in which the denominator is a rational number. We know that √3×√3=3 is a rational. We also know that if we multiplying (√2+√5)/√3 by √3/√3 will gives us an equivalent expression, since √3/√3 = 1.
=(√2+√5)/√3×√3/√3 
= ((√2+√5)  × √3)/(√3  × √3)
= ((√2×√3)+(√5×√3))/2 
= (√6+√15)/2                                                                       Answer.
 
(vii) We have √2/√5
Here  √2/√5 as an equivalent expression in which the denominator is a rational number. We know that √5×√5=5 is a rational. We also know that if we multiplying √2/√5 by √5/√5 will gives us an equivalent expression, since √5/√5 = 1.
=(3√2)/√5×√5/√5 
= (3√2  × √5)/(√5  × √5)
= (3√10)/5                                                                             Answer.
 
 
Question 2.  Find the value to three places of decimals of each of the following. It is given that √2=1.414,√3=1.732,√5=2.236 and √10=3.162.
(i) 2/√3            
(ii) 3/√10          
(iii) (√5+1)/√2
(iv) (√10+√15)/√2
(v) (2+√3)/3
(vi) (√2-1)/√5 
Solution 2.
(i) We have   2/√3 
Rationalising of denominator is √3. We know that √3×√3=3 is a rational. We also know that if we multiplying 2/√3 by √3/√3 will gives us an equivalent expression, since √3/√3 = 1.
=2/√3×√3/√3 
= (2 × √3)/(√3  × √3)
= (2√3)/3
It is given that the value of is√3=1.732.
= (2 ×1.732)/3
= 3.464/3
= 1.152                                                    Answer
 
(ii) We have   3/√10 
Rationalising of denominator is √10. We know that √10×√10=10 is a rational. We also know that if we multiplying 3/√10 by √10/√10 will gives us an equivalent expression, since √10/√10 = 1.
=3/√10×√10/√10 
= (3 × √10)/(√10  × √10)
= (3√10)/10
It is given that the value of is√10=3.162.
= (3 × 3.162)/10
= 9.486/10
= 0.9486                                                        Answer
 
(iii) We have   (√5+1)/√2 
Rationalising of denominator is √2. We know that √2×√2=2 is a rational. We also know that if we multiplying (√5+1)/√2 by √2/√2 will gives us an equivalent expression, since √2/√2 = 1.
=(√5+1)/√2×√2/√2 
= (√2 (√5+1))/(√2  × √2)
= ((√2×√5)+(1×√2))/2
= (√10+√2)/2
It is given that the value of is √10=3.162 and √2=1.414
= (3.162 + 1.414)/2
= 4.576/2
= 2.288                                                        Answer
 
(iv) We have   (√10+√15)/√2 
Rationalising of denominator is √2. We know that √2×√2=2 is a rational. We also know that if we multiplying (√10+√15)/√2 by √2/√2 will gives us an equivalent expression, since √2/√2 = 1.
=(√10+√15)/√2×√2/√2 
= (√2 (√10+√15))/(√2  × √2)
= ((√2×√10)+(√2×√15))/2
= (√20+√30)/2
= (√(2×10)+√(3×10))/2
= (√2  × √10  + √3  × √10)/2
It is given that the value of is √10=3.162, √2=1.414 and √3=1.732
= ((1.414 ×3.162)+(1.732×3.612)  )/2
= (4.471 +5.476)/2
= 9.947/2
= 4.973                                                        Answer
 
(v) We have (2+√3)/3
It is given that the value of is √3=1.732
= (2 + 1.732)/3
= 3.732/3
= 1.244                                                      Answer
 
(vi) We have (√2-1)/√5
Rationalising of denominator is √5. We know that √5×√5=5 is a rational. We also know that if we multiplying (√2  + 1)/√5 by √5/√5 will gives us an equivalent expression, since √5/√5 = 1.
=(√2  + 1)/√5×√5/√5 
= (√5 (√2-1))/(√5  × √5)
= ((√5  × √2)-(√5  × 1))/5
= (√10-√5)/5
It is given that the value of is √10=3.162, and √5=2.236
= (3.162-2.236)/5
= 0.926/5
= 0.185                                                         Answer
 
