CBSE Class 11 Mathematics Sample Paper Set 03

Read and download the CBSE Class 11 Mathematics Sample Paper Set 03, designed by expert teachers according to the latest 2026-27 curriculum and examination pattern issued by CBSE, NCERT, and KVS. These Class 11 Mathematics sample papers include detailed step-by-step solutions, helping students to practice and evaluate their performance against the most recent marking schemes.

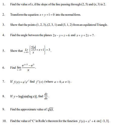
Solved Sample Paper for Class 11 Mathematics PDF

Our Class 11 Mathematics model papers are important for understanding the weightage of different chapters and the difficulty level of expected questions. By solving these guess papers Class 11 students can identify weak areas and improve time management. We also suggest referring to our Class 11 Mathematics Question Papers of previous years to further strengthen your exam preparation.

Class 11 Mathematics Sample Paper with Solutions

CBSE Class 11 Mathematics Sample Paper Set 3.Sample Papers are the very important for every student. The sample papers should be practiced to gain extra marks in examinations. The sample papers have been prepared based on pattern of last year examinations and as per latest changes in the syllabus. Students, teachers and parents can download all CBSE educational material and very well prepared worksheets from this website.  All CBSE educational material is developed by our panel of teachers, have also been submitted by CBSE teachers and students. 

 

Class_11_Mathematics_Sample_Paper _27 

 

Please click the below link to access CBSE Class 11 Mathematics Sample Paper Set 3

How to download CBSE Class 11 Mathematics Sample Paper Set 03 in PDF?

Students can easily download the CBSE Class 11 Mathematics Sample Paper Set 03 from our website to prepare for their upcoming examinations. To score high marks, it is important for Class 11 students to understand the exaact pattern as per which teachers design the question papers. We strongly suggest that you practice these latest sample papers for Mathematics and solve different types of questions that are expected to come this year. You can downloadin PDF format so that you can practice offline. We also recommend that Class 11 students solve these papers actual exam conditions at home.

Why should you solve CBSE Class 11 Mathematics Sample Paper Set 03?

Practicing these model papers has several benefits for Class 11 students:

  • New Question Bank: This set has fresh questions for Mathematics which are different from previous years.
  • Exam Pattern Knowledge: Solving more sets will help you to understand the weightage of each chapter in Class 11 and also the type of questions asked.
  • Identify Weak Areas: Comparing your score in each set to find out topics in Class 11 Mathematics for which you need hard work.
  • Speed and Accuracy: Attempting MCQ questions and long-form problems for Class 11 Mathematics makes you faster and better and you will be able to finish your exam on time.

What should you do after solving CBSE Class 11 Mathematics Sample Paper Set 03?

  1. Check Your Work: Match your answers with the solutions given by our teachers in the Mathematics Sample Paper PDF.
  2. Learn from Mistakes: Class 11 students should focus on the questions which you solved incorrectly and understand the error.
  3. Revision: If you find a question difficult you shoul refer to NCERT book for Class 11 Mathematics to understand concepts and then try the question again.
  4. Continuous Practice: Solve multiple sets of Mathematics sample papers from studiestoday.com to build confidence before the CBSE exams.

FAQs

Where can I download the PDF for CBSE Class 11 Mathematics Sample Paper Set 03?

You can download the complete PDF for CBSE Class 11 Mathematics Sample Paper Set 03 for free from StudiesToday.com. Our resources for Class 11 Mathematics are updated for the latest academic session and follow the official exam pattern.

Are solutions provided for CBSE Class 11 Mathematics Sample Paper Set 03?

Yes, CBSE Class 11 Mathematics Sample Paper Set 03 comes with detailed, teacher-verified solutions. We have provided step-by-step answers for Mathematics to help students of Class 11 understand correct methodology and marking scheme.

How can practicing CBSE Class 11 Mathematics Sample Paper Set 03 help in exam preparation?

Practicing this Mathematics paper helps in time management and identifying important topics. For Class 11, solving mock papers is the best way to gain confidence and reduce exam-day anxiety.

Is the CBSE Class 11 Mathematics Sample Paper Set 03 accessible on mobile and tablets?

Yes, all our study materials for Class 11 Mathematics are provided in a mobile-friendly PDF format. You can easily download CBSE Class 11 Mathematics Sample Paper Set 03 on your mobile device.