 
Question 3.  Express each one of the following with rational denominator:
(i) 1/(3+√2)          (vi) (√3+1)/(2√2-√3)
(ii) 1/(√6-√5)       (vii) (6-4√2)/(6+4√2)
(iii) 16/(√41-5)     (viii) (3√2+1)/(2√5-3)
(iv) 30/(5√3-3√5) (ix) b2/(√(a2+b2 )+a)
(v) 1/(2√5-√3) 
Solution 3.
RD Sharma Solutions Class 9 Chapter 3 Rationalisation
RD Sharma Solutions Class 9 Chapter 3 Rationalisation
RD Sharma Solutions Class 9 Chapter 3 Rationalisation
RD Sharma Solutions Class 9 Chapter 3 Rationalisation
RD Sharma Solutions Class 9 Chapter 3 Rationalisation
RD Sharma Solutions Class 9 Chapter 3 Rationalisation
RD Sharma Solutions Class 9 Chapter 3 Rationalisation
RD Sharma Solutions Class 9 Chapter 3 Rationalisation

RD Sharma Solutions Class 9 Chapter 3 Rationalisation

RD Sharma Solutions Class 9 Chapter 3 Rationalisation


Question 4.  Rationalize the denominator and simplify:

RD Sharma Solutions Class 9 Chapter 3 Rationalisation

Solution 4.

RD Sharma Solutions Class 9 Chapter 3 Rationalisation

RD Sharma Solutions Class 9 Chapter 3 Rationalisation

RD Sharma Solutions Class 9 Chapter 3 Rationalisation

RD Sharma Solutions Class 9 Chapter 3 Rationalisation

RD Sharma Solutions Class 9 Chapter 3 Rationalisation

RD Sharma Solutions Class 9 Chapter 3 Rationalisation

RD Sharma Solutions Class 9 Chapter 3 Rationalisation

RD Sharma Solutions Class 9 Chapter 3 Rationalisation

RD Sharma Solutions Class 9 Chapter 3 Rationalisation


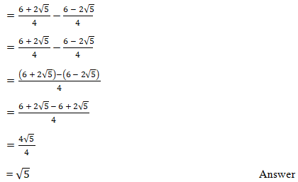
Question 5. Simplify:

RD Sharma Solutions Class 9 Chapter 3 Rationalisation

Solution 5.

RD Sharma Solutions Class 9 Chapter 3 Rationalisation
RD Sharma Solutions Class 9 Chapter 3 Rationalisation

RD Sharma Solutions Class 9 Chapter 3 Rationalisation
RD Sharma Solutions Class 9 Chapter 3 Rationalisation
RD Sharma Solutions Class 9 Chapter 3 Rationalisation

RD Sharma Solutions Class 9 Chapter 3 Rationalisation
RD Sharma Solutions Class 9 Chapter 3 Rationalisation


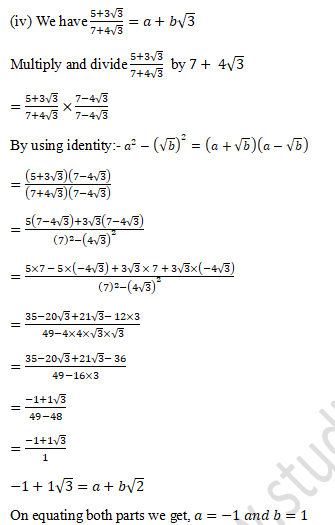
Question 6. In each of the following determine rational numbers a and b:
RD Sharma Solutions Class 9 Chapter 3 Rationalisation

Solution 6.
RD Sharma Solutions Class 9 Chapter 3 Rationalisation
RD Sharma Solutions Class 9 Chapter 3 Rationalisation
RD Sharma Solutions Class 9 Chapter 3 Rationalisation
RD Sharma Solutions Class 9 Chapter 3 Rationalisation
RD Sharma Solutions Class 9 Chapter 3 Rationalisation
RD Sharma Solutions Class 9 Chapter 3 Rationalisation

Question 7. If x = 2 + √3, find the value of x3+1/x3 .
Solution 7.
RD Sharma Solutions Class 9 Chapter 3 Rationalisation
RD Sharma Solutions Class 9 Chapter 3 Rationalisation
RD Sharma Solutions Class 9 Chapter 3 Rationalisation

Question 8. If x = 3 + √8, find the value of x2+1/x2 
Solution 8.

RD Sharma Solutions Class 9 Chapter 3 Rationalisation
RD Sharma Solutions Class 9 Chapter 3 Rationalisation

Question 9.  Find the value of6/(√5-√3) it being given that √3=1.732 and √5=2.236.
Solution 9.
RD Sharma Solutions Class 9 Chapter 3 Rationalisation




Question 10. Find the value of to three places if decimals, it being given that √2=1.4142,√3=1.732,√5=2.2360,√6=2.4495 and √10=3.162.
(i) (3-√5)/(3+2√5)
(ii) (1+√2)/(3-2√2)
Solution 10.
We have (3-√5)/(3+2√5)
Multiply and divide  (3-√5)/(3+2√5)  by 3-2√5
(3-√5)/(3+2√5)×(3-2√5)/(3-2√5) 
(3-√5)(3-2√5)/(3+2√5)(3-2√5)  
By using identity:- a2-(√b)2=(a+√b)(a-√b) 
=(3-√5)(3-2√5)/((3)2-(2√5)2
=((3)(3-2√5)-√5 (3-2√5))/(9-2×2×√5×√5) 
=((3×3)+3×(-2√5)-√5×3-√5×(-2√5))/(9-4×5) 
=(9 - 6√5  - 3√5  +10)/(9-20) 
=(19 - 9√5  )/(-11) 
=(19 - 9×2.2360 )/(-11) 
=(19 - 20.124 )/(-11) 
=(- 1.1240 )/(-11) 
=(1.1240 )/11 
= 0.102                                                                  Answer
 
(ii) We have (1+√2)/(3-2√2)
Multiply and divide  (1+√2)/(3-2√2)  by 3-2√2
(1+√2)/(3-2√2)×(3+2√2)/(3+2√2) 
(1-√2)(3+2√2)/(3-2√5)(3+2√2) 
By using identity:- a2-(√b)2=(a+√b)(a-√b) 
=(1-√2)(3-2√2)/((3)2-(2√2)2
=((1)(3+2√2)-√2 (3-2√2))/(9-2×2×√2×√2) 
=((1×3)+1×(2√2)-√2×3-√2×(-2√2))/(9-4×2) 
=(3+2√2+3√2-√2×(-2√2))/(9-8) 
=(3+2√2+3√2+4)/1 
 =(7+5√2)/1
=7+5√2 
=7+5×1.4142 
=7+7.0710 
=14.0710                                                                  Answer 
 
 
  
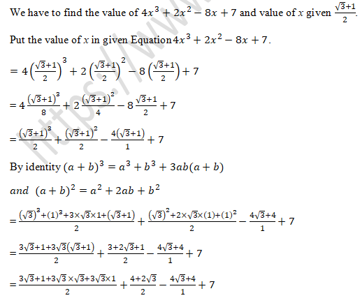
Question 11.  If x = (√3+1)/2, find the value of 4x3+2x2-8x+7.
Solution 11.

RD Sharma Solutions Class 9 Chapter 3 Rationalisation
RD Sharma Solutions Class 9 Chapter 3 Rationalisation



Very Short Answer Questions (VSAQs).....................................


Question 1. Write the value of (2+√3)(2-√3)
Solution 1.
We have (2+√3)(2-√3).
By identity (a+b)(a-b)=a2-b2
=(2)2-(√3)2 
=4-3 
=1                                                                        Ans.
 
Question 2. Write the reciprocal of 5+√2.
Solution 2.
We have 5+√2
RD Sharma Solutions Class 9 Chapter 3 Rationalisation
 
Question 3. Write the rationalisation factor of 7-3√5.
Solution 3.
We know that the rationalised factor of (x+√y) is (x-√y)
The rationalised factor of (7-3√5) is (7+3√5)

Question 4. If (√3-1)/(√3+1)=x+y√3, find the values of x and y. 
Solution 4.
We have (√3-1)/(√3+1)=x+y√3

Multiply and divide  (√3-1)/(√3+1) by √3-1.

=(√3-1)/(√3+1)×(√3-1)/(√3-1) 

=(√3-1)2/(√3+1)(√3-1)  

By identity (a+b)(a-b)=a2-b2  and (a-b)2=a2-2ab+b2  

=((√3)2-2×√3×1 + (1)2)/((√3)2-(1)2

=(3-2√3  + 1)/(3-1)   

=(4 - 2√3  )/2 

=(2(2-√3)  )/2 

2-√3 =x+y√3

Hence, the value of  x=2 and y=-1
 
Question 5. If x=√2-1, then write the value of 1/x.
Solution 5. 
We have x=√2-1.
1/x=1/(√2-1) 
For Rationalise 1/(√2-1) we have to Multiply and divide  1/(√2-1)  by √2+1.
=1/(√2-1)×(√2+1)/(√2+1) 
=1(√2+1)/(√2-1)(√2+1)  
By identity (a+b)(a-b)=a2-b2   
=((√2+1))/((√2)2-(1)2
=((√2+1))/(2-1) 
=((√2+1))/1 
=(√2+1)                                                                       Ans.
 
Question 6.  If a=(√2+1), then find the value of a-1/a.
Solution 6. 
It is given that a=(√2+1)
1/a=1/((√2+1) ) 
For Rationalise 1/(√2+1) we have to Multiply and divide  1/(√2+1)  by √2-1.
=1/(√2+1)×(√2-1)/(√2-1) 
=((√2-1))/(√2+1)(√2-1)  
=((√2-1))/((√2)2-(1)2
=((√2-1))/(2-1) 
=((√2-1))/1 
=√2-1 
Therefore,
a-1/a=(√2+1)-√2-1 
a-1/a=√2+1-√2+1 
a-1/a=1+1 
a-1/a=2                                                             Ans.
 
 
Question 7.  If a=(2+√2), find the value of x-1/x.
Solution 7. 
It is given that x=(2+√2)
1/x=1/((2+√2) ) 
For Rationalise 1/(2+√2) we have to Multiply and divide  1/(2+√2)  by 2-√2.
=1/(2+√2)×(2-√2)/(2-√2) 
=((2-√2))/(2+√2)(2-√2)  
=((2-√2))/((2)2-(√2)2
=((2-√2))/(4-2) 
=((2-√2))/2 
=2-√2 
Therefore,
x+1/x=(2+√2)+(2-√2) 
x-1/x=2+√2+2-√2 
x-1/x=2+2 
x-1/x=4                                                                       Ans.


 
Question 8.  Write the rationalisation factor of √5-2.

Solution 8. 
We know that the rationalised factor of (x+√y) is (x-√y)

The rationalised factor of (√5-2) is (√5+2)

 

Question 9. Simplify
RD Sharma Solutions Class 9 Chapter 3 Rationalisation

Solution 9. 
RD Sharma Solutions Class 9 Chapter 3 Rationalisation

 

Question 10. Simplify 
RD Sharma Solutions Class 9 Chapter 3 Rationalisation

Solution 10. 
RD Sharma Solutions Class 9 Chapter 3 Rationalisation


Question 11. If x=3+2√2, then find the value of √x-1/√x.
Solution 11. 
It is given that x=3+2√2
We need to find Value of √x-1/√x 
RD Sharma Solutions Class 9 Chapter 3 Rationalisation
 
RD Sharma Solutions Class 9 Chapter 3 Rationalisation
 
 

Multiple Choice Questions (MCQs).....................................


Question 1.  √10×√15  is equal to

(a) 5√6

(b) 6√5

(c) √30

(d) √25

Solution 1.  (a) 

RD Sharma Solutions Class 9 Chapter 3 Rationalisation

RD Sharma Solutions Class 9 Chapter 3 Rationalisation

 

Question 3.  The rationalisation factor of √3 is 
(a) -√3 
(b) 1/√3 
(c) 2√3 
(d) -2√3 
Solution 3.  (b) 
Explanation:- We know that the rationalised factor of √x is 1/√x
The rationalised factor of (√3) is 1/√3.
 
Question 4.  The rationalisation factor of 2+√3is.
(a) 2-√3
(b) 2+√3
(c) √2-3
(d) √3-2
Solution 4.  (a) 
Explanation:- We know that the rationalised factor of x+√y is (x-√y)
The rationalised factor of (2+√3) is (2-√3).
 
Question 5.  If x=√5+2, than x-1/x equals.
(a) 2√5
(b) 4
(c) 2
(d) √5
Solution 5. (b)
 
RD Sharma Solutions Class 9 Chapter 3 Rationalisation
 
Question 6.  If √(3-1)/(√3+1)=a-b√3, then
(a) a = 2, b = 1
(b) a = 2, b = -1
(c) a = -2, b = 1
(d) a = b = 1
Solution 6.   (a)
RD Sharma Solutions Class 9 Chapter 3 Rationalisation
RD Sharma Solutions Class 9 Chapter 3 Rationalisation
 
 RD Sharma Solutions Class 9 Chapter 3 Rationalisation
 
Question 8. The simplest rationalising factor of √3+√5 is.
(a) √3-5
(b) 3-√5
(c) √3-√5
(d) √3+√5
Solution 8.  (c)
Explanation:- We know that the rationalised factor of √x+√y is (√x-√y)
The rationalised factor of (√3+√5) is (√3-√5).
 
Question 9.  The simplest rationalising factor of 2√5-√3 is
(a) 2√5+3
(b) 2√5+√3
(c) √5+√3
(d) √5-√3
Solution 9.  (b) 
Explanation:- We know that the rationalised factor of a√x-√y is (a√x+√y)
The rationalised factor of (2√5-√3) is (2√5+√3).
 
RD Sharma Solutions Class 9 Chapter 3 Rationalisation
RD Sharma Solutions Class 9 Chapter 3 Rationalisation
 
 
 RD Sharma Solutions Class 9 Chapter 3 Rationalisation
RD Sharma Solutions Class 9 Chapter 3 Rationalisation
 
 
Question 12.  If x+√15=4, then x+1/x
(a) 2
(b) 4
(c) 8
(d) 1
Solution 12.  (c) 

RD Sharma Solutions Class 9 Chapter 3 Rationalisation

Question 13. If x=(√5+√3)/(√5-√3) and y=(√5-√3)/(√5+√3), then x+y+xy=
(a) 9
(b) 5
(c) 17
(d) 7
Solution 13.  (a)


RD Sharma Solutions Class 9 Chapter 3 Rationalisation
RD Sharma Solutions Class 9 Chapter 3 Rationalisation


Question 14. If x=(√3-√2)/(√3+√2) and y=(√3+√2)/(√3-√2), then x2+xy+y2=
(a) 101
(b) 99
(c) 98
(d) 102
Solution 14.  (b) 
RD Sharma Solutions Class 9 Chapter 3 Rationalisation
RD Sharma Solutions Class 9 Chapter 3 Rationalisation

RD Sharma Solutions Class 9 Chapter 3 Rationalisation

RD Sharma Solutions Class 9 Chapter 3 Rationalisation

RD Sharma Solutions Class 9 Chapter 3 Rationalisation

RD Sharma Solutions Class 9 Chapter 3 Rationalisation

 

Question 17.  If (5-√13)/(2+√3)=x+y√3, then 
(a) x=13,y=-7 
(b) x=-13,y=7 
(c) x=-13,y=-7 
(d) x=13,y=7 
Solution 17.  (a) 
Explanation:- We have  (5-√13)/(2+√3) 
We need to find the value of x and y 
Multiply and divide (5-√13)/(2+√3)  by 2-√3 
=(5-√13)/(2+√3)×(2-√3)/(2-√3)  
=(5-√3)(2-√3)/(2+√3)(2-√3)   
By identity (a+b)(a-b)=a2-b2 
=(5-√3)(2-√3)/((2)2-(√3)2 )  
=(5-√3)(2-√3)/(4-3)  
=(5(2-√3)-√13 (2-√3))/1  
=5×2-5×√3-2√3-√3×√3  
=10-5√3-2√3-3  
=13-7√3  
Therefore, 
x+y√3=13-7√3  
x=13 and y=-7 
 
RD Sharma Solutions Class 9 Chapter 3 Rationalisation
RD Sharma Solutions Class 9 Chapter 3 Rationalisation
 
RD Sharma Solutions Class 9 Chapter 3 Rationalisation
 
RD Sharma Solutions Class 9 Chapter 3 Rationalisation
 
RD Sharma Solutions Class 9 Chapter 3 Rationalisation
RD Sharma Solutions Class 9 Chapter 3 Rationalisation
 
 
Question 22.  If √2=1.414, then √6-√3 upto three places of decimal is 
(a) 0.235
(b) 0.707
(c) 1.414
(d) 0.471
Solution 22.  (b)

RD Sharma Solutions Class 9 Chapter 3 Rationalisation


 

Question 23.  The positive square root of 7+√48 is
(a) 7+2√3
(b) 7+√3
(c) 2+√3
(d) 3+√2
Solution 23.  (c) 
RD Sharma Solutions Class 9 Chapter 3 Rationalisation


Question 24. If x=√6+√5, then x2+1/x2 -2=
(a) 2√6
(b) 2√5
(c) 24
(d) 20
Solution 24.  (d)

RD Sharma Solutions Class 9 Chapter 3 Rationalisation

RD Sharma Solutions Class 9 Chapter 3 Rationalisation

RD Sharma Solutions Class 9 Chapter 3 Rationalisation
 
Chapter 05 Introduction to Euclids Geometry
NCERT Exemplar Solutions Class 9 Maths Euclids Geometry
RD Sharma Solutions Class 9 Maths
RD Sharma Solutions Class 9 Chapter 9 Triangle and its Angles
RD Sharma Solutions Class 9 Chapter 8 Lines and Angles
RD Sharma Solutions Class 9 Chapter 7 Introduction To Euclids Geometry
RD Sharma Solutions Class 9 Chapter 6 Factorization of Polynomials
RD Sharma Solutions Class 9 Chapter 5 Factorization of Algebraic Expressions
RD Sharma Solutions Class 9 Chapter 4 Algebraic Identities
RD Sharma Solutions Class 9 Chapter 3 Rationalisation
RD Sharma Solutions Class 9 Chapter 25 Probability
RD Sharma Solutions Class 9 Chapter 24 Measure of Central Tendency
RD Sharma Solutions Class 9 Chapter 23 Graphical Representation of Statistical Data
RD Sharma Solutions Class 9 Chapter 22 Tabular Representation of Statistical Data
RD Sharma Solutions Class 9 Chapter 21 Surface Area and Volume of A Sphere
RD Sharma Solutions Class 9 Chapter 20 Surface Area and Volume of A Right Circular Cone
RD Sharma Solutions Class 9 Chapter 2 Exponents of Real Number
RD Sharma Solutions Class 9 Chapter 19 Surface Area and Volume of A Right Circular Cylinder
RD Sharma Solutions Class 9 Chapter 18 Surface Area and Volume of Cuboid and Cube
RD Sharma Solutions Class 9 Chapter 17 Construction
RD Sharma Solutions Class 9 Chapter 16 Circles
RD Sharma Solutions Class 9 Chapter 15 Area of Parallelograms and Triangles
RD Sharma Solutions Class 9 Chapter 14 Quadrilaterals
RD Sharma Solutions Class 9 Chapter 13 Linear Equations in Two Variables
RD Sharma Solutions Class 9 Chapter 12 Herons Formula
RD Sharma Solutions Class 9 Chapter 11 Coordinate Geometry
RD Sharma Solutions Class 9 Chapter 10 Congruent Triangles
RD Sharma Solutions Class 9 Chapter 1 Number System